医療用医薬品 詳細表示

カナグル錠100mg/カナグルOD錠100mg

処方せん医薬品

添付文書番号
企業コード
作成又は改訂年月
日本標準商品分類番号
薬効分類名
承認等
一般的名称
2.禁忌(次の患者には投与しないこと)
3.組成・性状
3.1組成
3.2製剤の性状
4.効能又は効果
5.効能又は効果に関連する注意
6.用法及び用量
8.重要な基本的注意
9.特定の背景を有する患者に関する注意
9.1合併症・既往歴等のある患者
9.2腎機能障害患者
9.3肝機能障害患者
9.5妊婦
9.6授乳婦
9.7小児等
9.8高齢者
10.相互作用
10.2併用注意(併用に注意すること)
11.副作用
11.1重大な副作用
11.2その他の副作用
12.臨床検査結果に及ぼす影響
13.過量投与
14.適用上の注意
15.その他の注意
15.1臨床使用に基づく情報
15.2非臨床試験に基づく情報
16.薬物動態
16.1血中濃度
16.2吸収
16.3分布
16.4代謝
16.5排泄
16.6特定の背景を有する患者
16.7薬物相互作用
17.臨床成績
17.1有効性及び安全性に関する試験
17.2製造販売後調査等
18.薬効薬理
18.1作用機序
19.有効成分に関する理化学的知見
21.承認条件
22.包装
23.主要文献
24.文献請求先及び問い合わせ先
26.製造販売業者等

カナグル錠100mg/カナグルOD錠100mg

添付文書番号

3969022F1029_1_25

企業コード

400315

作成又は改訂年月

**2025年12月改訂(第7版)
2025年5月改訂(第6版)

日本標準商品分類番号

873969

薬効分類名

SGLT2阻害剤

承認等

カナグル錠100mg

販売名コード

YJコード

3969022F1029

販売名英語表記

CANAGLU Tablets

販売名ひらがな

かなぐるじょう

承認番号等

承認番号

22600AMX00744

販売開始年月

2014年9月

貯法・有効期間

貯法

室温保存

有効期間

3年

カナグルOD錠100mg

販売名コード

YJコード

3969022F2025

販売名英語表記

CANAGLU OD Tablets

販売名ひらがな

かなぐるODじょう

承認番号等

承認番号

30600AMX00108

販売開始年月

2024年5月

貯法・有効期間

貯法

室温保存

有効期間

3年

一般的名称

カナグリフロジン水和物錠
カナグリフロジン水和物口腔内崩壊錠

2. 禁忌(次の患者には投与しないこと)

  1. 2.1 本剤の成分に対し過敏症の既往歴のある患者
  2. 2.2 重症ケトーシス、糖尿病性昏睡又は前昏睡の患者[輸液及びインスリンによる速やかな高血糖の是正が必須となるので本剤の投与は適さない。]
  3. 2.3 重症感染症、手術前後、重篤な外傷のある患者[インスリン注射による血糖管理が望まれるので本剤の投与は適さない。]

3. 組成・性状

3.1 組成

カナグル錠100mg

有効成分(1錠中)
カナグリフロジン水和物   102mg
(カナグリフロジンとして   100mg )
添加剤D-マンニトール、ヒドロキシプロピルセルロース、クロスカルメロースナトリウム、フマル酸ステアリルナトリウム、タルク、ポリビニルアルコール(部分けん化物)、マクロゴール4000、酸化チタン、黄色三二酸化鉄、三二酸化鉄

カナグルOD錠100mg

有効成分(1錠中)
カナグリフロジン水和物   102mg
(カナグリフロジンとして   100mg )
添加剤D-マンニトール、ヒドロキシプロピルセルロース、低置換度ヒドロキシプロピルセルロース、ポリビニルアルコール(完全けん化物)、クロスカルメロースナトリウム、フマル酸ステアリルナトリウム、スクラロース、黄色三二酸化鉄、香料、トコフェロール

3.2 製剤の性状

カナグル錠100mg

外形表面
裏面
側面
大きさ直径7.6mm
厚さ3.4mm
質量144.3mg
性状・剤形うすい黄色・フィルムコーティング錠

カナグルOD錠100mg

外形表面
裏面
側面
大きさ直径9.5mm
厚さ4.4mm
質量303mg
性状・剤形淡黄褐色・素錠(口腔内崩壊錠)

4. 効能又は効果

  • 2型糖尿病
  • 2型糖尿病を合併する慢性腎臓病
    ただし、末期腎不全又は透析施行中の患者を除く。

5. 効能又は効果に関連する注意

  • 〈2型糖尿病〉
    1. 5.1 本剤は2型糖尿病と診断された患者に対してのみ使用し、1型糖尿病の患者には投与をしないこと。
    2. 5.2 高度腎機能障害患者又は透析中の末期腎不全患者では本剤の血糖低下作用が期待できないため、投与しないこと。,,,
    3. 5.3 中等度腎機能障害患者では本剤の血糖低下作用が十分に得られない可能性があるので投与の必要性を慎重に判断すること。,,,,,,
    4. 5.4 本剤の適用はあらかじめ糖尿病治療の基本である食事療法、運動療法を十分に行った上で効果が不十分な場合に限り考慮すること。
  • 〈2型糖尿病を合併する慢性腎臓病〉
    1. 5.5 eGFRが30mL/min/1.73m2未満の患者では、本剤の腎保護作用が十分に得られない可能性があること、本剤投与中にeGFRが低下することがあり、腎機能障害が悪化するおそれがあることから、新規に投与しないこと。また、本剤投与中にeGFRが30mL/min/1.73m2未満に低下した場合は、投与継続の必要性を慎重に判断すること。,
    2. 5.6 「17.臨床成績」の項の内容を熟知し、臨床試験に組み入れられた患者の背景(原疾患、併用薬、腎機能等)を十分に理解した上で、慢性腎臓病に対するガイドラインにおける診断基準や重症度分類等を参考に、適応患者を選択すること。,

