医療用医薬品 詳細表示

フルデカシン筋注25mg

処方せん医薬品

添付文書番号
企業コード
作成又は改訂年月
日本標準商品分類番号
薬効分類名
承認等
一般的名称
2.禁忌(次の患者には投与しないこと)
3.組成・性状
3.1組成
3.2製剤の性状
4.効能又は効果
5.効能又は効果に関連する注意
6.用法及び用量
7.用法及び用量に関連する注意
8.重要な基本的注意
9.特定の背景を有する患者に関する注意
9.1合併症・既往歴等のある患者
9.3肝機能障害患者
9.5妊婦
9.6授乳婦
9.7小児等
9.8高齢者
10.相互作用
10.1併用禁忌(併用しないこと)
10.2併用注意(併用に注意すること)
11.副作用
11.1重大な副作用
11.2その他の副作用
13.過量投与
14.適用上の注意
15.その他の注意
15.1臨床使用に基づく情報
15.2非臨床試験に基づく情報
16.薬物動態
16.1血中濃度
16.2吸収
16.3分布
16.4代謝
16.5排泄
17.臨床成績
17.1有効性及び安全性に関する試験
18.薬効薬理
18.1作用機序
18.2中枢ドパミン受容体遮断作用
19.有効成分に関する理化学的知見
20.取扱い上の注意
22.包装
23.主要文献
24.文献請求先及び問い合わせ先
26.製造販売業者等

フルデカシン筋注25mg

添付文書番号

1172405A1031_2_17

企業コード

400315

作成又は改訂年月

**2025年12月改訂(第5版)
2024年10月改訂(第4版)

日本標準商品分類番号

871172

薬効分類名

フェノチアジン系持続性抗精神病剤

承認等

フルデカシン筋注25mg

販売名コード

YJコード

1172405A1031

販売名英語表記

Fludecasin INTRAMUSCULAR INJECTION

販売名ひらがな

ふるでかしんきんちゅう

承認番号等

承認番号

21400AMY00081

販売開始年月

1993年6月

貯法・有効期間

貯法

室温保存

有効期間

2年

一般的名称

フルフェナジンデカン酸エステル注射液

2. 禁忌(次の患者には投与しないこと)

  1. 2.1 昏睡状態の患者[昏睡状態を悪化させるおそれがある。]
  2. 2.2 バルビツール酸誘導体・麻酔剤等の中枢神経抑制剤の強い影響下にある患者[中枢神経抑制剤の作用を延長し増強させる。]
  3. 2.3 重症の心不全患者[症状を悪化させるおそれがある。]
  4. 2.4 パーキンソン病又はレビー小体型認知症の患者[錐体外路症状が悪化するおそれがある。]
  5. 2.5 アドレナリンを投与中の患者(アドレナリンをアナフィラキシーの救急治療、又は歯科領域における浸潤麻酔もしくは伝達麻酔に使用する場合を除く)
  6. 2.6 フェノチアジン系化合物及びその類似化合物に対し過敏症の既往歴のある患者
  7. 2.7 妊婦又は妊娠している可能性のある女性
  8. 2.8 クロザピンを投与中、あるいは投与を検討されている患者

3. 組成・性状

3.1 組成

フルデカシン筋注25mg

(1瓶(1mL)中)
有効成分フルフェナジンデカン酸エステル   25mg
添加剤ベンジルアルコール   15mg
ゴマ油   適量

3.2 製剤の性状

フルデカシン筋注25mg

性状・剤形微黄色~褐黄色澄明の油液・僅かにベンジルアルコールのにおい

4. 効能又は効果

統合失調症

5. 効能又は効果に関連する注意

  1. 5.1 本剤は、抗精神病薬の長期投与が必要な慢性精神病患者に使用するものである。本剤を用いる場合は、過去の治療で抗精神病薬の投与により症状が安定した患者に投与することが望ましい。

