医療用医薬品 詳細表示

テオドール錠100mg/テオドール錠200mg

処方せん医薬品

添付文書番号
企業コード
作成又は改訂年月
日本標準商品分類番号
薬効分類名
承認等
一般的名称
2.禁忌(次の患者には投与しないこと)
3.組成・性状
3.1組成
3.2製剤の性状
4.効能又は効果
5.効能又は効果に関連する注意
6.用法及び用量
7.用法及び用量に関連する注意
8.重要な基本的注意
9.特定の背景を有する患者に関する注意
9.1合併症・既往歴等のある患者
9.2腎機能障害患者
9.3肝機能障害患者
9.5妊婦
9.6授乳婦
9.7小児等
9.8高齢者
10.相互作用
10.1併用禁忌(併用しないこと)
10.2併用注意(併用に注意すること)
11.副作用
11.1重大な副作用
11.2その他の副作用
13.過量投与
14.適用上の注意
16.薬物動態
16.1血中濃度
16.2吸収
16.3分布
16.4代謝
16.5排泄
16.6特定の背景を有する患者
16.8その他
17.臨床成績
17.1有効性及び安全性に関する試験
18.薬効薬理
18.1作用機序
19.有効成分に関する理化学的知見
20.取扱い上の注意
22.包装
23.主要文献
24.文献請求先及び問い合わせ先
26.製造販売業者等

テオドール錠100mg/テオドール錠200mg

添付文書番号

2251001F2115_2_15

企業コード

400315

作成又は改訂年月

**2025年12月改訂(第3版)
2024年5月改訂(第2版)

日本標準商品分類番号

872251

薬効分類名

キサンチン系気管支拡張剤

承認等

テオドール錠100mg

販売名コード

YJコード

2251001F2115

販売名英語表記

THEODUR Tablets

販売名ひらがな

ておどーるじょう

承認番号等

承認番号

21400AMY00078

販売開始年月

1984年4月

貯法・有効期間

貯法

室温保存

有効期間

3年3ヵ月

テオドール錠200mg

販売名コード

YJコード

2251001F3081

販売名英語表記

THEODUR Tablets

販売名ひらがな

ておどーるじょう

承認番号等

承認番号

21400AMY00079

販売開始年月

1984年4月

貯法・有効期間

貯法

室温保存

有効期間

3年3ヵ月

一般的名称

テオフィリン徐放性製剤

2. 禁忌(次の患者には投与しないこと)

  1. 2.1 本剤又は他のキサンチン系薬剤に対し重篤な副作用の既往歴のある患者
  2. 2.2 12時間以内にアデノシン(アデノスキャン)を使用する患者

3. 組成・性状

3.1 組成

テオドール錠100mg

有効成分1錠中
日局 テオフィリン   100mg
添加剤白糖、トウモロコシデンプン、粉糖、乳糖水和物、ステアリン酸マグネシウム、アラビアゴム、セラセフェート、タルク、ラウリル硫酸ナトリウム、ステアリン酸グリセリン、サラシミツロウ、セタノール、ミリスチルアルコール、フタル酸ジエチル

テオドール錠200mg

有効成分1錠中
日局 テオフィリン   200mg
添加剤白糖、トウモロコシデンプン、無水乳糖、ステアリン酸マグネシウム、セラセフェート、ヒプロメロース、ステアリン酸グリセリン、サラシミツロウ、セタノール、ミリスチルアルコール、フタル酸ジエチル

3.2 製剤の性状

テオドール錠100mg

外形表面
裏面
側面
大きさ直径9.6mm
厚さ3.9mm
質量300mg
識別コードTHEO-DUR100
性状・剤形白色・表面が不定形の斑点状を呈する割線入りの徐放性錠剤

テオドール錠200mg

外形表面
裏面
側面
大きさ長径12.4mm
短径6.9mm
厚さ5.9mm(中心値)
質量420mg
識別コードTHEO-DUR200
性状・剤形白色・表面が不定形の斑点状を呈する割線入りの徐放性錠剤