6. 用法及び用量

通常、成人にはカナグリフロジンとして100mgを1日1回朝食前又は朝食後に経口投与する。

8. 重要な基本的注意

  1. 8.1 本剤の使用にあたっては、患者に対し低血糖症状及びその対処方法について十分説明すること。,
  2. 8.2 本剤の利尿作用により多尿・頻尿がみられることがある。また、体液量が減少することがあるので、適度な水分補給を行うよう指導し、観察を十分行うこと。特に体液量減少を起こしやすい患者(高齢者、腎機能障害患者、利尿薬併用患者等)においては、脱水や糖尿病性ケトアシドーシス、高浸透圧高血糖症候群、脳梗塞を含む血栓・塞栓症等の発現に注意すること。,,,,
  3. 8.3 尿路感染及び性器感染を起こし、腎盂腎炎、外陰部及び会陰部の壊死性筋膜炎(フルニエ壊疽)、敗血症等の重篤な感染症に至ることがある。十分な観察を行うなど尿路感染及び性器感染の発症に注意し、発症した場合には適切な処置を行うとともに、状態に応じて休薬等を考慮すること。尿路感染及び性器感染の症状及びその対処方法について患者に説明すること。,
  4. 8.4 血糖コントロール改善を目的として使用する場合は、本剤投与中は、血糖を定期的に検査し、薬剤の効果を確かめ、本剤を3ヵ月投与しても効果が不十分な場合には他の治療法への変更を考慮すること。
  5. 8.5 本剤投与により、血清クレアチニンの上昇又はeGFRの低下がみられることがあるので、腎機能を定期的に検査すること。腎機能障害患者においては経過を十分に観察し、腎機能障害の悪化に注意すること。,,,,
  6. 8.6 血糖コントロール改善を目的として使用している患者においては、継続的にeGFRが45mL/min/1.73m2未満に低下した場合は投与の中止を検討すること。,,,
  7. 8.7 本剤の作用機序である尿中グルコース排泄促進作用により、血糖コントロールが良好であっても脂肪酸代謝が亢進し、ケトーシスがあらわれ、ケトアシドーシスに至ることがある。
    1. 8.7.1 著しい血糖の上昇を伴わない場合があるため、以下の点に留意すること。
      • 悪心・嘔吐、食欲減退、腹痛、過度な口渇、倦怠感、呼吸困難、意識障害等の症状が認められた場合には、血中又は尿中ケトン体測定を含む検査を実施すること。
      • 特に、インスリン分泌能の低下、インスリン製剤の減量や中止、過度な糖質摂取制限、食事摂取不良、感染症、脱水を伴う場合にはケトアシドーシスを発現しやすいので、観察を十分に行うこと。
      • 患者に対し、以下の点を指導すること。
        • ケトアシドーシスの症状(悪心・嘔吐、食欲減退、腹痛、過度な口渇、倦怠感、呼吸困難、意識障害等)。
        • ケトアシドーシスの症状が認められた場合には直ちに医療機関を受診すること。
        • 血糖値が高値でなくともケトアシドーシスが発現しうること。
    2. 8.7.2 本剤を含むSGLT2阻害薬の投与中止後、血漿中半減期から予想されるより長く尿中グルコース排泄及びケトアシドーシスが持続した症例が報告されているため、必要に応じて尿糖を測定するなど観察を十分に行うこと。
  8. 8.8 排尿困難、無尿、乏尿あるいは尿閉の症状を呈する患者においては、その治療を優先するとともに他剤での治療を考慮すること。
  9. 8.9 本剤投与による体重減少が報告されているため、過度の体重減少に注意すること。
  10. 8.10 低血糖症状を起こすことがあるので、高所作業、自動車の運転等に従事している患者に投与するときは注意すること。

9. 特定の背景を有する患者に関する注意

9.1 合併症・既往歴等のある患者

  1. 9.1.1 *心不全(NYHA心機能分類IV)のある患者

    使用経験が少なく、安全性が確立していない。

  2. 9.1.2 低血糖を起こすおそれのある以下の患者又は状態
    • 脳下垂体機能不全又は副腎機能不全
    • 栄養不良状態、飢餓状態、不規則な食事摂取、食事摂取量の不足又は衰弱状態
    • 激しい筋肉運動
    • 過度のアルコール摂取者

    ,

  3. 9.1.3 脱水を起こしやすい患者(血糖コントロールが極めて不良の患者、高齢者、利尿剤併用患者等)

    本剤の利尿作用により脱水を起こすおそれがある。,,

  4. 9.1.4 尿路感染、性器感染のある患者

    症状を悪化させるおそれがある。,

9.2 腎機能障害患者

  1. 9.2.1 高度腎機能障害患者又は透析中の末期腎不全患者
    • 〈2型糖尿病〉
      • 血糖コントロール改善を目的に投与しないこと。本剤の血糖低下作用が期待できない。,,,,
    • 〈2型糖尿病を合併する慢性腎臓病〉
      • eGFRが30mL/min/1.73m2未満の患者では新規に投与しないこと。また、本剤投与中にeGFRが30mL/min/1.73m2未満に低下した場合は、投与継続の必要性を慎重に判断すること。本剤の腎保護作用が十分に得られない可能性がある。また、本剤投与中にeGFRが低下することがあり、腎機能障害が悪化するおそれがある。,,
  2. 9.2.2 中等度腎機能障害患者
    • 〈2型糖尿病〉
      • 投与の必要性を慎重に判断すること。本剤の血糖低下作用が十分に得られない可能性がある。,,,,,,,

9.3 肝機能障害患者

  1. 9.3.1 高度肝機能障害患者

    これらの患者(Child-Pugh分類で合計スコア9超)を対象とした臨床試験は実施していない。

9.5 妊婦

妊婦又は妊娠している可能性のある女性には本剤を投与せず、インスリン製剤等を使用すること。動物実験(ラット)で胎児への移行が報告されており、ヒトの妊娠中期及び後期にあたる期間の曝露により、幼若動物に腎盂及び尿細管の拡張が報告されている。

9.6 授乳婦

授乳しないことが望ましい。動物実験(ラット)で乳汁中への移行が報告されており、哺育期間中に出生児の体重増加抑制や幼若動物の腎盂の拡張、尿細管の拡張が認められている。

9.7 小児等

小児等を対象とした臨床試験は実施していない。

9.8 高齢者

*患者の状態を観察しながら慎重に投与すること。一般に生理機能が低下していることが多く、脱水症状(口渇等)の認知が遅れるおそれがある。,

10. 相互作用

  • 本剤は、主としてUGT1A9及びUGT2B4により代謝される。本剤はP-糖蛋白質の基質であり、弱い阻害作用を有する。,

10.2 併用注意(併用に注意すること)

薬剤名等臨床症状・措置方法機序・危険因子
  • 糖尿病用薬
    • スルホニルウレア剤
      速効型インスリン分泌促進薬
      α-グルコシダーゼ阻害薬
      ビグアナイド系薬剤
      チアゾリジン系薬剤
      DPP-4阻害薬
      GLP-1受容体作動薬
      インスリン製剤等

低血糖症状が起こるおそれがある。特に、インスリン製剤、スルホニルウレア剤又は速効型インスリン分泌促進薬と併用する場合、低血糖のリスクが増加するおそれがあるため、これらの薬剤の減量を検討すること。

血糖降下作用が増強される。

  • 血糖降下作用を増強する薬剤
    • β-遮断剤
      サリチル酸剤
      モノアミン酸化酵素阻害剤等

血糖値その他患者の状態を十分観察しながら投与すること。

血糖降下作用が増強される。

  • 血糖降下作用を減弱する薬剤
    • アドレナリン
      副腎皮質ホルモン
      甲状腺ホルモン等

血糖値その他患者の状態を十分観察しながら投与すること。

血糖降下作用が減弱される。

ジゴキシン

本剤300mgとの併用によりジゴキシンのCmax及びAUCがそれぞれ36%及び20%上昇したとの報告があるため、適切な観察を行うこと。

本剤のP-糖蛋白質阻害作用による。

リファンピシン、フェニトイン、フェノバルビタール、リトナビル等

リファンピシンとの併用により本剤のCmax及びAUCがそれぞれ28%及び51%低下したとの報告があるため、適切な観察を行うこと。

本剤の代謝酵素であるUGT1A9及びUGT2B4をこれらの薬剤が誘導することにより、本剤の代謝が促進される。

  • 利尿作用を有する薬剤
    • ループ利尿薬
      サイアザイド系利尿薬等
  • ,,

必要に応じ利尿薬の用量を調整するなど注意すること。

左記薬剤との併用により利尿作用が増強されるおそれがある。

炭酸リチウム

リチウムの作用が減弱されるおそれがある。

血清リチウム濃度が低下する可能性がある。

11. 副作用

次の副作用があらわれることがあるので、観察を十分に行い、異常が認められた場合には投与を中止するなど適切な処置を行うこと。

11.1 重大な副作用

  1. 11.1.1 低血糖(4.8%)