6. 用法及び用量

通常成人には、フルフェナジンデカン酸エステルとして1回12.5mg~75mgを4週間隔で筋肉内注射する。
薬量及び注射間隔は病状又は本剤による随伴症状の程度に応じて適宜増減並びに間隔を調節する。
なお、初回用量は、可能な限り少量より始め、50mgを超えないものとする。

7. 用法及び用量に関連する注意

  1. 7.1 本剤の投与にあたっては、本剤が持効性製剤であることを考慮して、初回用量は患者の既往歴、病状、過去の抗精神病薬への反応に基づいて決める。なお、複数の抗精神病薬を使用している場合は、可能な限り整理した後、できるだけ低用量より始め、必要に応じ漸増することが望ましい。投与初期に用量の不足による精神症状の再発の可能性も考えられるが、その場合には原則として、本剤以外の抗精神病薬の追加が望ましい。また、次回投与時にはその間の十分な臨床観察を参考に用量調節を行う必要がある。

8. 重要な基本的注意

  1. 8.1 本剤による副作用の種類はフルフェナジン製剤のそれと同様のものであるが、本剤は持効性製剤であり、直ちに薬物を体外に排除する方法がないため、副作用の予防、副作用発現時の処置、過量投与等について十分留意する必要がある。
  2. 8.2 眠気、注意力・集中力・反射運動能力等の低下が起こることがあるので、本剤投与中の患者には自動車の運転等危険を伴う機械の操作に従事させないように注意すること。
  3. 8.3 制吐作用を有するため、他の薬剤に基づく中毒、腸閉塞、脳腫瘍等による嘔吐症状を不顕性化することがあるので注意すること。

9. 特定の背景を有する患者に関する注意

9.1 合併症・既往歴等のある患者

  1. 9.1.1 皮質下部の脳障害(脳炎、脳腫瘍、頭部外傷後遺症等)の疑いがある患者

    治療上やむを得ないと判断される場合を除き、投与しないこと。高熱反応があらわれるおそれがあるので、このような場合には全身を氷で冷やすか、又は解熱剤を投与するなど適切な処置を行うこと。

  2. 9.1.2 血液障害のある患者

    血液障害を悪化させるおそれがある。

  3. 9.1.3 褐色細胞腫又はパラガングリオーマ、動脈硬化症あるいは心疾患の疑いのある患者

    血圧の急速な変動が見られることがある。

  4. 9.1.4 重症喘息、肺気腫、呼吸器感染症等の患者

    呼吸抑制があらわれることがある。

  5. 9.1.5 てんかん等の痙攣性疾患又はこれらの既往歴のある患者

    痙攣閾値を低下させることがある。

  6. 9.1.6 高温環境にある患者

    体温調節中枢を抑制するため、環境温度に影響されるおそれがある。

  7. 9.1.7 脱水・栄養不良状態等を伴う身体的疲弊のある患者

    Syndrome malin(悪性症候群)が起こりやすい。

  8. 9.1.8 不動状態、長期臥床、肥満、脱水状態等の患者

    肺塞栓症、静脈血栓症等の血栓塞栓症が報告されている。

9.3 肝機能障害患者

肝機能障害を悪化させるおそれがある。

9.5 妊婦

妊婦又は妊娠している可能性のある女性には投与しないこと。本剤は動物実験で催奇形性は認められていないが、ラットにおいて死産児の増加が認められている。類似化合物(フルフェナジンエナント酸エステル)で動物における催奇形性が報告されている。また、妊娠後期に抗精神病薬が投与されている場合、新生児に哺乳障害、傾眠、呼吸障害、振戦、筋緊張低下、易刺激性等の離脱症状や錐体外路症状があらわれたとの報告がある。

9.6 授乳婦

投与中及び投与後一定期間は授乳しないことが望ましい。ラットで乳汁移行するとの報告がある。

9.7 小児等

幼児、小児では錐体外路症状、特にジスキネジアが起こりやすい。小児等を対象とした臨床試験は実施していない。

9.8 高齢者

患者の状態を観察しながら、慎重に投与すること。錐体外路症状、脱力感、運動失調、排泄障害が起こりやすい。

10. 相互作用

  • 本剤は、主として肝代謝酵素CYP2D6で代謝される。

10.1 併用禁忌(併用しないこと)

