医療用医薬品 詳細表示

ウルソ顆粒5%

処方せん医薬品以外の医薬品

添付文書番号
企業コード
作成又は改訂年月
日本標準商品分類番号
薬効分類名
承認等
一般的名称
2.禁忌(次の患者には投与しないこと)
3.組成・性状
3.1組成
3.2製剤の性状
4.効能又は効果
6.用法及び用量
9.特定の背景を有する患者に関する注意
9.1合併症・既往歴等のある患者
9.3肝機能障害患者
9.5妊婦
9.6授乳婦
9.8高齢者
10.相互作用
10.2併用注意(併用に注意すること)
11.副作用
11.1重大な副作用
11.2その他の副作用
15.その他の注意
15.1臨床使用に基づく情報
18.薬効薬理
18.1作用機序
18.2利胆作用及び胆汁うっ滞改善作用
18.3肝機能改善作用
18.4消化吸収改善作用
18.5胆石溶解作用
19.有効成分に関する理化学的知見
22.包装
23.主要文献
24.文献請求先及び問い合わせ先
26.製造販売業者等

ウルソ顆粒5%

添付文書番号

2362001D1060_2_11

企業コード

400315

作成又は改訂年月

2025年12月改訂(第2版)
2023年6月改訂(第1版)

日本標準商品分類番号

872362

薬効分類名

肝・胆・消化機能改善剤

承認等

ウルソ顆粒5%

販売名コード

YJコード

2362001D1060

販売名英語表記

URSO granules

販売名ひらがな

うるそかりゅう

承認番号等

承認番号

21600AMZ00044

販売開始年月

1964年6月

貯法・有効期間

貯法

室温保存

有効期間

5年

基準名

日本薬局方

ウルソデオキシコール酸顆粒

一般的名称

ウルソデオキシコール酸顆粒

2. 禁忌(次の患者には投与しないこと)

  1. 2.1 完全胆道閉塞のある患者
  2. 2.2 劇症肝炎の患者

3. 組成・性状

3.1 組成

ウルソ顆粒5%

有効成分(1g中)日局 ウルソデオキシコール酸   50mg
添加剤乳糖水和物、バレイショデンプン、カルメロースナトリウム

3.2 製剤の性状

ウルソ顆粒5%

性状・剤形白色・においなし・顆粒

4. 効能又は効果

  • 下記疾患における利胆

    胆道(胆管・胆のう)系疾患及び胆汁うっ滞を伴う肝疾患

  • 慢性肝疾患における肝機能の改善
  • 下記疾患における消化不良

    小腸切除後遺症、炎症性小腸疾患

  • 外殻石灰化を認めないコレステロール系胆石の溶解

6. 用法及び用量

効能又は効果

用法及び用量

  • 下記疾患における利胆
    • 胆道(胆管・胆のう)系疾患及び胆汁うっ滞を伴う肝疾患
  • 慢性肝疾患における肝機能の改善
  • 下記疾患における消化不良
    • 小腸切除後遺症、炎症性小腸疾患

ウルソデオキシコール酸として、通常、成人1回50mgを1日3回経口投与する。なお、年齢、症状により適宜増減する。

  • 外殻石灰化を認めないコレステロール系胆石の溶解

外殻石灰化を認めないコレステロール系胆石の溶解には、ウルソデオキシコール酸として、通常、成人1日600mgを3回に分割経口投与する。なお、年齢、症状により適宜増減する。

9. 特定の背景を有する患者に関する注意

9.1 合併症・既往歴等のある患者

  1. 9.1.1 重篤な膵疾患のある患者

    原疾患が悪化するおそれがある。

  2. 9.1.2 消化性潰瘍のある患者

    粘膜刺激作用があるため、症状が増悪するおそれがある。

9.3 肝機能障害患者

  1. 9.3.1 完全胆道閉塞のある患者

    投与しないこと。利胆作用があるため、症状が増悪するおそれがある。

  2. 9.3.2 劇症肝炎の患者

    投与しないこと。症状が増悪するおそれがある。

  3. 9.3.3 胆管に胆石のある患者

    利胆作用があるため、胆汁うっ滞を惹起するおそれがある。

9.5 妊婦

妊婦又は妊娠している可能性のある女性には、治療上の有益性が危険性を上回ると判断される場合にのみ投与すること。動物実験(ラット)で妊娠前及び妊娠初期の大量(2,000mg/kg/日)投与により胎児毒性が報告されている。