    低血糖があらわれることがある。低血糖症状が認められた場合には、糖質を含む食品を摂取するなど適切な処置を行い、α-グルコシダーゼ阻害薬との併用時にはブドウ糖を投与すること。,,,,,,,

  2. 11.1.2 脱水(0.1%)

    口渇、多尿、頻尿、血圧低下等の症状があらわれ脱水が疑われる場合には、休薬や補液等の適切な処置を行うこと。脱水に引き続き脳梗塞を含む血栓・塞栓症等を発現した例が報告されている。,,,

  3. 11.1.3 ケトアシドーシス(0.1%)

    ケトアシドーシス(糖尿病性ケトアシドーシスを含む)があらわれることがある。,

  4. 11.1.4 腎盂腎炎(0.1%)、外陰部及び会陰部の壊死性筋膜炎(フルニエ壊疽)(頻度不明)、敗血症(頻度不明)

    腎盂腎炎、外陰部及び会陰部の壊死性筋膜炎(フルニエ壊疽)があらわれ、敗血症(敗血症性ショックを含む)に至ることがある。,

11.2 その他の副作用

1%以上

0.1~1%未満

0.1%未満

頻度不明

感染症および寄生虫症

尿路感染

カンジダ性亀頭炎、膀胱炎、腟感染、外陰部腟カンジダ症、真菌性性器感染、外陰腟真菌感染

細菌尿、蜂巣炎、結膜炎、性器カンジダ症、口腔カンジダ症、歯周炎、肺炎、股部白癬、外陰部炎、外陰腟炎、カンジダ感染

血液およびリンパ系障害

赤血球増加症

貧血、白血球増加症

代謝および栄養障害

無症候性低血糖

高カリウム血症、高尿酸血症、ケトーシス、食欲減退

水分過負荷、痛風、高血糖、低ナトリウム血症、血液量減少症、代謝性アシドーシス、多飲症

神経系障害

浮動性めまい、体位性めまい、頭痛

脳卒中、糖尿病性ニューロパチー、労作性めまい、味覚異常、末梢性ニューロパチー

失神

眼障害

糖尿病網膜症、網膜症

耳および迷路障害

回転性めまい

耳鳴、突発性難聴

心臓障害

狭心症、不安定狭心症、心房細動、うっ血性心不全、冠動脈疾患、動悸、頻脈、心室性期外収縮、急性冠動脈症候群

血管障害

低血圧、起立性低血圧

高血圧

呼吸器、胸郭および縦隔障害

呼吸困難

咳嗽

胃腸障害

便秘

腹部膨満、腹痛、下痢、口内乾燥、胃炎、胃食道逆流性疾患、悪心、嘔吐

腹部不快感、上腹部痛、慢性胃炎、嚥下障害、痔核、過敏性腸症候群

肝胆道系障害

肝機能異常

皮膚および皮下組織障害

湿疹、そう痒症、発疹、皮膚潰瘍、蕁麻疹、中毒性皮疹

接触皮膚炎、薬疹、全身性皮疹、皮膚病変、全身性そう痒症、糖尿病性足病変

筋骨格系および結合組織障害

筋痙縮

背部痛、筋力低下

腎および尿路障害

頻尿

排尿困難、緊張性膀胱、尿意切迫、夜間頻尿、多尿、糖尿病性腎症、腎機能障害、慢性腎臓病、急性腎障害、末期腎疾患

腎結石症、中毒性ネフロパシー、蛋白尿、尿失禁

生殖系および乳房障害

亀頭包皮炎、陰部そう痒症、外陰腟そう痒症

良性前立腺肥大症、腟分泌物、勃起不全

一般・全身障害および投与部位の状態

疲労、空腹、倦怠感、末梢性浮腫、口渇

無力症、胸部不快感、悪寒、注射部位内出血

臨床検査

血中ケトン体増加

血中クレアチニン増加、血中尿素増加、γ‒グルタミルトランスフェラーゼ増加、糸球体濾過率減少、尿中血陽性、体重減少、尿中ケトン体陽性、尿量増加

血中重炭酸塩減少、血中クレアチンホスホキナーゼ増加、血中乳酸脱水素酵素増加、血中カリウム増加、ヘマトクリット増加、赤血球数増加、尿中アルブミン/クレアチニン比増加、肝酵素上昇

傷害、中毒および処置合併症

転倒、上腕骨骨折

12. 臨床検査結果に及ぼす影響

本剤の作用機序により、本剤服用中は尿糖陽性、血清1,5-AG(1,5-アンヒドログルシトール)低値を示す。尿糖及び血清1,5-AGの検査結果は、血糖コントロールの参考とはならないので注意すること。

13. 過量投与

  1. 13.1 処置

    末期腎不全患者では、4時間の透析によってカナグリフロジンはほとんど除去されなかったとの報告がある。

14. 適用上の注意

14.1 薬剤交付時の注意

  • 〈製剤共通〉
    1. 14.1.1 PTP包装の薬剤はPTPシートから取り出して服用するよう指導すること。PTPシートの誤飲により、硬い鋭角部が食道粘膜へ刺入し、更には穿孔をおこして縦隔洞炎等の重篤な合併症を併発することがある。
  • 〈OD錠〉
    1. 14.1.2 本剤は舌の上にのせて唾液を浸潤させると崩壊するため、水なしで服用可能である。また、水で服用することもできる。
    2. 14.1.3 本剤は寝たままの状態では、水なしで服用させないこと。

15. その他の注意

15.1 臨床使用に基づく情報

海外で行われた脳・心血管疾患の既往又は高いリスクを有する、血糖コントロール不良な2型糖尿病患者を対象とした大規模臨床試験において、カナグリフロジンとして100又は300mgを1日1回投与された患者では、プラセボを投与された患者よりも、下肢切断の発現頻度が有意に高かった(ハザード比:1.97、95%信頼区間1.41-2.75)との報告がある1)。本剤の承認用量は100mg/日である。
国内及び海外で行われた2型糖尿病を合併する慢性腎臓病患者を対象とした大規模臨床試験において、カナグリフロジンとして100mgを1日1回投与された患者での下肢切断の発現頻度のプラセボ群に対するハザード比(95%信頼区間)は、1.11(95%信頼区間0.79-1.56)であった2)

15.2 非臨床試験に基づく情報

雌雄ラットを用いた2年間反復投与がん原性試験(10、30及び100mg/kg/日)において、10mg/kg/日以上の雄で精巣に間細胞腫、100mg/kg/日の雌雄で副腎に褐色細胞腫及び腎臓に尿細管腫瘍の発生頻度の増加が認められた。ラットに本剤10mg/kg/日(雄)又は100mg/kg/日(雌)を反復経口投与したときの曝露量(AUC0-24h)は、最大臨床推奨用量(1日1回100mg)の約6倍又は約84倍であった。

16. 薬物動態

16.1 血中濃度

  1. 16.1.1 単回投与

    2型糖尿病患者に、カナグリフロジンとして100mgを食事10分前に単回経口投与したときの血漿中濃度推移及び薬物動態パラメータは以下のとおりである3)

    (平均値+標準偏差、n=12)

    Cmax(ng/mL)

    AUC0-∞(ng・h/mL)

    tmax(h)

    t1/2(h)

    1126(228)

    6561(1305)

