医療用医薬品 詳細表示

ヒアルロン酸Na0.4眼粘弾剤1%「アルコン」/ヒアルロン酸Na0.6眼粘弾剤1%「アルコン」/ヒアルロン酸Na0.7眼粘弾剤1%「アルコン」/ヒアルロン酸Na0.85眼粘弾剤1%「アルコン」

処方せん医薬品以外の医薬品

添付文書番号
企業コード
作成又は改訂年月
日本標準商品分類番号
薬効分類名
承認等
一般的名称
3.組成・性状
3.1組成
3.2製剤の性状
4.効能・効果
6.用法・用量
8.重要な基本的注意
9.特定の背景を有する患者に関する注意
9.1合併症・既往歴等のある患者
11.副作用
11.2その他の副作用
14.適用上の注意
16.薬物動態
16.3分布
17.臨床成績
17.1有効性及び安全性に関する試験
18.薬効薬理
18.1作用機序
19.有効成分に関する理化学的知見
20.取扱い上の注意
22.包装
23.主要文献
24.文献請求先及び問い合わせ先
25.保険給付上の注意
26.製造販売業者等

ヒアルロン酸Na0.4眼粘弾剤1%「アルコン」/ヒアルロン酸Na0.6眼粘弾剤1%「アルコン」/ヒアルロン酸Na0.7眼粘弾剤1%「アルコン」/ヒアルロン酸Na0.85眼粘弾剤1%「アルコン」

添付文書番号

1319720Q1180_1_02

企業コード

400487

作成又は改訂年月

2023年11月作成(第1版)