4. 効能又は効果

  • 気管支喘息
  • 喘息性(様)気管支炎
  • 慢性気管支炎
  • 肺気腫

5. 効能又は効果に関連する注意

  • 〈喘息性(様)気管支炎〉
    1. 5.1 発熱を伴うことが多く、他の治療薬による治療の優先を考慮すること。テオフィリン投与中に発現した痙攣の報告は、発熱した乳幼児に多い。

6. 用法及び用量

  • テオドール錠100mg

    通常、テオフィリンとして、成人1回200mg(本剤2錠)を、小児1回100~200mg(本剤1~2錠)を、1日2回、朝及び就寝前に経口投与する。また、気管支喘息については、テオフィリンとして成人1回400mg(本剤4錠)を、1日1回就寝前に経口投与することもできる。
    なお、年齢、症状に応じ適宜増減する。

  • テオドール錠200mg

    通常、テオフィリンとして、成人1回200mg(本剤1錠)を、1日2回、朝及び就寝前に経口投与する。また、気管支喘息については、テオフィリンとして成人1回400mg(本剤2錠)を、1日1回就寝前に経口投与することもできる。
    なお、年齢、症状に応じ適宜増減する。

7. 用法及び用量に関連する注意

  • 〈効能共通〉
    1. 7.1 本剤投与中は、臨床症状等の観察や血中濃度のモニタリングを行うなど慎重に投与すること。
  • 〈気管支喘息〉
    1. 7.2 *小児に投与する場合の投与量、投与方法等については、学会のガイドライン等、最新の情報を参考に投与すること。
      <参考:日本小児アレルギー学会:小児気管支喘息治療・管理ガイドライン1)
      6~15歳では8~10mg/kg/日(1回4~5mg/kg 1日2回)より開始し、臨床効果と血中濃度を確認しながら調節する。

8. 重要な基本的注意

  1. 8.1 テオフィリンによる副作用の発現は、テオフィリン血中濃度の上昇に起因する場合が多いことから、血中濃度のモニタリングを適切に行い、患者個々人に適した投与計画を設定することが望ましい。
  2. 8.2 小児、特に乳幼児に投与する場合には、保護者等に対し、発熱時には一時減量あるいは中止するなどの対応を、あらかじめ指導しておくことが望ましい。
  3. 8.3 小児では一般に自覚症状を訴える能力が劣るので、本剤の投与に際しては、保護者等に対し、患児の状態を十分に観察し、異常が認められた場合には速やかに主治医に連絡するなどの適切な対応をするように注意を与えること。

9. 特定の背景を有する患者に関する注意

9.1 合併症・既往歴等のある患者

  1. 9.1.1 てんかんの患者

    中枢刺激作用によって発作を起こすことがある。

  2. 9.1.2 甲状腺機能亢進症の患者

    甲状腺機能亢進に伴う代謝亢進、カテコールアミンの作用を増強することがある。

  3. 9.1.3 うっ血性心不全の患者

    血中濃度測定等の結果により減量すること。テオフィリンクリアランスが低下し、テオフィリン血中濃度が上昇することがある。

9.2 腎機能障害患者

  1. 9.2.1 急性腎炎の患者

    腎臓に対する負荷を高め、尿蛋白が増加するおそれがある。

9.3 肝機能障害患者

血中濃度測定等の結果により減量すること。テオフィリンクリアランスが低下し、テオフィリン血中濃度が上昇することがある。

9.5 妊婦

妊婦又は妊娠している可能性のある女性には、治療上の有益性が危険性を上回ると判断される場合にのみ投与すること。動物実験(マウス、ラット、ウサギ)で催奇形作用等の生殖毒性が報告されている。また、ヒトで胎盤を通過して胎児に移行し、新生児に嘔吐、神経過敏等の症状があらわれることがある。

