医療用医薬品 詳細表示

オキナゾール腟錠100mg/オキナゾール腟錠600mg

処方せん医薬品以外の医薬品

添付文書番号
企業コード
作成又は改訂年月
日本標準商品分類番号
薬効分類名
承認等
一般的名称
2.禁忌(次の患者には投与しないこと)
3.組成・性状
3.1組成
3.2製剤の性状
4.効能又は効果
6.用法及び用量
9.特定の背景を有する患者に関する注意
9.5妊婦
9.6授乳婦
11.副作用
11.2その他の副作用
14.適用上の注意
16.薬物動態
16.1血中濃度
16.3分布
16.5排泄
17.臨床成績
17.1有効性及び安全性に関する試験
18.薬効薬理
18.1作用機序
18.2抗菌作用
19.有効成分に関する理化学的知見
20.取扱い上の注意
22.包装
23.主要文献
24.文献請求先及び問い合わせ先
26.製造販売業者等

オキナゾール腟錠100mg/オキナゾール腟錠600mg

添付文書番号

2529709H1046_2_06

企業コード

400315

作成又は改訂年月

2025年12月改訂(第2版)
2021年8月改訂(第1版)

日本標準商品分類番号

872529

薬効分類名

抗真菌剤

承認等

オキナゾール腟錠100mg

販売名コード

YJコード

2529709H1046

販売名英語表記

OKINAZOLE VAGINAL TABLETS

販売名ひらがな

おきなぞーるちつじょう

承認番号等

承認番号

21800AMX10213

販売開始年月

1990年11月

貯法・有効期間

貯法

室温保存

有効期間

3年

オキナゾール腟錠600mg

販売名コード

YJコード

2529709H2042

販売名英語表記

OKINAZOLE VAGINAL TABLETS

販売名ひらがな

おきなぞーるちつじょう

承認番号等

承認番号

21800AMX10214

販売開始年月

1990年11月

貯法・有効期間

貯法

室温保存

有効期間

3年

一般的名称

オキシコナゾール硝酸塩腟錠

2. 禁忌(次の患者には投与しないこと)

  1. 2.1 本剤及び他のオキシコナゾール硝酸塩製剤に過敏な患者

3. 組成・性状

3.1 組成

オキナゾール腟錠100mg

有効成分(1錠中)オキシコナゾール硝酸塩   100mg
添加剤乳糖水和物、セルロース、ヒドロキシプロピルセルロース、ステアリン酸マグネシウム

オキナゾール腟錠600mg

有効成分(1錠中)オキシコナゾール硝酸塩   600mg
添加剤セルロース、ヒドロキシプロピルセルロース、ステアリン酸マグネシウム

3.2 製剤の性状

オキナゾール腟錠100mg

外形
大きさ長径20mm
短径12mm
厚さ約5.8mm
質量1.2g
識別コード 268
性状・剤形白色・においなし・アーモンド形の素錠

オキナゾール腟錠600mg

外形
大きさ長径20mm
短径12mm
厚さ約5.7mm
質量1.2g
識別コード 269
性状・剤形白色・においなし・アーモンド形の素錠

4. 効能又は効果

カンジダに起因する腟炎及び外陰腟炎

6. 用法及び用量

  • 〈オキナゾール腟錠100mg〉

    1日1回1錠を腟深部に挿入し、6日間継続使用する。
    なお、真菌学的効果(一次効果)が得られない場合は、オキナゾール腟錠100mgを更に1日1回1錠6日間継続使用する。

  • 〈オキナゾール腟錠600mg〉

    1週1回1錠を腟深部に挿入する。
    なお、真菌学的効果(一次効果)が得られない場合は、オキナゾール腟錠600mgを更に1回1錠使用する。

9. 特定の背景を有する患者に関する注意

9.5 妊婦

妊娠12週未満の妊婦又は妊娠している可能性のある女性には、治療上の有益性が危険性を上回ると判断される場合にのみ使用すること。

9.6 授乳婦

治療上の有益性及び母乳栄養の有益性を考慮し、授乳の継続又は中止を検討すること。

11. 副作用

次の副作用があらわれることがあるので、観察を十分に行い、異常が認められた場合には使用を中止するなど適切な処置を行うこと。

11.2 その他の副作用

0.1~5%未満

頻度不明

過敏症

発疹等

腟・外陰

発赤

刺激感、ひりひり感、そう痒感、疼痛等

14. 適用上の注意

14.1 薬剤使用時の注意

腟にのみ使用し、経口投与しないこと。

16. 薬物動態

16.1 血中濃度

  1. 16.1.1 外陰腟カンジダ症患者10例に本剤100mg腟錠を1日1回1錠6日間、また、9例に本剤600mg腟錠を1回1錠腟内投与したときの血漿中濃度は6.1~36ng/mLの範囲を示し、おおむね25ng/mL以下であった1)
  2. 16.1.2 健康女性6例に本剤100mg腟錠を1日1回1錠6日間及び本剤600mg腟錠を1回1錠腟内投与したときの血漿中濃度は、検出されないか、検出された場合でも20ng/mL以下であった1)