日本標準商品分類番号

871319

薬効分類名

眼科手術補助剤

承認等

ヒアルロン酸Na0.4眼粘弾剤1%「アルコン」

販売名コード

YJコード

1319720Q1180

販売名英語表記

Hyaluronate Na 0.4 Ophthalmic Viscoelastic Substance 1%「Alcon」

販売名ひらがな

ひあるろんさんNa0.4がんねんだんざい1%「あるこん」

承認番号等

承認番号

30100AMX00384

販売開始年月

1995年8月

貯法・有効期間

貯法

凍結を避け、2~8℃で保存

有効期間

3年

ヒアルロン酸Na0.6眼粘弾剤1%「アルコン」

販売名コード

YJコード

1319720Q7251

販売名英語表記

Hyaluronate Na 0.6 Ophthalmic Viscoelastic Substance 1%「Alcon」

販売名ひらがな

ひあるろんさんNa0.6がんねんだんざい1%「あるこん」

承認番号等

承認番号

30100AMX00385

販売開始年月

2013年8月

貯法・有効期間

貯法

凍結を避け、2~8℃で保存

有効期間

3年

ヒアルロン酸Na0.7眼粘弾剤1%「アルコン」

販売名コード

YJコード

1319720Q6093

販売名英語表記

Hyaluronate Na 0.7 Ophthalmic Viscoelastic Substance 1%「Alcon」

販売名ひらがな

ひあるろんさんNa0.7がんねんだんざい1%「あるこん」

承認番号等

承認番号

30100AMX00386

販売開始年月

1998年8月

貯法・有効期間

貯法

凍結を避け、2~8℃で保存

有効期間

3年

ヒアルロン酸Na0.85眼粘弾剤1%「アルコン」

販売名コード

YJコード

1319720Q8231

販売名英語表記

Hyaluronate Na 0.85 Ophthalmic Viscoelastic Substance 1%「Alcon」

販売名ひらがな

ひあるろんさんNa0.85がんねんだんざい1%「あるこん」

承認番号等

承認番号

30100AMX00387

販売開始年月

2003年9月

貯法・有効期間

貯法

凍結を避け、2~8℃で保存

有効期間

3年

一般的名称

精製ヒアルロン酸ナトリウム

3. 組成・性状

3.1 組成

ヒアルロン酸Na0.4眼粘弾剤1%「アルコン」

有効成分1mL中
日局 精製ヒアルロン酸ナトリウム   10mg
添加剤無水リン酸一水素ナトリウム、リン酸二水素ナトリウム一水和物、pH調節剤2成分、等張化剤

ヒアルロン酸Na0.6眼粘弾剤1%「アルコン」

有効成分1mL中
日局 精製ヒアルロン酸ナトリウム   10mg
添加剤無水リン酸一水素ナトリウム、リン酸二水素ナトリウム一水和物、pH調節剤2成分、等張化剤

ヒアルロン酸Na0.7眼粘弾剤1%「アルコン」

有効成分1mL中
日局 精製ヒアルロン酸ナトリウム   10mg
添加剤無水リン酸一水素ナトリウム、リン酸二水素ナトリウム一水和物、pH調節剤2成分、等張化剤

ヒアルロン酸Na0.85眼粘弾剤1%「アルコン」

有効成分1mL中
日局 精製ヒアルロン酸ナトリウム   10mg
添加剤無水リン酸一水素ナトリウム、リン酸二水素ナトリウム一水和物、pH調節剤2成分、等張化剤

3.2 製剤の性状

ヒアルロン酸Na0.4眼粘弾剤1%「アルコン」

pH7.0~7.5
浸透圧比0.9~1.3
(生理食塩液に対する比)
極限粘度25~45(dL/g)
色調・性状無色澄明の粘稠な液

ヒアルロン酸Na0.6眼粘弾剤1%「アルコン」

pH7.0~7.5
浸透圧比0.9~1.3
(生理食塩液に対する比)
極限粘度25~45(dL/g)
色調・性状無色澄明の粘稠な液

ヒアルロン酸Na0.7眼粘弾剤1%「アルコン」

pH7.0~7.5
浸透圧比0.9~1.3
(生理食塩液に対する比)
極限粘度25~45(dL/g)
色調・性状無色澄明の粘稠な液

ヒアルロン酸Na0.85眼粘弾剤1%「アルコン」

pH7.0~7.5
浸透圧比0.9~1.3
(生理食塩液に対する比)
極限粘度25~45(dL/g)
色調・性状無色澄明の粘稠な液

4. 効能・効果

白内障手術・眼内レンズ挿入術・全層角膜移植術における手術補助

6. 用法・用量

  • 白内障手術・眼内レンズ挿入術を連続して施行する場合には、通常0.2~0.75mLを前房内へ注入する。また、眼内レンズのコーティングに約0.1mL使用する。ただし、白内障手術又は眼内レンズ挿入術のみを施行する場合には、以下のとおりとする。
    白内障手術:通常0.1~0.4mLを前房内へ注入する。
    眼内レンズ挿入術:眼内レンズ挿入前に、通常0.1~0.5mLを前房内へ注入する。また、眼内レンズのコーティングに約0.1mL使用する。
  • 全層角膜移植術:移植眼の角膜片を除去後に、通常0.1~0.6mLを前房内へ注入し、移植片角膜を本剤上に浮遊させて縫合を行う。また、提供眼の移植片角膜のコーティングに約0.1mL使用する。

8. 重要な基本的注意

  1. 8.1 注意深く、ゆっくりと注入すること。
  2. 8.2 過量に注入しないこと。術後の眼圧上昇の原因となる可能性がある。
  3. 8.3 超音波乳化吸引術を行う前に吸引灌流を行い、水晶体と本剤との間に灌流液で満たした空間を作ること。空間が不十分なまま超音波乳化吸引を行うとチップの閉塞により、灌流不全となり角膜熱傷を起こすことがある。
  4. 8.4 特に手術直後は、注意深く眼圧を観察すること。もし眼圧上昇があらわれた場合は適切な処置を行うこと。
  5. 8.5 手術後、できるだけ洗浄等により本剤を除去することが望ましい。

9. 特定の背景を有する患者に関する注意

9.1 合併症・既往歴等のある患者

  1. 9.1.1 本剤の成分又は蛋白系薬剤に対し過敏症の既往歴のある患者

    治療上やむを得ないと判断される場合を除き、投与しないこと。

11. 副作用

次の副作用があらわれることがあるので、観察を十分に行い、異常が認められた場合には投与を中止するなど適切な処置を行うこと。

11.2 その他の副作用

5%以上

頻度不明

眼圧上昇

炎症反応、嚢胞様黄斑浮腫、角膜浮腫、角膜混濁、前房出血、虹彩新生血管、虹彩後癒着、結膜癒着不全、水晶体混濁、散瞳、浅前房、疼痛、霧視、かゆみ

その他

眼内レンズ表面の混濁

14. 適用上の注意

14.1 薬剤使用時の注意

  1. 14.1.1 本剤は冷所に保存するので、使用に先立って室温に30分以上保つことが望ましい。
  2. 14.1.2 本剤の使用にあたっては、付属のカニューレを使用し、カニューレがシリンジに完全に装着したことを確認してから使用すること。装着が完全でないと、使用中にカニューレが外れ重大な事故が起こるおそれがある。
  3. 14.1.3 本剤の有効成分である精製ヒアルロン酸ナトリウムは、ベンザルコニウム塩化物等の第4級アンモニウム塩及びクロルヘキシジンにより沈殿を生じることがあるので十分注意すること。
  4. 14.1.4 本剤の開封後の使用は1回限りとし、残液は容器とともに廃棄すること。