9.6 授乳婦

本剤投与中は授乳しないことが望ましい。ヒト母乳中に移行し、乳児に神経過敏を起こすことがある。

9.7 小児等

  1. 9.7.1 テオフィリン血中濃度のモニタリングを行うなど、学会のガイドライン等の最新の情報も参考に、慎重に投与すること。特に次の小児にはより慎重に投与すること。成人に比べて痙攣を惹起しやすく、また、テオフィリンクリアランスが変動しやすい。,,
    • てんかん及び痙攣の既往歴のある小児
      痙攣を誘発することがある。
    • 発熱している小児
      テオフィリン血中濃度の上昇や痙攣等の症状があらわれることがある。
    • 6ヵ月未満の乳児
      6ヵ月未満の乳児ではテオフィリンクリアランスが低く、テオフィリン血中濃度が上昇することがある。乳児期にはテオフィリンクリアランスが一定していない。
  2. 9.7.2 低出生体重児、新生児を対象とした臨床試験は実施していない。

9.8 高齢者

副作用の発現に注意し、慎重に投与すること。高齢者では、非高齢者に比べ最高血中濃度の上昇及びAUCの増加が認められたとの報告がある。

10. 相互作用

  • 本剤は主として肝代謝酵素CYP1A2で代謝される。

10.1 併用禁忌(併用しないこと)

薬剤名等臨床症状・措置方法機序・危険因子

アデノシン
(アデノスキャン)

本剤によりアデノシンによる冠血流速度の増加及び冠血管抵抗の減少を抑制し、虚血診断に影響を及ぼすことがある。アデノシン(アデノスキャン)を投与する場合は12時間以上の間隔をあけること。

本剤はアデノシン受容体に拮抗するため、アデノシンの作用を減弱させる。

10.2 併用注意(併用に注意すること)

薬剤名等臨床症状・措置方法機序・危険因子

他のキサンチン系薬剤
(アミノフィリン水和物、ジプロフィリン、カフェイン等)
中枢神経興奮薬
(エフェドリン塩酸塩、マオウ等)

過度の中枢神経刺激作用があらわれることがある。
副作用の発現に注意し、異常が認められた場合には減量又は投与を中止するなど適切な処置を行うこと。

併用により中枢神経刺激作用が増強される。

交感神経刺激剤
(β刺激剤)
(イソプレナリン塩酸塩、クレンブテロール塩酸塩、ツロブテロール塩酸塩、テルブタリン硫酸塩、プロカテロール塩酸塩水和物等)

低カリウム血症、心・血管症状(頻脈、不整脈等)等のβ刺激剤の副作用症状を増強させることがある。
副作用の発現に注意し、異常が認められた場合には減量又は投与を中止するなど適切な処置を行うこと。

心刺激作用をともに有しており、β刺激剤の作用を増強するためと考えられる。
低カリウム血症の増強についての機序は不明である。

ハロタン

不整脈等の副作用が増強することがある。また、連続併用によりテオフィリン血中濃度が上昇することがある。
副作用の発現に注意し、異常が認められた場合には減量又は投与を中止するなど適切な処置を行うこと。

テオフィリンとハロタンの心臓に対する作用の相加又は相乗効果と考えられる。

ケタミン塩酸塩

痙攣があらわれることがある。
痙攣の発現に注意し、異常が認められた場合には抗痙攣剤の投与など適切な処置を行うこと。

痙攣閾値が低下するためと考えられる。

シメチジン
メキシレチン塩酸塩
プロパフェノン塩酸塩
アミオダロン塩酸塩
ピペミド酸水和物
シプロフロキサシン
ノルフロキサシン
トスフロキサシントシル酸塩水和物
パズフロキサシンメシル酸塩
プルリフロキサシン
エリスロマイシン
クラリスロマイシン
ロキシスロマイシン
チクロピジン塩酸塩
ベラパミル塩酸塩
ジルチアゼム塩酸塩
フルボキサミンマレイン酸塩
フルコナゾール
ジスルフィラム
デフェラシロクス