薬剤名等臨床症状・措置方法機序・危険因子

アドレナリン
(アナフィラキシーの救急治療、又は歯科領域における浸潤麻酔もしくは伝達麻酔に使用する場合を除く)
(ボスミン)

アドレナリンの作用を逆転させ、重篤な血圧低下を起こすことがある。

アドレナリンはアドレナリン作動性α,β-受容体の刺激剤であり、本剤のα-受容体遮断作用により、β-受容体刺激作用が優位となり、血圧低下作用が増強される。

クロザピン
(クロザリル)

クロザピンは、原則として単剤で使用し、他の抗精神病薬とは併用しないこととされている。本剤は筋肉内投与後緩徐に血中に移行し、直ちに薬物を体外に排除する方法がないため、クロザピンと併用しないこと。

本剤が血中から消失するまでに時間を要する。

10.2 併用注意(併用に注意すること)

薬剤名等臨床症状・措置方法機序・危険因子

中枢神経抑制剤
(バルビツール酸誘導体・麻酔剤等)

睡眠(催眠)・精神機能抑制の増強、麻酔効果の増強・延長、血圧低下等を起こすことがあるので、減量するなど慎重に投与すること。

相互に中枢神経抑制作用を増強させることがある。

降圧剤

起立性低血圧等を起こすことがあるので、減量するなど慎重に投与すること。

相互に降圧作用を増強させることがある。

アトロピン様作用を有する薬剤

口渇、眼圧上昇、排尿障害、頻脈、腸管麻痺等を起こすことがあるので、減量するなど慎重に投与すること。

相互にアトロピン様作用を増強させることがある。

アルコール
(飲酒)

眠気、精神運動機能低下等を起こすことがある。

相互に中枢神経抑制作用を増強させることがある。

ドンペリドン
メトクロプラミド

内分泌機能調節異常又は錐体外路症状が発現するおそれがある。

ともに中枢ドパミン受容体遮断作用を有する。

リチウム

心電図変化、重症の錐体外路症状、持続性のジスキネジア、突発性のSyndrome malin(悪性症候群)、非可逆性の脳障害を起こすおそれがあるので、観察を十分に行い、このような症状があらわれた場合には投与を中止すること。

機序は不明であるが、併用による抗ドパミン作用の増強等が考えられている。

ドパミン作動薬
(レボドパ製剤、ブロモクリプチンメシル酸塩)

相互に作用を減弱させるおそれがある。

ドパミン作動性神経において、作用が拮抗することによる。

有機燐殺虫剤

縮瞳、徐脈等の症状があらわれることがあるので、接触しないように注意すること。

本剤は有機燐殺虫剤の抗コリンエステラーゼ作用を増強し毒性を強めることがある。

アドレナリン含有歯科麻酔剤

(リドカイン・アドレナリン)

重篤な血圧低下を起こすことがある。

アドレナリンはアドレナリン作動性α,β-受容体の刺激剤であり、本剤のα-受容体遮断作用により、β-受容体刺激作用が優位となり、血圧低下作用が増強されるおそれがある。

11. 副作用

次の副作用があらわれることがあるので、観察を十分に行い、異常が認められた場合には投与を中止するなど適切な処置を行うこと。

11.1 重大な副作用

  1. 11.1.1 Syndrome malin(悪性症候群)(頻度不明)

    無動緘黙、強度の筋強剛、嚥下困難、頻脈、血圧の変動、発汗等が発現し、それに引き続き発熱がみられる場合は、投与を中止し、体冷却、水分補給等の全身管理とともに適切な処置を行うこと。本症発症時には、白血球の増加や血清CKの上昇がみられることが多く、また、ミオグロビン尿を伴う腎機能の低下がみられることがある。なお、高熱が持続し、意識障害、呼吸困難、循環虚脱、脱水症状、急性腎障害へと移行し、死亡した例が報告されている。

  2. 11.1.2 突然死(頻度不明)