16. 薬物動態

16.3 分布

サル前房内にフルオレセインで標識したヒアルロン酸ナトリウム1.29%溶液を0.2mL投与(同容量の房水と置換)したところ、前房内より投与後12時間までは緩やかな減少を示し、26~30時間でほぼ消失した1)

17. 臨床成績

17.1 有効性及び安全性に関する試験

  1. 17.1.1 国内臨床試験(眼内レンズ挿入術)

    比較試験を含む本剤の臨床試験において、術後4週目の有効性及び安全性を指標とした有用率は98.7%(76/77)であった2)。また、鶏冠抽出ヒアルロン酸ナトリウムを原薬とする同種同効製剤と同等の臨床的有効性、安全性および有用性を示すことが確認された2)
    副作用として、眼圧上昇3.5%(3/86)が報告された2)

  2. 17.1.2 国内臨床試験(全層角膜移植術)

    本剤の一般臨床試験において、術後12週目の有効性及び安全性を指標とし、手術の容易性を加味した有用率は100%(22/22)であった3)
    副作用として、眼圧上昇4.0%(1/25)が報告された3)

18. 薬効薬理

18.1 作用機序

ヒアルロン酸ナトリウム溶液が持つ、高い粘弾性による前房形成能と、その粘弾性により手術器具、眼内レンズ等による機械的侵襲から眼内組織を保護する角膜内皮保護能を持つ。

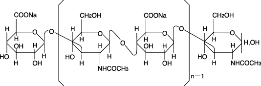
19. 有効成分に関する理化学的知見

一般的名称

精製ヒアルロン酸ナトリウム(Purified Sodium Hyaluronate)

分子式

(C14H20NNaO11)n

分子量

平均分子量 150万~390万

性状

精製ヒアルロン酸ナトリウムは白色の粉末、粒又は繊維状の塊である。
水にやや溶けにくく、エタノール(99.5)にほとんど溶けない。吸湿性である。

化学構造式

精製ヒアルロン酸ナトリウムの一次構造式

20. 取扱い上の注意

本剤への気泡の混入を防ぐため、包装の表示に従って保存すること。また、外箱開封後は遮光して保存すること。

22. 包装

医薬品注入器入り
0.4mL×1筒
0.6mL×1筒
0.7mL×1筒
0.85mL×1筒
専用ディスポーザブルカニューレ27G(滅菌済)1個

24. 文献請求先及び問い合わせ先

日本アルコン株式会社 お問い合わせ窓口

〒105-6333 東京都港区虎ノ門1-23-1

電話番号:0120-825-266
受付時間:9:00~17:30(土、日、祝日、社休日を除く)

25. 保険給付上の注意

  • [0.85mL製剤の保険適用上の取扱い]

    本製剤は、連続して行われる白内障手術及び眼内レンズ挿入術に伴って使用される場合に限り算定できるものであること。(令和2年6月18日付保医発0618第3号厚生労働省保険局医療課長通知)

26. 製造販売業者等

26.1 製造販売元(輸入元)

日本アルコン株式会社

東京都江東区東陽7-5-8



  • 【本剤の使用法】
    • 1. 無菌的操作でブリスターパックからふたをはがす。
    • 2. シリンジ先端部についているキャップをはずす。(キャップはきつくしまっている)
    • 3. カニューレハブに本剤又は眼灌流液を注入し、カニューレハブ上端までいっぱいに充填する。
    • 4. シリンジ筒を片手で持ち、もう一方の手でプランジャーロッドを押しながらシリンジ先端部から空気を抜く。本剤がシリンジ先端部から漏れないように注意すること。
    • 5. カニューレカートリッジをねじりながらカニューレをシリンジ筒に装着する。その際、カニューレがしっかりと固定されるまでねじりこむ。
      なお、添付のカニューレのみを使用すること。
    • 6. カニューレとシリンジ筒の接続部分が完全に装着されていることを目で見て確認する。
    • 7. カニューレからカニューレカートリッジをまっすぐに抜く。カートリッジを抜く際にカニューレをひねったり、ねじって緩めたりしないよう注意する。
    • 8. シリンジを縦にしてカニューレロック用リングの穴にカニューレの針を通す。
    • 9. カニューレロック用リングを右回り(時計回り)に回してシリンジにしっかり固定する。
    • 10. 空気を完全に取り除くために、シリンジを片手で持ち、もう一方の手で本剤が先端から出てくるまでプランジャーロッドをゆっくりと押す。

〒100-0013 東京都千代田区霞が関3-3-2 新霞が関ビル

画面を閉じる

Copyright © Pharmaceuticals and Medical Devices Agency, All Rights reserved.