テオフィリンの中毒症状があらわれることがある。
副作用の発現に注意し、異常が認められた場合には減量又は投与を中止するなど適切な処置を行うこと。

肝代謝酵素が阻害され、テオフィリンクリアランスが低下するため、テオフィリン血中濃度が上昇すると考えられる。

アシクロビル
バラシクロビル塩酸塩
インターフェロン
イプリフラボン
シクロスポリン
アロプリノール

テオフィリンの中毒症状があらわれることがある。
副作用の発現に注意し、異常が認められた場合には減量又は投与を中止するなど適切な処置を行うこと。

テオフィリン血中濃度の上昇によると考えられる。

リファンピシン
フェノバルビタール
ランソプラゾール
リトナビル

テオフィリンの効果が減弱することがある。
テオフィリン血中濃度が低下することがあるので、適切な処置を行うこと。

肝代謝酵素の誘導によりテオフィリンクリアランスが上昇するため、テオフィリン血中濃度が低下すると考えられる。

フェニトイン
カルバマゼピン

テオフィリン及び相手薬の効果が減弱することがある。
テオフィリン血中濃度が低下することがあるので、適切な処置を行うこと。
また、相手薬の効果減弱や血中濃度の低下に注意すること。

肝代謝酵素の誘導によりテオフィリンクリアランスが上昇するため、テオフィリン血中濃度が低下すると考えられる。

ジピリダモール

ジピリダモールの作用を減弱させることがある。

アデノシン拮抗作用による。

ラマトロバン

ラマトロバンの血中濃度が上昇することがある。

ラマトロバンの血中濃度上昇についての機序は不明である。

リルゾール

リルゾールの作用を増強(副作用発現)するおそれがある。

in vitro試験でリルゾールの代謝を阻害することが示唆されている。

タバコ

禁煙(禁煙補助剤であるニコチン製剤使用時を含む)によりテオフィリンの中毒症状があらわれることがある。
副作用の発現に注意し、異常が認められた場合には減量又は投与を中止するなど適切な処置を行うこと。

喫煙により肝代謝酵素が誘導され、テオフィリンクリアランスが上昇し、テオフィリン血中濃度が低下すると考えられる。また、禁煙により血中濃度が上昇すると考えられる。

セイヨウオトギリソウ(St. John’s Wort、セント・ジョーンズ・ワート)含有食品

本剤の代謝が促進され血中濃度が低下するおそれがあるので、本剤投与時はセイヨウオトギリソウ含有食品を摂取しないよう注意すること。

セイヨウオトギリソウにより誘導された肝代謝酵素が本剤の代謝を促進し、クリアランスを上昇させるためと考えられている。

11. 副作用

次の副作用があらわれることがあるので、観察を十分に行い、異常が認められた場合には投与を中止するなど適切な処置を行うこと。なお、副作用の発現に伴い本剤を減量又は投与を中止した場合には、テオフィリン血中濃度を測定することが望ましい。

11.1 重大な副作用

  1. 11.1.1 痙攣、意識障害(いずれも頻度不明)

    痙攣又はせん妄、昏睡等の意識障害があらわれることがあるので、抗痙攣剤の投与等適切な処置を行うこと。

  2. 11.1.2 急性脳症(頻度不明)

    痙攣、意識障害等に引き続き急性脳症に至ることがあるので、このような症状があらわれた場合には投与を中止し、抗痙攣剤の投与等適切な処置を行うこと。

  3. 11.1.3 横紋筋融解症(頻度不明)

    脱力感、筋肉痛、CK上昇等に注意し、このような症状があらわれた場合には投与を中止し、適切な処置を行うとともに横紋筋融解症による急性腎障害の発症に注意すること。

  4. 11.1.4 消化管出血(頻度不明)

    潰瘍等による消化管出血(吐血、下血等)があらわれることがある。

  5. 11.1.5 赤芽球癆(頻度不明)

    貧血があらわれた場合には投与を中止するなど適切な処置を行うこと。

  6. 11.1.6 アナフィラキシーショック(頻度不明)

    アナフィラキシーショック(蕁麻疹、蒼白、発汗、血圧低下、呼吸困難等)があらわれることがある。

  7. 11.1.7 肝機能障害、黄疸(いずれも頻度不明)

    肝機能障害(AST、ALTの上昇等)、黄疸があらわれることがある。

  8. 11.1.8 頻呼吸、高血糖症(いずれも頻度不明)

11.2 その他の副作用

0.1~5%未満

0.1%未満

頻度不明

過敏症

そう痒感、発疹

蕁麻疹、固定薬疹、紅斑(多形滲出性紅斑等)