    血圧低下、心電図異常(QT間隔の延長、T波の平低化や逆転、二峰性T波ないしU波の出現等)に続く突然死が報告されているので、特にQT部分に変化があれば投与を中止すること。また、フェノチアジン系化合物投与中の心電図異常は、大量投与されていた例に多いとの報告がある。

  3. 11.1.3 再生不良性貧血、無顆粒球症、白血球減少(いずれも頻度不明)

  4. 11.1.4 麻痺性イレウス(頻度不明)

    腸管麻痺(食欲不振、悪心・嘔吐、著しい便秘、腹部の膨満あるいは弛緩及び腸内容物のうっ滞等)を来し、麻痺性イレウスに移行することがあるので、腸管麻痺があらわれた場合には投与を中止すること。なお、この悪心・嘔吐は、本剤の制吐作用により不顕性化することもあるので注意すること。

  5. 11.1.5 抗利尿ホルモン不適合分泌症候群(SIADH)(頻度不明)

    低ナトリウム血症、低浸透圧血症、尿中ナトリウム排泄量の増加、高張尿、痙攣、意識障害等を伴う抗利尿ホルモン不適合分泌症候群(SIADH)があらわれることがあるので、このような場合には投与を中止し、水分摂取の制限等適切な処置を行うこと。

  6. 11.1.6 遅発性ジスキネジア(頻度不明)

    長期投与により、遅発性ジスキネジア(口周部、四肢等の不随意運動)が発症することがある。通常、抗パーキンソン剤を投与しても、この症状は軽減しない場合があり、本剤投与の継続の必要性を、他の抗精神病薬への変更も考慮して慎重に判断すること。

  7. 11.1.7 眼障害(頻度不明)

    長期又は大量投与により、角膜・水晶体の混濁、網膜・角膜の色素沈着があらわれることがある。

  8. 11.1.8 SLE様症状(頻度不明)
  9. 11.1.9 肺塞栓症、深部静脈血栓症(いずれも頻度不明)

    肺塞栓症、静脈血栓症等の血栓塞栓症が報告されているので、観察を十分に行い、息切れ、胸痛、四肢の疼痛、浮腫等が認められた場合には、投与を中止するなど適切な処置を行うこと。

11.2 その他の副作用

5%以上

0.1~5%未満

頻度不明

循環器

血圧低下、頻脈、心悸亢進

脈拍上昇、心電図異常

肝臓

ビリルビン上昇、アルブミン減少、AST、ALT、γ-GTP上昇、総タンパクの減少、ALP、LDH、A/G比の上昇

錐体外路症状注1)

パーキンソン症候群(振戦、筋強剛、流涎等)(18.5%)、アカシジア(静坐不能)(13.9%)

ジスキネジア(口周部、四肢等の不随意運動等)、ジストニア(眼球上転、眼瞼痙攣、舌突出、痙性斜頸、頸後屈、体幹側屈、後弓反張、構音障害、舌のもつれ等)

視覚障害

過敏症

発疹、光線過敏症

血液

リンパ球減少、単球減少、血小板減少性紫斑病、貧血、顆粒球減少、血小板減少

消化器

便秘、口渇

嘔吐、腹部膨満、食欲亢進

悪心

内分泌

月経異常、体重増加、体重減少、射精不能

精神神経系

不眠

不安、易刺激、眠気、眩暈、頭痛、興奮、抑うつ、昏迷、焦燥感

その他

倦怠感

鼻閉、脱力感、脱毛、発汗、集中力障害、痙攣

BUN上昇、発熱、CK上昇

注1)これらの症状があらわれた場合には、必要に応じて抗パーキンソン剤の投与等、適切な処置を行うこと。

13. 過量投与

  1. 13.1 症状

    主な症状は呼吸抑制、血圧低下、過度の鎮静等である。

14. 適用上の注意

14.1 薬剤投与時の注意

  1. 14.1.1 投与経路

    筋肉内注射にのみ使用し、深部に注射すること。

  2. 14.1.2 筋肉内注射時
    1. (1) 筋肉内注射により局所の硬結、疼痛、発赤、腫脹等がみられることがある。
    2. (2) 筋肉内注射にあたっては、組織・神経等への影響を避けるため、下記の点に注意すること。
      • 同一部位への反復注射は避けること。また、小児には特に注意すること。
      • 神経走行部位を避けるよう注意すること。
      • 注射針を刺入したとき、激痛を訴えたり血液の逆流をみた場合には、直ちに針を抜き、部位をかえて注射すること。