9.6 授乳婦

治療上の有益性及び母乳栄養の有益性を考慮し、授乳の継続又は中止を検討すること。ヒトで母乳への移行が認められている。

9.8 高齢者

用量に注意して投与すること。一般に生理機能が低下している。

10. 相互作用

    10.2 併用注意(併用に注意すること)

    薬剤名等臨床症状・措置方法機序・危険因子

    コレスチラミン
    コレスチミド

    本剤の作用を減弱するおそれがあるので、可能な限り間隔をあけて投与すること。

    本剤と結合し、本剤の吸収を遅滞あるいは減少させるおそれがある。

    制酸剤

    • 水酸化アルミニウムゲル
      合成ケイ酸アルミニウム
      水酸化アルミニウムゲル・水酸化マグネシウム

    本剤の作用を減弱するおそれがある。

    アルミニウムを含有する制酸剤は、本剤を吸着し、本剤の吸収を阻害するおそれがある。

    脂質低下剤

    • クロフィブラート
      ベザフィブラート
      フェノフィブラート

    本剤をコレステロール胆石溶解の目的で使用する場合は、本剤の作用を減弱するおそれがある。

    クロフィブラート等は胆汁中へのコレステロール分泌を促進するため、コレステロール胆石形成が促進されるおそれがある。

    11. 副作用

    次の副作用があらわれることがあるので、観察を十分に行い、異常が認められた場合には投与を中止するなど適切な処置を行うこと。

    11.1 重大な副作用

    1. 11.1.1 間質性肺炎(頻度不明)

      発熱、咳嗽、呼吸困難、胸部X線異常を伴う間質性肺炎があらわれることがあるので、このような症状があらわれた場合には、投与を中止し、副腎皮質ホルモン剤の投与等の適切な処置を行うこと。

    11.2 その他の副作用

    1~5%未満

    0.1~1%未満

    0.1%未満

    頻度不明

    消化器

    下痢

    悪心、食欲不振、便秘、胸やけ、胃不快感、腹痛、腹部膨満

    嘔吐

    過敏症

    そう痒、発疹

    蕁麻疹等

    紅斑(多形滲出性紅斑等)

    肝臓

    AST上昇、ALT上昇、ALP上昇

    ビリルビン上昇、γ-GTP上昇

    その他

    全身倦怠感、めまい

    白血球数減少

    注)発現頻度は製造販売後調査の結果を含む。

    15. その他の注意

    15.1 臨床使用に基づく情報

    *過去に胆石治療のための十二指腸乳頭部の処置(内視鏡的乳頭切開術や胆道と十二指腸との吻合術など)を受けた患者において、本剤を長期使用した際に、ウルソデオキシコール酸を主成分とする胆石の形成が報告されている。

    18. 薬効薬理

    18.1 作用機序

    ウルソデオキシコール酸は胆汁分泌を促進する作用(利胆作用)により胆汁うっ滞を改善する。また、投与されたウルソデオキシコール酸は肝臓において、細胞障害性の強い疎水性胆汁酸と置き換わり、その相対比率を上昇させ、疎水性胆汁酸の肝細胞障害作用を軽減する(置換効果)。さらに、ウルソデオキシコール酸はサイトカイン・ケモカイン産生抑制作用や肝臓への炎症細胞浸潤抑制作用により肝機能を改善する。そのほか、下記の胆石溶解作用、消化吸収改善作用が知られている1),2),3),4),5),6),7),8),9),10),11),12),13),14),15),16),17),18)

    18.2 利胆作用及び胆汁うっ滞改善作用

    1. 18.2.1 胆石摘出術後患者5例にT-チューブドレナージを設置し、本剤150mg/日を14日間経口投与したところ、肝胆汁流量は投与5日目より増加した1)
    2. 18.2.2 エストラジオール-17β-D-グルクロニド誘発急性肝内胆汁うっ滞ラットに、ウルソデオキシコール酸24及び35mg/kgを、十二指腸内投与したところ、胆汁流量の減少を抑制した2)
    3. 18.2.3 17α-エチニルエストラジオール誘発慢性肝内胆汁うっ滞ラットに、ウルソデオキシコール酸20及び60mg/kg/日を7日間投与したところ、胆汁流量の減少を抑制した2)

    18.3 肝機能改善作用

    1. 18.3.1 肝の摂取・排泄機能改善作用

      慢性肝疾患患者に本剤150mg/日を3ヵ月間経口投与し、その前後に99mTc-PMTを静注して動態解析を行ったところ、肝の摂取排泄曲線のピークタイムが有意に短縮した3)