    1.0(1.0-1.5)

    10.2(1.9)

    n=12、平均値(標準偏差)、tmaxは中央値(最小値-最大値)

  2. 16.1.2 反復投与

    2型糖尿病患者に、カナグリフロジンとして100mgを1日1回14日間反復経口投与したときの薬物動態パラメータは以下のとおりであり、反復投与開始後4日目までに定常状態に達するものと考えられた3)

    Cmax(ng/mL)

    AUC0-24h(ng・h/mL)

    tmax(h)

    t1/2(h)

    1136(330)

    6635(1367)

    1.0(1.0-1.5)

    11.8(3.2)

    n=12、平均値(標準偏差)、tmaxは中央値(最小値-最大値)

  3. 16.1.3 生物学的同等性試験

    健康成人に、カナグルOD錠100mg(水なしで服用及び水で服用)とカナグル錠100mg〔普通錠〕を絶食単回経口投与したときのカナグリフロジンの血漿中濃度推移及び薬物動態パラメータは以下のとおりであり、両製剤の生物学的同等性が確認された4)

    1. (1) 水なしで服用(普通錠:水で服用)
      (平均値+標準偏差、n=46)

      投与製剤

      Cmax(ng/mL)

      AUC0-72h(ng・h/mL)

      tmax(h)

      t1/2(h)

      カナグルOD錠100mg

      1386(283)

      8539(1479)

      2.0(1.0-4.0)

      10.5(2.2)

      カナグル錠100mg〔普通錠〕

      1320(274)

      8529(1531)

      2.0(1.0-5.0)

      10.8(2.5)

      n=46、平均値(標準偏差)、tmaxは中央値(最小値-最大値)

    2. (2) 水で服用
      (平均値+標準偏差、n=21)

      投与製剤

      Cmax(ng/mL)

      AUC0-72h(ng・h/mL)

      tmax(h)

      t1/2(h)

      カナグルOD錠100mg

      1391(342)

      8618(1220)

      2.0(1.0-5.0)

      11.9(4.3)

      カナグル錠100mg〔普通錠〕

      1443(343)

      8342(1135)

      2.0(1.0-5.0)

      11.3(2.4)

      n=21、平均値(標準偏差)、tmaxは中央値(最小値-最大値)

16.2 吸収

  1. 16.2.1 バイオアベイラビリティ

    健康成人(9例)に、カナグリフロジンとして300mgを単回経口投与したときの絶対的バイオアベイラビリティは約65%であった5)(外国人のデータ)。

  2. 16.2.2 食事の影響

    健康成人に、カナグリフロジンとして200mgを空腹時又は食事10分後(食後投与)に単回経口投与したときのCmax及びAUC0-∞の幾何平均値の比(食後/空腹時)とその90%信頼区間は、0.843[0.790, 0.900]及び0.977[0.945, 1.011]であった。空腹時と比較して、カナグリフロジンのtmaxの中央値は食後投与で約1.0時間延長した6)

    Cmax(ng/mL)

    AUC0-∞(ng・h/mL)

    tmax(h)

    空腹時

    2026(458)

    15316(3135)

    2.0(1.0-5.0)

    食後

    1740(435)

    15140(3572)

    3.0(1.5-5.0)

    n=22~24、平均値(標準偏差)、tmaxは中央値(最小値-最大値)

16.3 分布

カナグリフロジンのヒト血漿蛋白結合率は約98%であった7)(in vitro、限外ろ過法)。

16.4 代謝

  1. 16.4.1 健康成人(外国人、6例)に、[14C]標識カナグリフロジン192mgを単回経口投与したとき、投与後24時間までの血漿中総放射能に占める未変化体及び代謝物の割合は、カナグリフロジン(45.4~98.7%)、グルクロン酸抱合代謝物M5(1.9~29.6%)及びM7(16.0~28.8%)及び酸化代謝物M9(2.42~3.70%)であった8)
  2. 16.4.2 ヒトにおけるカナグリフロジンのグルクロン酸抱合代謝には、主にUGT1A9及びUGT2B4が、酸化代謝には主にCYP3A4、次いでCYP2D6が関与した。CYP2B6、CYP2C8、CYP2C9及びCYP3A4に対して弱い阻害作用を示したが(IC50値:16、75、80及び27μmol/L)、CYP1A2、CYP2A6、CYP2C19、CYP2D6及びCYP2E1に対して阻害作用を示さなかった。また、いずれのCYP分子種に対しても時間依存的阻害作用を示さず、CYP1A2、CYP2B6、CYP3A4、CYP2C9及びCYP2C19を誘導しなかった。UGT1A1及びUGT1A6に対して弱い阻害作用を示したが(IC50値:91及び50μmol/L)、UGT1A4、UGT1A9及びUGT2B7に対して阻害作用を示さなかった9)(in vitro)。

16.5 排泄

  1. 16.5.1 健康成人(外国人、6例)に、[14C]標識カナグリフロジン192mgを単回経口投与したとき、投与後168時間までに、投与された放射能の32.5%が尿中に、60.4%が糞中に排泄された。投与後48時間までの尿中にカナグリフロジンは認められず、M5(13.3%)及びM7(17.2%)が認められた。また、糞中には、カナグリフロジン(41.5%)、M7(3.2%)及びM9(7.0%)が認められた8)
  2. 16.5.2 カナグリフロジンはP-糖蛋白質、多剤耐性関連蛋白質2(MRP2)及び乳がん耐性蛋白質(BCRP)の基質であり、P-糖蛋白質及び多剤耐性関連蛋白質2に対して弱い阻害作用(IC50値:19.3μmol/L及び21.5μmol/L)を示した10)(in vitro)。

16.6 特定の背景を有する患者

  1. 16.6.1 腎機能障害者
    1. (1) 腎機能障害を伴う2型糖尿病患者

      中等度腎機能障害を伴う2型糖尿病患者に、カナグリフロジンとして100mgを単回経口投与したとき、カナグリフロジンのAUC0-∞は腎機能正常2型糖尿病患者と比較して約26%上昇した。また、腎機能正常及び中等度腎機能障害を伴う2型糖尿病患者における投与後24時間までの累積尿中グルコース排泄量のベースラインからの変化量(平均値[95%信頼区間])は86.592g[75.612, 97.572]及び61.017g[49.362, 72.671]であった11),

      腎機能障害の程度

      n

      Cmax
      (ng/mL)

      AUC0-∞
      (ng・h/mL)

      正常腎機能患者

      12

      1214(338)

      6929(1734)

      中等度腎機能障害を伴う2型糖尿病患者(eGFR 30~49mL/min/1.73m2

      12

      1197(311)

      8766(2551)

      正常腎機能患者との幾何平均値の比(%)[90%信頼区間]

      98[82, 117]

      126[106, 149]

      平均値(標準偏差)

    2. (2) 腎機能障害者

      腎機能障害者に、カナグリフロジンとして200mgを単回経口投与したとき、軽度腎機能障害者、中等度腎機能障害者及び高度腎機能障害者のカナグリフロジンのCmaxは正常腎機能者と比較して、それぞれ約27%、約9%及び約10%低下した。また、AUC0-∞は正常腎機能者と比較して、それぞれ約15%、約29%及び約53%高かった。末期腎不全患者では、4時間の透析によってカナグリフロジンはほとんど除去されなかった。,,,,
      また、正常腎機能者と軽度、中等度及び高度腎機能障害者における投与後24時間までの累積尿中グルコース排泄量のベースラインからの変化量(調整済み平均値)は、53.04、38.32、17.11及び4.27gであった11)(外国人のデータ)。