15. その他の注意

15.1 臨床使用に基づく情報

  1. 15.1.1 本剤による治療中、原因不明の突然死が報告されている。
  2. 15.1.2 *外国で実施された高齢認知症患者を対象とした17の臨床試験において、非定型抗精神病薬投与群はプラセボ投与群と比較して死亡率が1.6~1.7倍高かったとの報告がある。また、外国での疫学調査において、定型抗精神病薬も非定型抗精神病薬と同様に死亡率の上昇に関与するとの報告がある。

15.2 非臨床試験に基づく情報

本剤を雌ラットに14週間筋肉内投与した試験において、3.2mg/kg/週以上の投与量で乳腺の過形成が認められている。

16. 薬物動態

16.1 血中濃度

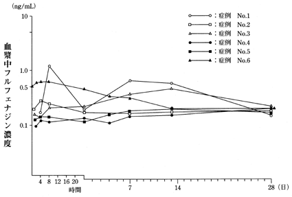
  1. 16.1.1 単回投与

    統合失調症患者(6例)にフルフェナジンデカン酸エステル(FD)25mgを1回筋肉内投与後の血漿中フルフェナジン濃度は、1日目以降0.12~0.64ng/mLで推移し、投与後28日目には0.15~0.21ng/mLを示した1)

    FD25mg投与後の血漿中フルフェナジン濃度(GC/MS法)
  2. 16.1.2 反復投与

    統合失調症患者(4例)にFD25mgを4週間隔で筋肉内投与した試験では、血漿中フルフェナジン濃度は個体差はあるものの5回投与でほぼプラトーに達した。12回にわたる長期投与例においてもプラトーに達した後は血漿中濃度の上昇傾向は認められなかった1)

    FD長期投与例における血中フルフェナジン濃度(GC/MS法)

16.2 吸収

FDは筋肉内投与後緩徐に血中に移行する(外国人のデータ)。

16.3 分布

  1. 16.3.1 血液-脳関門通過性

    雄ラットに14C-FDを筋肉内投与後、7日目の放射能濃度は、下垂体に血漿中濃度の13倍、線条体に11倍、以下大脳皮質、視床、海馬、橋・延髄、中脳視床下部、小脳の順に5.6~7.1倍の濃度が認められた2)

  2. 16.3.2 その他の組織への移行性

    雄ラットに14C-FDを筋肉内投与後、7日目に放射能濃度は内側腸骨リンパ節で最高値を示し、次いでハーダー腺、肝臓、肺、腎臓、精巣上体、膵臓及び甲状腺で高値であった。投与後28日ではハーダー腺及び肝臓で高値を示し、次いで腎臓、内側腸骨リンパ節、甲状腺、肺及び脾臓で高値であった。投与後84日目には甲状腺と脾臓が7日目の37及び32%に、他の組織は15%以下に低下した。

16.4 代謝

  1. 16.4.1 代謝部位及び代謝経路

    FDは筋肉内投与後、エステラーゼによりフルフェナジンに変換される。その後は肝臓で代謝され、主代謝物として、7-ヒドロキシフルフェナジン及びフルフェナジンスルホキシドが同定された3)。7-ヒドロキシフルフェナジン及びフルフェナジンスルホキシドはフルフェナジン同様ドパミン受容体を遮断する作用を有する4)(外国人のデータ)。