    2. 18.3.2 動物モデルにおける肝障害抑制作用
      1. (1) コンカナバリンA誘発肝障害モデルマウスにウルソデオキシコール酸50及び150mg/kgを経口投与したところ、血中AST及びALTの上昇を抑制した。また、本モデルにウルソデオキシコール酸150mg/kgを経口投与したところ、血中TNF-α、IL-6及びMIP-2(ヒトのIL-8に相当)上昇を抑制した。さらに、肝臓において好中球浸潤の指標となるミエロペルオキシダーゼ(MPO)活性の上昇を抑制した4)
      2. (2) ケノデオキシコール酸(CDCA)誘発肝障害モデルハムスターにウルソデオキシコール酸50及び150mg/kgを経口投与したところ、血中ALTの上昇を抑制した5)
    3. 18.3.3 疎水性胆汁酸の肝細胞障害性に対する軽減作用

      ヒト肝細胞由来のChang細胞を用いたin vitro実験で、培養液中にCA、CDCAあるいはウルソデオキシコール酸を添加して細胞障害性を検討したところ、細胞障害性の強さはCDCAが最も強く、CAとウルソデオキシコール酸は同程度に弱かった。また、CDCAによる細胞障害性はウルソデオキシコール酸の添加により有意に低下した6)

    4. 18.3.4 細胞系に対するサイトカイン・ケモカイン産生抑制作用

      マウス肝非実質細胞とリンパ球を用いたin vitro試験で、コンカナバリンA添加によるTNF-α及びIL-6産生を抑制した7)。ラット肝実質細胞を用いたin vitro試験で、TNF-α添加によるRANTES産生を抑制した8)

    18.4 消化吸収改善作用

    1. 18.4.1 回腸切除患者12例に本剤150mg/日を1ヵ月間経口投与し、その前後で血中高級脂肪酸、脂溶性ビタミン濃度を測定したところ、血中リノール酸、リノレン酸、ビタミンD、Eの各濃度が上昇した9)
    2. 18.4.2 膵液分泌促進作用

      ラット及びイヌの十二指腸内に2.55×10-2Mに調製したウルソデオキシコール酸溶液2.5mL/kgを投与したところ、ラットにおいて膵液量の増加を、またイヌでは重炭酸濃度の増加及びアミラーゼなど膵酵素活性の上昇を認めた10)

    18.5 胆石溶解作用

    1. 18.5.1 胆のう胆汁のコレステロール不飽和化作用

      コレステロール系胆石症患者5例に本剤300mg/日を2ヵ月間、その後増量し、600mg/日を2ヵ月間経口投与したところ、いずれの用量においても胆のう胆汁中のコレステロールの相対比率は低下し、Lithogenic Indexの改善を認めた11)

    2. 18.5.2 液晶形成作用

      コレステロール系胆石症患者5例に本剤600mg/日を1週間経口投与し、胆のう胆汁を採取し、偏光顕微鏡で観察したところ、胆汁中に多成分型の液晶が認められ、コレステロールはこの液晶中に多量に可溶化されていた12)

    3. 18.5.3 コレステロールの腸管吸収抑制作用

      健康成人6例に本剤600mg/日を1ヵ月間経口投与したところ、腸管におけるコレステロール吸収を抑制した13)

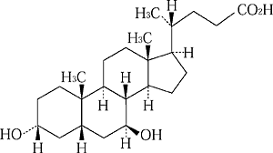
    19. 有効成分に関する理化学的知見

    一般的名称

    ウルソデオキシコール酸(Ursodeoxycholic Acid)

    化学名

    3α, 7β-Dihydroxy-5β-cholan-24-oic acid

    分子式

    C24H40O4

    分子量

    392.57

    性状

    白色の結晶又は粉末で、味は苦い。メタノール、エタノール(99.5)又は酢酸(100)に溶けやすく、水にほとんど溶けない。

    化学構造式

    融点

    201~205℃

    22. 包装

    500g

    24. 文献請求先及び問い合わせ先

    *田辺ファーマ株式会社 くすり相談センター

    〒541-8505 大阪市中央区道修町3-2-10

    電話 0120-753-280

    26. 製造販売業者等

    26.1 製造販売元

    *田辺ファーマ株式会社

    大阪市中央区道修町3-2-10

    〒100-0013 東京都千代田区霞が関3-3-2 新霞が関ビル

    画面を閉じる

    Copyright © Pharmaceuticals and Medical Devices Agency, All Rights reserved.