16.3 分布

14C-オキシコナゾール硝酸塩5mg/kgをラット(n=3)に腟内投与した時の組織内濃度は、血漿中濃度に比べて副腎、卵巣、肝、小腸、腎及び脂肪では高く、大脳、小脳、胸腺、骨格筋、羊水では低かった。投与後の組織内濃度は血漿中濃度と同様に推移し、特定の組織に残留する傾向はみられなかった。また、同様に妊娠ラットに腟内投与した時の胎児の組織内濃度は母獣の血漿中濃度とほぼ同程度であった。

16.5 排泄

14C-オキシコナゾール硝酸塩5mg/kgをラット(n=3)に腟内投与したとき、投与後336時間までに尿中に8.1%及び糞中に36.5%が排泄された。

17. 臨床成績

17.1 有効性及び安全性に関する試験

  1. 17.1.1 国内第Ⅲ相比較試験

    外陰腟カンジダ症患者を対象とした二重盲検比較試験において、本剤100mgを1日1回6日間使用したときの有効以上の有効率(1週)は95.7%(90/94例)であった。
    副作用は認められなかった2),3),4),5),6),7),8)

  2. 17.1.2 国内第Ⅲ相比較試験

    外陰腟カンジダ症患者を対象とした二重盲検比較試験において、本剤600mgを1回使用したときの有効以上の有効率(1週)は89.7%(96/107例)であった。
    副作用は認められなかった2),3),4),5),6),7),8)

18. 薬効薬理

18.1 作用機序

オキシコナゾール硝酸塩の抗真菌活性は、直接的細胞膜障害作用により発揮される。また、低濃度域での部分的発育阻止効果には、エルゴステロール合成阻害作用が関与している9),10)

18.2 抗菌作用

オキシコナゾール硝酸塩は皮膚糸状菌、酵母状真菌、二形性真菌(臨床分離株)等に対して広範囲な抗菌スペクトルを有し、そのMICは10μg/mL以下であった。
また、好気性、通性嫌気性のグラム陽性球菌及び桿菌に対しても抗菌活性を示すことが認められた9)(in vitro)。

菌種

MIC(μg/mL)

Trichophyton mentagrophytes

 0.08~0.31

Trichophyton rubrum

<0.04

Epidermophyton floccosum

<0.04

Microsporum canis

<0.04~0.31

Candida albicans

<0.04~10

Cryptococcus neoformans

<0.04~0.16

Candida glabrata

<0.04~0.16

Aspergillus niger

 0.63~1.25

Blastomyces dermatitidis

<0.04

培地:Sabouraud dextrose agar

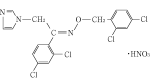
19. 有効成分に関する理化学的知見

一般的名称

オキシコナゾール硝酸塩(Oxiconazole Nitrate)

化学名

2',4'-Dichloro-2-imidazol-1-ylacetophenone(Z)-[O-(2,4-dichlorobenzyl)oxime]mononitrate

分子式

C18H13Cl4N3O・HNO3

分子量

492.14

性状

白色~微黄白色の結晶又は結晶性の粉末で、僅かに特異なにおいがある。N, N-ジメチルホルムアミドに溶けやすく、メタノールにやや溶けやすく、エタノール(95)、無水酢酸又は酢酸(100)にやや溶けにくく、水に極めて溶けにくく、ジエチルエーテルにほとんど溶けない。

化学構造式

融点

約142℃(分解).

20. 取扱い上の注意

アルミピロー開封後は遮光保存すること。

22. 包装

  • 〈オキナゾール腟錠100mg〉

    120錠[6錠(PTP)×20]

  • 〈オキナゾール腟錠600mg〉

    30錠[6錠(PTP)×5]

24. 文献請求先及び問い合わせ先

*田辺ファーマ株式会社 くすり相談センター

〒541-8505 大阪市中央区道修町3-2-10

電話 0120-753-280

26. 製造販売業者等

26.1 製造販売元

*田辺ファーマ株式会社

大阪市中央区道修町3-2-10

〒100-0013 東京都千代田区霞が関3-3-2 新霞が関ビル

画面を閉じる

Copyright © Pharmaceuticals and Medical Devices Agency, All Rights reserved.