      腎機能障害の程度

      n

      Cmax
      (ng/mL)

      AUC0-∞
      (ng・h/mL)

      正常腎機能者

      3

      1880(475)

      14862(5380)

      軽度腎機能障害者(eGFR 60~89mL/min/1.73m2

      10

      1469(669)

      17172(6075)

      正常腎機能者との幾何平均値の比(%)[90%信頼区間]

      73[50, 108]

      115[84, 159]

      中等度腎機能障害者(eGFR 30~59mL/min/1.73m2

      9

      1717(427)

      18715(4504)

      正常腎機能者との幾何平均値の比(%)[90%信頼区間]

      91[61, 134]

      129[93, 178]

      高度腎機能障害者(eGFR 15~29mL/min/1.73m2

      10

      1746(665)

      22304(5566)

      正常腎機能者との幾何平均値の比(%)[90%信頼区間]

      90[61, 133]

      153[111, 211]

      末期腎不全患者(透析後)

      8

      1287(277)

      13587(3216)

      正常腎機能者との幾何平均値の比(%)[90%信頼区間]

      69[52, 90]

      94[67, 131]

      末期腎不全患者(透析前)

      8

      1433(509)

      14205(3648)

      正常腎機能者との幾何平均値の比(%)[90%信頼区間]

      75[52, 107]

      97[67, 141]

      平均値(標準偏差)

  2. 16.6.2 肝機能障害者

    肝機能障害者に、カナグリフロジンとして300mgを単回経口投与したとき、軽度肝機能障害者(Child-Pugh分類で合計スコア5~6)及び中等度肝機能障害者(Child-Pugh分類で合計スコア7~9)のカナグリフロジンのCmaxは正常肝機能者と比較して、それぞれ約7%の上昇と約4%の低下が認められた。また、AUC0-∞は正常肝機能者と比較して、それぞれ約10%及び約11%高かった12)(外国人のデータ)。なお、高度肝機能障害者(Child-Pugh分類で合計スコア9超)での臨床試験は行われていない。

    肝機能障害の程度

    n

    Cmax
    (ng/mL)

    AUC0-∞
    (ng・h/mL)

    正常肝機能者

    8a)

    2844(794)

    24632(7132)

    軽度肝機能障害者

    8

    3038(670)

    27162(8609)

    正常肝機能者との幾何平均値の比(%)[90%信頼区間]

    107[84, 137]

    110[86, 140]

    中等度肝機能障害者

    8

    2810(1037)

    26866(5788)

    正常肝機能者との幾何平均値の比(%)[90%信頼区間]

    96[75, 122]

    111[87, 141]

    平均値(標準偏差)、a)AUC0-∞はn=7

  3. 16.6.3 高齢者における薬物動態

    2型糖尿病患者を対象とした用量設定試験から、高齢者(65歳以上、71~73例)と非高齢者(65歳未満、217~225例)において用量補正した血漿中カナグリフロジン濃度のトラフ値及び投与12週後のAUC0-2.17hを比較した。その結果、高齢者のトラフ濃度の平均値は非高齢者よりも約10~30%高い値を示した13)

16.7 薬物相互作用

  1. 16.7.1 カナグリフロジンの薬物動態に及ぼす影響
    1. (1) リファンピシン
      表 カナグリフロジンの薬物動態に及ぼすリファンピシンの影響14)(外国人のデータ)

      併用薬

      併用薬用量

      カナグリフロジン用量

      カナグリフロジンの薬物動態パラメータ
      幾何平均値の比[90%信頼区間]
      併用/単独

      Cmax

      AUC0-∞

      リファンピシン

      600mg

      300mg

      0.72
      [0.61-0.84]

      0.49
      [0.44-0.54]

    2. (2) その他の薬剤

      テネリグリプチン注)、メトホルミン、シクロスポリン、プロベネシド、経口避妊薬(エチニルエストラジオール及びレボノルゲストレル)及びヒドロクロロチアジドは、いずれもカナグリフロジンとの併用投与による明らかな影響は認められなかった14)(外国人のデータ)。

  2. 16.7.2 併用薬の薬物動態に及ぼす影響
    1. (1) ジゴキシン
      表 ジゴキシンの薬物動態に及ぼすカナグリフロジンの影響14)(外国人のデータ)

      併用薬

      併用薬用量

      カナグリフロジン用量

      併用薬の薬物動態パラメータ
      幾何平均値の比[90%信頼区間]
      併用/単独

      Cmax

      AUC0-24h

      ジゴキシン

      0.25mg

      300mg

      1.36
      [1.21-1.53]

      1.20
      [1.12-1.28]

    2. (2) その他の薬剤

      テネリグリプチン注)、グリベンクラミド(グリブリド)、メトホルミン、経口避妊薬(エチニルエストラジオール及びレボノルゲストレル)、ヒドロクロロチアジド、シンバスタチン、アセトアミノフェン及びワルファリンカリウムは、いずれもカナグリフロジンとの併用投与による明らかな影響は認められなかった14)(外国人のデータ)。

注)テネリグリプチンは日本人のデータ
本剤の承認用量は100mg/日である。

17. 臨床成績

17.1 有効性及び安全性に関する試験

  1. 17.1.1 単独療法
    1. (1) 国内第Ⅲ相試験(プラセボ対照二重盲検比較試験:検証的試験)

      食事療法及び運動療法で血糖コントロールが不十分な2型糖尿病患者(271例)を対象に、カナグリフロジンとして100mg、200mg又はプラセボを1日1回24週間投与した。結果は次表のとおりであった。24週時における投与前からの体重変化率(調整済み平均値±標準誤差)は、プラセボ投与群(93例)で-0.76±0.35%、カナグリフロジン100mg投与群(90例)で-3.76±0.35%であった。
      低血糖の副作用発現割合は、プラセボ群で1.1%(1例/93例)、カナグリフロジン100mg群で1.1%(1例/90例)であった15),16)

      表 プラセボ対照二重盲検比較試験(24週時)の結果

      プラセボ
      n=93

      カナグリフロジン100mg
      n=90

      投与前

      投与前からの変化量

      投与前

      投与前からの変化量

      プラセボとの変化量の差

      HbA1c(%)

      8.04±0.70

      0.29±0.07

      7.98±0.73

      -0.74±0.07

      -1.03±0.10
      [-1.23, -0.83]

      空腹時血糖(mg/dL)

      163.0±32.6

      3.7±2.7

      157.7±35.7

      -31.6±2.8

      -35.3±3.9
      [-43.0, -27.6]

      糖負荷後2時間血糖(mg/dL)

      303.0±66.4

      -0.5±5.8

      311.7±72.4

      -84.9±5.4

      -84.4±8.0
      [-100.1, -68.7]

      投与前:平均値±標準偏差、投与前からの変化量及びプラセボとの変化量の差:調整済み平均値±標準誤差 p<0.001、[ ]は両側95%信頼区間、HbA1c:NGSP値

    2. (2) 国内第Ⅲ相試験(長期投与試験)

      食事療法及び運動療法で血糖コントロールが不十分な2型糖尿病患者(379例)を対象に、カナグリフロジンとして100mg又は200mgを1日1回52週間投与した。結果は次表のとおりであった。投与前からの体重変化率(平均値±標準偏差)は、カナグリフロジン100mg投与群(127例)で-4.42±3.06%であった。
      低血糖の副作用発現割合は3.9%(5例/127例)であった17),18)