  2. 16.4.2 代謝酵素

    CYP2D6

16.5 排泄

統合失調症患者(3例)にFD25mgを単回筋肉内投与後の累積尿糞中回収率(30日間)は10~23%であった3),5)(外国人のデータ)。

17. 臨床成績

17.1 有効性及び安全性に関する試験

  1. 17.1.1 国内二重盲検比較試験

    統合失調症の患者を対象とした本剤(FD)投与群(経口ハロペリドール1日量の4倍(ただし50mgを超えない)量を4週間ごとに筋注、最高投与量1回75mg)及びハロペリドール(HP)投与群(1日18mg、補充薬の最高投与量は1日12mg)の結果は、以下のとおりであった6)

    著明
    改善
    (+++)

    中等度
    改善
    (++)

    軽度
    改善
    (+)

    不変

    (-)

    軽度
    悪化
    (X)

    中等度
    悪化
    (XX)

    著明
    悪化
    (XXX)

    不明

    合計

    U検定

    Χ2-検定

    +++

    > ++

    > +

    <X

    FD投与群

    6

    20

    40

    45

    7

    7

    1

    1

    127

    FD>HP
    Z=2.390

    5%

    N.S.

    20%

    N.S.

    52%

    FD>HP**
    X2=7.73

    12%

    N.S.

    HP投与群

    5

    17

    23

    66

    11

    6

    4

    0

    132

    4%

    17%

    34%

    16%

    *:p<0.05、**:p<0.01 N.S.:not significant

    副作用発現頻度は、FD投与群で40.2%(51/127例)、HP投与群で39.4%(52/132例)に認められた。FD投与群の主な副作用は、パーキンソニズム19.7%(25/51例)、便秘8.7%(11/51例)、アカシジア7.9%(10/51例)等であった。

18. 薬効薬理

18.1 作用機序

フルフェナジンデカン酸エステルは筋肉内投与後緩徐に血中へ移行し、移行後は速やかに加水分解されてフルフェナジンとなり、薬理作用を発現する2)
フルフェナジンの作用機序は、まだ完全に明らかにされていないが、中枢神経系におけるドパミン作動性、ノルアドレナリン作動性神経等に対する抑制作用によると考えられている7)

18.2 中枢ドパミン受容体遮断作用

マウス及びラットでは、筋肉内投与により、弁別回避反応に対する持続的抑制作用8),9)、メタンフェタミン誘発運動興奮に対する抑制作用10)及びアポモルフィン誘発常同行動に対する持続的抑制作用11)が認められた。

19. 有効成分に関する理化学的知見

一般的名称

フルフェナジンデカン酸エステル(Fluphenazine Decanoate)

化学名

2-[4-[3-[2-(trifluoromethyl)phenothiazin-10-yl]propyl]-1-piperazinyl]ethyl decanoate

分子式

C32H44F3N3O2S

分子量

591.77

性状

淡黄色~褐黄色の粘稠な液又はろう状の塊、粉末、若しくはそれらの混じり合ったもので、僅かにエステルようのにおいがある。メタノール、エタノール(99.5)又はジエチルエーテルに極めて溶けやすく、酢酸(100)に溶けやすく、水にほとんど溶けない。

化学構造式

分配係数

クロロホルム/水系(pH1~10)及びオクタノール/水系(pH1~10)での分配係数を求めた。
その結果、各pH域とも有機溶媒層に100%分配された。

20. 取扱い上の注意

  1. 20.1 開封後は遮光保存すること。
  2. 20.2 本剤は冷蔵庫又は約10℃以下に保存するとき、フルフェナジンデカン酸エステルの結晶が一部析出し、更にゴマ油が一部固体油を析出するため、液が僅かに濁るが、15℃以上の室温に放置するとき速やかに再溶解し澄明となる。

22. 包装

25mg[1mL×5瓶]

24. 文献請求先及び問い合わせ先

**田辺ファーマ株式会社 くすり相談センター

〒541-8505 大阪市中央区道修町3-2-10

電話 0120-753-280

26. 製造販売業者等

26.1 製造販売元

**田辺ファーマ株式会社

大阪市中央区道修町3-2-10

〒100-0013 東京都千代田区霞が関3-3-2 新霞が関ビル

画面を閉じる

Copyright © Pharmaceuticals and Medical Devices Agency, All Rights reserved.