精神神経系

頭痛、不眠、めまい、振戦

しびれ、不随意運動、筋緊張亢進

神経過敏(興奮、不機嫌、いらいら感)、不安、耳鳴

循環器

動悸、不整脈(心室性期外収縮等)

頻脈、顔面潮紅、顔面蒼白

消化器

悪心、嘔吐、食欲不振、腹痛、腹部膨満感、下痢、消化不良(胸やけ等)

しゃっくり

泌尿器

蛋白尿

頻尿

代謝異常

血清尿酸値上昇、CK上昇

肝臓

ALT、ALP、LDHの上昇

ASTの上昇

γ-GTPの上昇

血液

貧血

好酸球増多

その他

倦怠感、むくみ、胸痛

関節痛、四肢痛、発汗、低カリウム血症、鼻出血、しびれ(口、舌周囲)

注)発現頻度は、製造販売後調査の結果を含む。

13. 過量投与

  1. 13.1 症状

    テオフィリン血中濃度が高値になると、血中濃度の上昇に伴い、消化器症状(特に悪心、嘔吐)や精神神経症状(頭痛、不眠、不安、興奮、痙攣、せん妄、意識障害、昏睡等)、心・血管症状(頻脈、心室頻拍、心房細動、血圧低下等)、低カリウム血症その他の電解質異常、呼吸促進、横紋筋融解症等の中毒症状が発現しやすくなる。なお、軽微な症状から順次発現することなしに重篤な症状が発現することがある。

  2. 13.2 処置

    血液透析は血中のテオフィリンを効率的に除去するとの報告がある。なお、テオフィリン血中濃度が低下しても、組織に分布したテオフィリンにより血中濃度が再度上昇することがある。

14. 適用上の注意

14.1 薬剤交付時の注意

  1. 14.1.1 本剤は徐放性製剤なので、かまずに服用するよう指導すること。
  2. 14.1.2 水とともに経口投与するよう指導すること。
  3. 14.1.3 本剤を飲みにくい場合には、割線で2分して服用するよう指導すること。
  4. 14.1.4 PTP包装の薬剤はPTPシートから取り出して服用するよう指導すること。PTPシートの誤飲により、硬い鋭角部が食道粘膜へ刺入し、更には穿孔をおこして縦隔洞炎等の重篤な合併症を併発することがある。

16. 薬物動態

16.1 血中濃度

  1. 16.1.1 単回投与

    健康成人にテオドール錠100mg×2錠(テオフィリンとして200mg)を単回経口投与した場合の薬物動態パラメータは下表のとおりである2)

    健康成人(n=6)

    Cmax(μg/mL)

    3.0±0.5

    tmax(h)

    7.2±1.6

    AUC0-∞(μg・h/mL)

    53.9±10.8

    (平均値±S.D.)

  1. 16.1.2 反復投与

    健康成人にテオドール錠100mg×2錠(テオフィリンとして200mg)を12時間ごとに9回連続投与した場合のテオフィリン血清中濃度は、下図のように6回目投与後ほぼ定常状態に達した2)

16.2 吸収

消化管からほぼ100%吸収される3)

16.3 分布

  1. 16.3.1 分布容積

    一般に約0.45L/kgとされている3)

  2. 16.3.2 蛋白結合率

    約60%3)

  3. 16.3.3 組織への移行性

    ラットに14C-theophyllineを経口投与した場合、テオフィリン及びその代謝物が特異的に分布、蓄積する臓器は認められなかった4)

  4. 16.3.4 胎児への移行性

    12例の喘息を有する母親の妊娠中の平均血清中テオフィリン濃度は9.69μg/mLであり、同時に得られた平均臍帯血テオフィリン濃度は10.21μg/mLであり、有意差を認めなかった5)

  5. 16.3.5 乳汁中への移行性

    5例の授乳婦を対象にテオフィリンの血清中濃度と乳汁中濃度を検討したところ、乳汁/血清中濃度比は平均で0.7であった6)

16.4 代謝

健康成人にテオドール錠100mg×2錠(テオフィリンとして200mg)を経口投与した場合、テオフィリンは主として肝臓で代謝され、尿中代謝物は1,3-dimethyluric acid、1-methyluric acid及び3-methylxanthineが同定された。
テオフィリンの代謝にはP450の分子種のうちCYP1A2が主たる分子種として、3A4や2E1がマイナーな分子種として関与することが示唆されている2),7)