      表 長期投与試験(52週時)の結果

      カナグリフロジン100mg
      n=127

      投与前

      投与前からの変化量

      HbA1c(%)

      7.84±0.71

      -0.80±0.70
      [-0.92, -0.67]

      平均値±標準偏差、[ ]は両側95%信頼区間、HbA1c:NGSP値

      また、腎機能別の結果は次表のとおりであった。,

      表 腎機能別の長期投与(52週時)の結果

      カナグリフロジン100mg

      腎機能正常患者
      (eGFR 90mL/min/1.73m2以上)
      n=42

      軽度腎機能障害患者
      (eGFR 60mL/min/1.73m2以上90mL/min/1.73m2未満)
      n=77

      中等度腎機能障害患者
      (eGFR 45mL/min/1.73m2以上60mL/min/1.73m2未満)
      n=8

      HbA1c(%)

      投与前

      8.01±0.69

      7.73±0.73

      7.96±0.37

      投与前からの変化量

      -1.02±0.62
      [-1.21, -0.83]

      -0.68±0.74
      [-0.85, -0.51]

      -0.74±0.26
      [-0.95, -0.52]

      平均値±標準偏差、[ ]は両側95%信頼区間、HbA1c:NGSP値

  2. 17.1.2 国内第Ⅲ相試験(他の経口血糖降下薬との併用療法:長期投与試験)

    食事療法及び運動療法に加えて経口血糖降下薬で血糖コントロールが不十分な2型糖尿病患者(918例)を対象に、カナグリフロジンとして100mg又は200mgを1日1回52週間投与した。結果は次表のとおりであった。
    低血糖の副作用発現割合は、スルホニルウレア剤併用で16.1%(20例/124例)、速効型インスリン分泌促進薬併用で4.6%(3例/65例)、α-グルコシダーゼ阻害薬併用で0.0%(0例/62例)、ビグアナイド系薬剤併用で5.6%(4例/72例)、チアゾリジン系薬剤併用で4.8%(3例/63例)、DPP-4阻害薬併用で2.8%(2例/71例)であった17),18)

    表 長期投与試験(52週時)の結果

    併用薬

    カナグリフロジン100mg

    HbA1c(%)

    スルホニルウレア剤

    n

    124

    投与前

    8.18±0.99

    投与前からの変化量

    -0.96±0.69
    [-1.08, -0.84]

    速効型インスリン分泌促進薬

    n

    65

    投与前

    8.25±0.91

    投与前からの変化量

    -1.06±1.01
    [-1.31, -0.81]

    α-グルコシダーゼ阻害薬

    n

    62

    投与前

    8.02±0.84

    投与前からの変化量

    -0.91±0.81
    [-1.11, -0.70]

    ビグアナイド系薬剤

    n

    72

    投与前

    7.87±0.75

    投与前からの変化量

    -0.87±0.63
    [-1.02, -0.73]

    チアゾリジン系薬剤

    n

    63

    投与前

    8.10±1.04

    投与前からの変化量

    -1.04±0.88
    [-1.26, -0.82]

    DPP-4阻害薬

    n

    71

    投与前

    8.19±0.85

    投与前からの変化量

    -1.04±0.76
    [-1.22, -0.86]

    平均値±標準偏差、[ ]は両側95%信頼区間、HbA1c:NGSP値

    また、腎機能別の結果は次表のとおりであった。,

    表 腎機能別の長期投与(52週時)のHbA1c(%)の結果

    カナグリフロジン100mg

    腎機能正常患者
    (eGFR 90mL/min/1.73m2以上)

    軽度腎機能障害患者
    (eGFR 60mL/min/1.73m2以上90mL/min/1.73m2未満)

    中等度腎機能障害患者
    (eGFR 45mL/min/1.73m2以上60mL/min/1.73m2未満)

    併用療法

    n

    158

    279

    20

    投与前

    8.31±0.96

    8.01±0.87

    7.87±0.91

    投与前からの変化量

    -1.08±0.95
    [-1.23, -0.93]

    -0.93±0.67
    [-1.01, -0.85]

    -0.76±0.89
    [-1.17, -0.34]

    併用薬別

    スルホニルウレア剤

    n

    23

    98

    3

    投与前

    8.12±0.92

    8.19±1.01

    8.17±1.32

    投与前からの変化量

    -0.86±0.85
    [-1.22, -0.49]

    -0.98±0.65
    [-1.11, -0.85]

    -1.00±0.92
    [-3.28, 1.28]

    速効型インスリン分泌促進薬

    n

    34

    26

    5

    投与前

    8.41±0.95

    8.11±0.78

    7.92±1.20

    投与前からの変化量

    -1.10±1.20
    [-1.51, -0.68]

    -1.02±0.64
    [-1.28, -0.76]

    -1.00±1.37
    [-2.71, 0.71]

    α-グルコシダーゼ阻害薬

    n

    22

    36

    4

    投与前

    8.24±0.97

    7.94±0.76

    7.55±0.64

    投与前からの変化量

    -1.02±0.77
    [-1.36, -0.68]

    -0.91±0.82
    [-1.19, -0.64]

    -0.25±0.82
    [-1.55, 1.05]

    ビグアナイド系薬剤

    n

    30

    40

    2

    投与前

    8.17±0.78

    7.61±0.59

    8.65±1.34

    投与前からの変化量

    -1.02±0.65
    [-1.26, -0.77]

    -0.78±0.61
    [-0.97, -0.58]

    -0.65±0.64
    [-6.37, 5.07]

    チアゾリジン系薬剤

    n

    21

    39

    3

    投与前

    8.53±1.27

    7.93±0.85

    7.27±0.32

    投与前からの変化量

    -1.27±1.15
    [-1.79, -0.74]

    -0.94±0.71
    [-1.17, -0.71]

    -0.70±0.30
    [-1.45, 0.05]

    DPP-4阻害薬

    n

    28

    40

    3

    投与前

    8.36±0.92

    8.09±0.81

    7.97±0.32

    投与前からの変化量

    -1.21±0.93
    [-1.57, -0.85]

    -0.92±0.60
    [-1.11, -0.73]

    -0.90±0.87
    [-3.05, 1.25]

    平均値±標準偏差、[ ]は両側95%信頼区間、HbA1c:NGSP値

  3. 17.1.3 海外第Ⅲ相試験(腎機能障害を伴う2型糖尿病患者を対象とした二重盲検比較試験)

    食事療法及び運動療法もしくは食事療法及び運動療法に加えて経口血糖降下薬で血糖コントロールが不十分、かつ、中等度(eGFR 30mL/min/1.73m2以上50mL/min/1.73m2未満)の腎機能障害を伴う2型糖尿病患者(269例)を対象に、カナグリフロジン又はプラセボを1日1回26週間投与した。結果は次表のとおりであった19)
    低血糖の副作用発現割合はプラセボ投与群で2.2%(2例/90例)、カナグリフロジン100mg群で7.8%(7例/90例)であった(外国人のデータ)。,

    表 プラセボ対照二重盲検比較試験(26週時)の結果

    プラセボ
    n=87

    カナグリフロジン100mg
    n=88

    投与前

    投与前からの変化量

    投与前

    投与前からの変化量

    プラセボとの変化量の差

    HbA1c(%)

