医療用医薬品 詳細表示

オキナゾールクリーム1%/オキナゾール外用液1%

処方せん医薬品以外の医薬品

添付文書番号
企業コード
作成又は改訂年月
日本標準商品分類番号
薬効分類名
承認等
一般的名称
2.禁忌(次の患者には投与しないこと)
3.組成・性状
3.1組成
3.2製剤の性状
4.効能又は効果
6.用法及び用量
8.重要な基本的注意
11.副作用
11.2その他の副作用
14.適用上の注意
16.薬物動態
16.1血中濃度
16.2吸収
16.3分布
16.5排泄
17.臨床成績
17.1有効性及び安全性に関する試験
18.薬効薬理
18.1作用機序
18.2抗菌作用
19.有効成分に関する理化学的知見
20.取扱い上の注意
22.包装
23.主要文献
24.文献請求先及び問い合わせ先
26.製造販売業者等

オキナゾールクリーム1%/オキナゾール外用液1%

添付文書番号

2655706N1041_2_07

企業コード

400315

作成又は改訂年月

**2025年12月改訂(第3版)
2024年1月改訂(第2版)

日本標準商品分類番号

872655

薬効分類名

抗真菌剤

承認等

オキナゾールクリーム1%

販売名コード

YJコード

2655706N1041

販売名英語表記

OKINAZOLE cream

販売名ひらがな

おきなぞーるくりーむ

承認番号等

承認番号

21700AMX00186

販売開始年月

1986年1月

貯法・有効期間

貯法

室温保存

有効期間

3年

オキナゾール外用液1%

販売名コード

YJコード

2655706Q1048

販売名英語表記

OKINAZOLE solution

販売名ひらがな

おきなぞーるがいようえき

承認番号等

承認番号

21700AMX00187

販売開始年月

1987年12月

貯法・有効期間

貯法

室温保存

有効期間

3年

一般的名称

オキシコナゾール硝酸塩クリーム・外用液

2. 禁忌(次の患者には投与しないこと)

  1. 2.1 本剤の成分に対し過敏症の既往歴のある患者

3. 組成・性状

3.1 組成

オキナゾールクリーム1%

有効成分オキシコナゾール硝酸塩   1g中10mg
添加剤マクロゴール400、ステアリルアルコール、その他4成分

オキナゾール外用液1%

有効成分オキシコナゾール硝酸塩   1mL中10mg
添加剤マクロゴール400、エタノール

3.2 製剤の性状

オキナゾールクリーム1%

性状・剤形白色・僅かに特異なにおい・クリーム状軟膏

オキナゾール外用液1%

性状・剤形無色澄明・エタノールようのにおい・液

4. 効能又は効果

  • 下記の皮膚真菌症の治療
    • 白癬:足白癬、手白癬、股部白癬、体部白癬
    • カンジダ症:間擦疹、乳児寄生菌性紅斑、指間びらん症、爪囲炎、その他の皮膚カンジダ症
    • 癜風

6. 用法及び用量

1日2~3回患部に塗布する。

8. 重要な基本的注意

  • 〈外用液1%〉
    1. 8.1 乳児寄生菌性紅斑に使用する場合、アルコール性基剤(エタノール等)が局所刺激作用を有するため、注意して使用すること。

11. 副作用

次の副作用があらわれることがあるので、観察を十分に行い、異常が認められた場合には使用を中止するなど適切な処置を行うこと。

11.2 その他の副作用

0.1~5%未満

皮膚

局所の発赤、刺激感、接触皮膚炎、そう痒、局所の腫脹

14. 適用上の注意

14.1 薬剤交付時の注意

  • 〈クリーム1%〉

    基剤として使用されている油脂性成分は、コンドーム等の避妊用ラテックスゴム製品の品質を劣化・破損する可能性があるため、これらとの接触を避けさせること。

14.2 薬剤使用時の注意

  • 〈製剤共通〉
    1. 14.2.1 著しいびらん面には使用しないこと。
  • 〈外用液1%〉
    1. 14.2.2 眼科用として角膜、結膜に使用しないこと。
    2. 14.2.3 刺激を生じることがあるので、亀裂、びらん面には注意して使用すること。

16. 薬物動態

16.1 血中濃度

表在性皮膚真菌症患者23例に、本剤(クリーム剤)を7~56日間外用した場合の血漿中濃度はいずれも測定限界値(10ng/mL)以下であった1)

16.2 吸収

健康成人の正常皮膚(6例)及び損傷皮膚(6例)に14C-オキシコナゾール硝酸塩クリームを塗布した場合、オキシコナゾール硝酸塩は作用部位である皮膚角質層に大部分保持されていた(外国人のデータ)。