16.5 排泄

テオドール錠100mg×2錠(テオフィリンとして200mg)を投与後48時間に健康成人の尿中に排泄される未変化のテオフィリンは投与量の約8%、代謝物は約80%であった2)

16.6 特定の背景を有する患者

  1. 16.6.1 高齢者

    健康高齢者及び健康非高齢者にテオドール錠100mg×2錠(テオフィリンとして200mg)を12時間ごとに9回連続経口投与した場合の薬物動態パラメータは下表のとおりである8)

    健康非高齢者(n=16)

    健康高齢者(n=16)

    Cmax(μg/mL)

    8.7±2.2

    10.3±2.3

    tmax(h)

    3.9±1.4

    4.8±1.7

    AUC96-108(μg・h/mL)

    93.1±25.5

    111.6±24.7

    (平均値±S.D.)

16.8 その他

テオフィリンの治療上有効な血清中濃度は5~20μg/mLであり、20μg/mLを超えると中毒作用が発現することがある9)

17. 臨床成績

17.1 有効性及び安全性に関する試験

  1. 17.1.1 国内二重盲検比較試験

    小児(6~15歳)の気管支喘息患者を対象に実施された多施設二重盲検比較試験(本剤群:錠100mgを1日2回、テオフィリン群:錠67mgを1日3回、トリメトキノール群:錠1mgを1日3回)の概要は下表のとおりであった。

    全般改善度の比較

    著明
    改善

    中等度
    改善

    軽度
    改善

    不変

    悪化

    Kruskal
    test

    Wilcoxon
    順位和検定

    X2検定

    本剤群

    7

    11

    4

    3

    1

    26

    P<0.05
    (M>I,P<0.1)

    M>I,P<0.05
    M:T N.S.
    T:I N.S.

    著明~中等度以上
    M>I,P<0.01
    他はN.S.

    テオフィリン群

    5

    6

    6

    2

    4

    23

    トリメトキノール群

    4

    1

    9

    8

    1

    23

    本剤群の副作用発現頻度は、14.3%(8例/56例)であった。主な副作用は、悪心12.5%(7/56例)、頭痛10.7%(6/56例)、食欲不振8.9%(5/56例)であった10)

  2. 17.1.2 国内二重盲検交叉比較試験(1日1回投与)

    1日2回分割投与法との気管支喘息患者を対象に実施された多施設二重盲検交叉比較試験の概要は下表のとおりであった11),12),13),14),15)

    投与法別の全般改善度の比較

    1日1回投与は1日2回投与に比べ

    著明改善

    改善

    やや改善

    同等

    やや悪化

    悪化

    著明悪化

    検定

    S検定

    W検定

    0
    [0.0]

    5
    [7.0]
    (7.0)

    11
    [15.5]
    (22.5)

    41
    [57.7]

    11
    [15.5]
    (19.7)

    2
    [2.8]
    (4.2)

    1
    [1.4]

    71

    NS

    NS

    [ ]:% ( ):累積% S検定:符号検定
    W検定:順位和検定 NS:Not significant

    注)本剤の承認最大用量は、成人400mg/回、小児200mg/回である。錠200mgは小児に対する承認用法及び用量を有していない。

18. 薬効薬理

18.1 作用機序

本剤の作用機序は、phosphodiesteraseの作用を阻害して細胞内cyclic 3’,5’-AMP濃度を高めることによるとされている16),17),18),19),20),21)
このほかにも、アデノシン受容体に対する拮抗作用、細胞内カルシウムイオンの分布調節作用、内因性カテコールアミンの遊離促進作用及びプロスタグランジンに対する拮抗作用等が報告されており、いまだ作用機序については不明な点が多い。

18.2 気管支拡張作用等

気管支拡張、肺血管拡張、呼吸中枢刺激、気道の粘液線毛輸送能の促進、横隔膜の収縮力増強、肥満細胞からの化学伝達物質(気管支収縮因子)の遊離抑制等の作用により、気管支喘息等の諸症状を改善する16),17)