    8.02±0.917

    -0.03±0.090

    7.89±0.898

    -0.33±0.090

    -0.30±0.117
    [-0.529, -0.066]

    投与前:平均値±標準偏差、投与前からの変化量及びプラセボとの変化量の差:調整済み平均値±標準誤差、p=0.012、[ ]は両側95%信頼区間、HbA1c:NGSP値

  4. 17.1.4 国際共同第Ⅲ相試験(2型糖尿病を合併する慢性腎臓病患者を対象としたプラセボ対照二重盲検比較試験)

    eGFRが30~90mL/min/1.73m2、UACRが300~5000mg/gCr、かつACE阻害薬又はARBを服用している、2型糖尿病を合併する慢性腎臓病患者(4401例)を対象に、カナグリフロジン又はプラセボを1日1回、115週間(平均値)投与した(本剤群2202例(日本人57例)、プラセボ群2199例(日本人53例))。結果は次表のとおりであった。なお、非糖尿病性の腎臓病と診断された患者は除外された。また、本剤投与中にeGFRが30mL/min/1.73m2未満に低下した場合も本剤投与を継続可とした。
    副作用は本剤群2200例中469例(21.3%)及びプラセボ群2197例中361例(16.4%)に認められた。主な副作用は低血糖が本剤群100例(4.5%)及びプラセボ群92例(4.2%)、尿路感染が本剤群80例(3.6%)及びプラセボ群49例(2.2%)、高カリウム血症が本剤群35例(1.6%)及びプラセボ群24例(1.1%)、血中クレアチニン増加が本剤群30例(1.4%)及びプラセボ群20例(0.9%)、糸球体濾過率減少が本剤群22例(1.0%)及びプラセボ群21例(1.0%)であった2)

    表 国際共同第Ⅲ相試験の結果

    カナグリフロジン100mg
    n=2202

    プラセボ
    n=2199

    ハザード比a)
    [95%信頼区間]

    p値

    複合エンドポイント

    43.2/1000人年(245例:血清クレアチニンの倍化74例、ESRDb)への進展79例、腎死0例、心血管死92例)

    61.2/1000人年(340例:血清クレアチニンの倍化122例、ESRDb)への進展101例、腎死1例、心血管死116例)

    0.70
    [0.59, 0.82]

    <0.0001

    a)スクリーニング時のeGFR(mL/min/1.73m2)(30以上45未満、45以上60未満、60以上90未満)を層別因子とした層別Cox比例ハザードモデルにより推定、両側有意水準0.022
    b)eGFR<15mL/min/1.73m2、慢性透析療法又は腎臓移植
    eGFR:推算糸球体濾過量、ESRD:末期腎不全、UACR:尿中アルブミン/クレアチニン比

    図 主要評価項目の初回発現のKaplan-Meierプロット
  5. 17.1.5 国内第Ⅲ相試験(2型糖尿病を合併する慢性腎臓病患者を対象としたプラセボ対照二重盲検比較試験)

    eGFRが30~90mL/min/1.73m2、UACRが300~5000mg/gCr、かつACE阻害薬又はARBを服用している、2型糖尿病で糖尿病性腎症第3期(顕性腎症期)の患者(308例)を対象に、カナグリフロジン又はプラセボを1日1回104週間投与した。結果は次表のとおりであった。なお、非糖尿病性の腎臓病と診断された患者は除外された。また、本剤投与中にeGFRが30mL/min/1.73m2未満に低下した場合も本剤投与を継続可とした。
    副作用は本剤群154例中35例(22.7%)及びプラセボ群154例中31例(20.1%)に認められた。主な副作用は低血糖が本剤群13例(8.4%)及びプラセボ群10例(6.5%)、血中ブドウ糖減少が本剤群13例(8.4%)及びプラセボ群7例(4.5%)、頻尿が本剤群4例(2.6%)及びプラセボ群0例、血中ケトン体増加が本剤群3例(1.9%)及びプラセボ群2例(1.3%)であった20)

    表 国内第Ⅲ相試験の結果

    評価項目

    カナグリフロジン100mg
    n=154

    プラセボ
    n=154

    eGFR30%低下発生割合(%)a)

    18.2

    29.5

    群間差 [95%信頼区間]b)

    11.3 [1.2, 21.5]

    a)Multiple imputation法により欠測を補完したため、達成した被験者数は提示していない。
    b)Farrington-Manning法

17.2 製造販売後調査等

  1. 17.2.1 製造販売後臨床試験(インスリン製剤との併用療法:プラセボ対照二重盲検比較試験及び長期継続投与試験)

    食事療法及び運動療法に加えてインスリン製剤(混合型、中間型又は持効型溶解のいずれか1剤を使用、加えて超速効型又は速効型のうち1剤を併用可、1日投与量は8単位以上60単位以下)で血糖コントロールが不十分なeGFR 45mL/min/1.73m2以上の2型糖尿病患者(146例)を対象に、カナグリフロジンとして100mg又はプラセボを1日1回16週間投与した。結果は次表のとおりであった。
    低血糖の副作用発現割合はプラセボ投与群で15.5%(11例/71例)、カナグリフロジン100mg群で18.7%(14例/75例)であった21),22)

    表 インスリン製剤併用プラセボ対照二重盲検比較試験(16週時)の結果

    プラセボ
    n=70

    カナグリフロジン100mg
    n=76

    プラセボとの変化量の差

    投与前

    投与前からの変化量

    投与前

    投与前からの変化量

    -1.10±0.11
    [-1.33, -0.87]

    HbA1c(%)

    8.85±0.84

    0.13±0.08

    8.89±0.81

    -0.97±0.08

    投与前:平均値±標準偏差、投与前からの変化量及びプラセボとの変化量の差:調整済み平均値±標準誤差 p<0.001、[ ]は両側95%信頼区間、HbA1c:NGSP値

    長期継続投与試験において、カナグリフロジンとして100mgを最大52週間継続投与した。二重盲検比較試験時のカナグリフロジン群(76例)の52週時における本剤投与前からのHbA1c(NGSP値)変化量(平均値±標準偏差)は、-0.88±0.86%であった。
    低血糖の副作用発現割合は、29.3%(22例/75例)であった23)

  2. 17.2.2 製造販売後臨床試験(GLP-1受容体作動薬との併用療法:長期投与試験)

    食事療法及び運動療法に加えてGLP-1受容体作動薬(リラグルチド)で血糖コントロールが不十分なeGFR 45mL/min/1.73m2以上の2型糖尿病患者(71例)を対象に、カナグリフロジンとして100mgを1日1回52週間投与した。52週時における本剤投与前からのHbA1c(NGSP値)の変化量(平均値±標準偏差)は、-0.70±0.82%であった。
    低血糖の副作用発現割合は9.9%(7例/71例)であった24)

本剤の承認用量は100mg/日である。

18. 薬効薬理

18.1 作用機序

ナトリウム-グルコース共輸送体2(SGLT2)は腎臓で近位尿細管に限局して分布しており、糸球体ろ過されたグルコースの大部分を血液中に再吸収させる役割を担っている25)。カナグリフロジンは、SGLT2を選択的に阻害し、腎臓でのグルコース再吸収を抑制することで、血中に過剰に存在するグルコースを尿糖として排泄し血糖低下作用を発揮する。また、ナトリウム再吸収抑制により遠位尿細管へのナトリウム送達が増加すると、尿細管糸球体フィードバックの破綻で上昇した糸球体内圧が低下し、過剰ろ過による尿中アルブミン排泄増加を抑制すると考えられる26),27)。加えて、ポドサイトの脱落抑制やメサンギウム領域拡大の抑制、尿細管での低酸素ストレス軽減による腎の炎症抑制等、複合的な要因により、長期的な腎保護作用に働くことが推定される28)