16.3 分布

ヒト血清蛋白結合率は85~89%であった(in vitro)。

16.5 排泄

ベンジル位を14Cで標識した硝酸オキシコナゾールを含む1%クリーム剤を健康成人の背部皮膚に塗布した時正常皮膚(6例)では、尿排泄率は120時間後までに0.2%、糞中排泄は認められなかった。
また、角質層を除去した損傷皮膚(6例)では、尿糞中には120時間後までに1例のみ4.7%が排出されたが、他は投与量の約1%以下であった2),3)(外国人のデータ)。

17. 臨床成績

17.1 有効性及び安全性に関する試験

  • 〈クリーム1%〉
    1. 17.1.1 国内第Ⅲ相比較試験

      二重盲検比較試験において、本剤を1日2回(乳児寄生菌性紅斑では1日3回以上でもよい)、2週間(足白癬では4週間)患部に塗布したときの有効以上の有効率は次のとおりであった。

      疾患

      症例数

      有効率

      白癬

      %

      足白癬

      71

      74.6

      股部白癬

      49

      89.8

      体部白癬

      53

      90.6

      手白癬

      カンジダ症

      間擦疹

      47

      93.6

      乳児寄生
      菌性紅斑

      8

      100

      指間びらん症

      爪囲炎

      その他の皮膚
      カンジダ症

      癜風

      50

      90.0

      副作用発現頻度は3.0%(9例/301例)であった。主な副作用は刺激感2.3%(7例/301例)、発赤1.3%(4例/301例)、そう痒0.7%(2例/301例)であった4),6),7),8),9),10),11),12),13),14),15)

  • 〈外用液1%〉
    1. 17.1.2 一般臨床試験

      評価対象403例における有効以上の有効率は次のとおりであった4),5),6),7),8),9),10),11),12),13),14),15)

      疾患

      症例数

      有効率

      白癬

      %

      足白癬

      114

      77.2

      股部白癬

      51

      92.2

      体部白癬

      67

      95.5

      手白癬

      10

      80.0

      カンジダ症

      間擦疹

      36

      88.9

      乳児寄生
      菌性紅斑

      19

      89.5

      指間びらん症

      33

      87.9

      爪囲炎

      10

      100

      その他の皮膚
      カンジダ症

      4

      100

      癜風

      59

      96.6

18. 薬効薬理

18.1 作用機序

オキシコナゾール硝酸塩の抗真菌活性は、直接的細胞膜障害作用により発揮される。また、低濃度域での部分的発育阻止効果には、エルゴステロール合成阻害作用が関与している16),17)

18.2 抗菌作用

オキシコナゾール硝酸塩は皮膚糸状菌、酵母状真菌、二形性真菌(臨床分離株)等に対して広範囲な抗菌スペクトルを有し、そのMICは10μg/mL以下であった。
また、好気性、通性嫌気性のグラム陽性球菌及び桿菌に対しても抗菌活性を示すことが認められた16)(in vitro)。

菌種

MIC(μg/mL)

Trichophyton mentagrophytes

 0.08~0.31

Trichophyton rubrum

<0.04

Epidermophyton floccosum

<0.04

Microsporum canis

<0.04~0.31

Candida albicans

<0.04~10

Cryptococcus neoformans

<0.04~0.16

Candida glabrata

<0.04~0.16

Aspergillus niger

 0.63~1.25

Blastomyces dermatitidis

<0.04

培地:Sabouraud dextrose agar

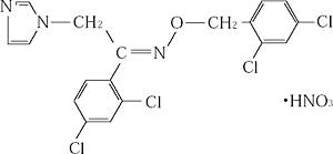
19. 有効成分に関する理化学的知見

一般的名称

オキシコナゾール硝酸塩(Oxiconazole Nitrate)

化学名

2',4'-Dichloro-2-imidazol-1-ylacetophenone(Z)-[O-(2,4-dichlorobenzyl)oxime]mononitrate

分子式

C18H13Cl4N3O・HNO3

分子量

492.14

性状

白色~微黄白色の結晶又は結晶性の粉末で、僅かに特異なにおいがある。N, N-ジメチルホルムアミドに溶けやすく、メタノールにやや溶けやすく、エタノール(95)、無水酢酸又は酢酸(100)にやや溶けにくく、水に極めて溶けにくく、ジエチルエーテルにほとんど溶けない。

化学構造式

融点

約142℃(分解).

20. 取扱い上の注意

  • *〈外用液1%〉

    火気を避けて保存すること。

22. 包装

  • 〈オキナゾールクリーム1%〉

    200g[10g(チューブ)×20]

  • 〈オキナゾール外用液1%〉

    100mL[10mL(ボトル)×10]

24. 文献請求先及び問い合わせ先

**田辺ファーマ株式会社 くすり相談センター

〒541-8505 大阪市中央区道修町3-2-10

電話 0120-753-280

26. 製造販売業者等

26.1 製造販売元

**田辺ファーマ株式会社

大阪市中央区道修町3-2-10

〒100-0013 東京都千代田区霞が関3-3-2 新霞が関ビル

画面を閉じる

Copyright © Pharmaceuticals and Medical Devices Agency, All Rights reserved.