18.3 抗炎症作用

喘息患者の気管支生検において活性化好酸球数、総好酸球数の減少等の抗炎症作用を示す18)

18.4 その他の薬理作用(in vitro)

ヒト炎症細胞からの活性酸素及びサイトカインの産生に対する抑制作用19)、IL-5のヒト好酸球寿命延長に対する抑制作用20)、ヒト好酸球の接着因子発現の抑制作用等21)が報告されている。

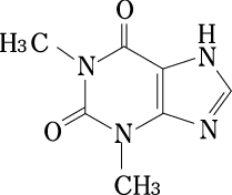
19. 有効成分に関する理化学的知見

一般的名称

テオフィリン(Theophylline)

化学名

1,3-Dimethyl-1H-purine-2,6(3H,7H)-dione

分子式

C7H8N4O2

分子量

180.16

性状

白色の結晶又は結晶性の粉末である。N,N-ジメチルホルムアミドにやや溶けやすく、水又はエタノール(99.5)に溶けにくい。0.1mol/L塩酸試液に溶ける。

化学構造式

融点

271~275℃

20. 取扱い上の注意

錠剤表面の斑点は、効果を持続するための特殊製剤技術によるもので、変質によるものではない。

22. 包装

  • テオドール錠100mg
  • 100錠[10錠(PTP)×10]、1,000錠[10錠(PTP)×100]
  • テオドール錠200mg
  • 100錠[10錠(PTP)×10]、500錠[10錠(PTP)×50]

23. 主要文献

1) 滝沢琢己, 手塚純一郎, 長尾みづほ, 吉原重美監修:一般社団法人日本小児アレルギー学会編 小児気管支喘息治療・管理ガイドライン2023, 協和企画2023

2) 中島光好, 他:薬理と治療. 1981;9(1):17-25

3) 厚生省薬務局研究開発振興課監修:第十三改正日本薬局方医薬品情報(JPDI). 1996;955-958

4) 飯田成宇, 他:基礎と臨床. 1980;14(12):3767-3770

5) Labovitz E, et al.:JAMA. 1982;247(6):786-788

6) Yurchak AM, et al.:Pediatrics. 1976;57(4):518-520

7) 島田典招, 他:薬物動態. 1995;10(3):413-419

8) 田辺ファーマ(株):テオドール錠の高齢者における薬物動態に関わる資料(社内資料)

9) 洞井由紀夫, 他:Pharma Medica. 1988;6(10):55-61

10) 西間三馨, 他:薬理と治療. 1981;9(12):5029-5054

11) 宮本昭正, 他:薬理と治療. 1991;19(4):1513-1544

12) 川合 満, 他:Ther Res. 1991;12(3):891-902

13) 田中一正, 他:新薬と臨床. 1991;40(4):802-814

14) 大黒道夫, 他:医学と薬学. 1991;25(3):802-814

15) 馬場 実, 他:Prog Med. 1991;11(4):981-992

16) Rall, T. W.:Goodman and Gilman’s The Pharmacological Basis of Therapeutics(eds by Gilman A. G. et al.), 11th ed, The McGraw-Hill Companies Inc., New York 2006:727-736

17) 黒沢元博, 他:医学のあゆみ. 1985;134(13):1121-1124

18) Sullivan P, et al.:Lancet. 1994;343(8904):1006-1008

19) Barnes PJ, et al.:Eur Respir J. 1994;7(3):579-591

20) Ohta K, et al.:Clin Exp Allergy. 1996;26(Suppl. 2):10-15

21) Sagara H, et al.:Clin Exp Allergy. 1996;26(Suppl. 2):16-21

24. 文献請求先及び問い合わせ先

**田辺ファーマ株式会社 くすり相談センター

〒541-8505 大阪市中央区道修町3-2-10

電話 0120-753-280

26. 製造販売業者等

26.1 **製造販売元

田辺ファーマ株式会社

大阪市中央区道修町3-2-10

〒100-0013 東京都千代田区霞が関3-3-2 新霞が関ビル

画面を閉じる

Copyright © Pharmaceuticals and Medical Devices Agency, All Rights reserved.