18.2 SGLT2阻害作用

カナグリフロジンはヒトSGLT2を選択的に阻害する(IC50値:4.2nmol/L)29)(in vitro)。

18.3 腎糖再吸収阻害作用

2型糖尿病モデルであるZucker Diabetic Fatty(ZDF)ラットにおいて、カナグリフロジンは単回経口投与により、腎糖再吸収阻害率の上昇及び尿中グルコース排泄量の増加を示した29)。2型糖尿病患者にカナグリフロジンとして100mgを単回経口投与したとき、腎糖再吸収阻害率の上昇及び尿中グルコース排泄量の増加が認められた3)
※腎糖再吸収量(糸球体グルコースろ過量と尿中グルコース排泄量の差)の媒体投与群に対する阻害率

18.4 糖代謝改善作用

ZDFラットにおいて、カナグリフロジンは単回経口投与により、血糖低下作用を示した29)
同モデルにおいて、カナグリフロジンは4週間反復経口投与により、HbA1c低下作用を示した。反復投与後の経口糖負荷試験では、血糖値上昇の抑制が認められた30)
2型糖尿病患者にカナグリフロジンとして100mgを1日1回24週間反復経口投与したとき、HbA1cの低下及び食後高血糖の改善がみられた15)

18.5 尿中アルブミン量低下作用

2型糖尿病モデルでアルブミン尿を呈するdb/dbマウスへのカナグリフロジン0.003w/w%の12週間混餌投与により、尿中アルブミン排泄量の経時的増加を抑制した31)

19. 有効成分に関する理化学的知見

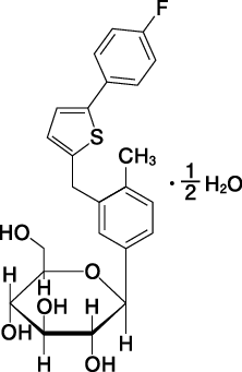
一般的名称

カナグリフロジン水和物(Canagliflozin Hydrate)

化学名

(1S)-1,5-Anhydro-1-C-(3-{[5-(4-fluorophenyl)thiophen-2-yl]methyl}-4-methylphenyl)-D-glucitol hemihydrate

分子式

C24H25FO5S・1/2H2O

分子量

453.52

性状

白色~微黄白色の粉末である。

化学構造式

融点

101.7℃

21. 承認条件

医薬品リスク管理計画を策定の上、適切に実施すること。

22. 包装

  • カナグル錠100mg

    100錠[10錠(PTP)×10]、500錠[10錠(PTP)×50]、140錠[14錠(PTP)×10]、500錠[バラ]

  • カナグルOD錠100mg

    100錠[10錠(PTP)×10]

23. 主要文献

1) Neal B, et al.:N Engl J Med. 2017;377(7):644-657

2) Perkovic V, et al.:N Engl J Med. 2019;380(24):2295-2306

3) 田辺ファーマ(株):2型糖尿病患者を対象とした臨床薬理試験(社内資料)(2014年7月4日承認、CTD2.7.6.12)

4) 田辺ファーマ(株):健康成人を対象としたOD錠及び普通錠の生物学的同等性試験(社内資料)(2024年3月15日承認、CTD2.7.6.1)

5) 田辺ファーマ(株):絶対バイオアベイラビリティ検討試験(社内資料)(2014年7月4日承認、CTD2.7.6.2)

6) 田辺ファーマ(株):健康成人を対象とした食事の影響試験(社内資料)(2014年7月4日承認、CTD2.7.6.1)

7) 田辺ファーマ(株):蛋白結合に関する検討(社内資料)(2014年7月4日承認、CTD2.6.4.4.2)

8) 田辺ファーマ(株):マスバランス試験(社内資料)(2014年7月4日承認、CTD2.7.6.11)

9) 田辺ファーマ(株):代謝に関する検討(社内資料)(2014年7月4日承認、CTD2.6.4.5.5、2.6.4.7.1)

10) 田辺ファーマ(株):トランスポーターに関する検討(社内資料)(2014年7月4日承認、CTD2.6.4.7.2)

11) 田辺ファーマ(株):腎機能障害者における薬物動態試験(社内資料)(2014年7月4日承認、CTD2.7.6.14)

12) 田辺ファーマ(株):肝機能障害者における薬物動態試験(社内資料)(2014年7月4日承認、CTD2.7.6.15)

13) 田辺ファーマ(株):第Ⅱ相用量設定試験(社内資料)(2014年7月4日承認、CTD2.7.6.41)

14) 田辺ファーマ(株):薬物相互作用試験(社内資料)(2014年7月4日承認、CTD2.7.2.2.3.2、2.7.2.2.5.1)

15) Inagaki N, et al.:Expert Opin Pharmacother. 2014;15(11):1501-1515

16) 田辺ファーマ(株):2型糖尿病患者を対象とした検証的試験(社内資料)(2014年7月4日承認、CTD2.7.6.42)

17) Inagaki N, et al.:J Diabetes Investig. 2015;6(2):210-218

18) 田辺ファーマ(株):2型糖尿病患者を対象とした長期投与試験(社内資料)(2014年7月4日承認、CTD2.7.6.53)

19) Yale JF, et al.:Diabetes obes metab. 2013;15(5):463-473

20) 田辺ファーマ(株):2型糖尿病における糖尿病性腎症第3期の患者を対象とした長期投与試験(社内資料)(2022年6月20日承認、CTD2.5)

21) 田辺ファーマ(株):インスリン製剤併用試験:二重盲検比較試験(社内資料)

22) Inagaki N, et al.:Cardiovasc Diabetol. 2016;15:89

23) 田辺ファーマ(株):インスリン製剤併用試験:長期投与試験(社内資料)

24) 田辺ファーマ(株):GLP-1受容体作動薬併用試験:長期投与試験(社内資料)

25) Mather A, Pollock C,:Kidney int. 2011;79(Suppl. 120):S1-S6

26) Heerspink HJL, et al.:Kidney Int. 2018;94:26-39

27) 金崎啓造:日腎会誌 2019;61(4):465‒471

28) DeFronzo RA, et al.:Nat Rev Nephrol. 2021;17(5):319-334

29) Kuriyama C, et al.:J Pharmacol Exp Ther. 2014;351(2):423-431

30) 田辺ファーマ(株):in vitro及びin vivo薬理作用(社内資料)(2014年7月4日承認、CTD2.6.2.2.1、2.6.2.2.2)

31) 田辺ファーマ(株):糖尿病性腎症モデルマウスにおける薬理作用(社内資料)(2022年6月20日承認、CTD2.6.2.2.2)

24. 文献請求先及び問い合わせ先

**田辺ファーマ株式会社 くすり相談センター

〒541-8505 大阪市中央区道修町3-2-10

電話 0120-753-280

26. 製造販売業者等

26.1 **製造販売元

田辺ファーマ株式会社

大阪市中央区道修町3-2-10

〒100-0013 東京都千代田区霞が関3-3-2 新霞が関ビル

画面を閉じる

Copyright © Pharmaceuticals and Medical Devices Agency, All Rights reserved.