医療用医薬品 詳細表示

アンブロキソール塩酸塩錠15mg「タイヨー」

処方せん医薬品以外の医薬品

添付文書番号
企業コード
作成又は改訂年月
日本標準商品分類番号
薬効分類名
承認等
一般的名称
2.禁忌(次の患者には投与しないこと)
3.組成・性状
3.1組成
3.2製剤の性状
4.効能又は効果
6.用法及び用量
9.特定の背景を有する患者に関する注意
9.5妊婦
9.6授乳婦
9.8高齢者
11.副作用
11.1重大な副作用
11.2その他の副作用
14.適用上の注意
16.薬物動態
16.1血中濃度
16.2吸収
16.4代謝
16.5排泄
18.薬効薬理
18.1作用機序
19.有効成分に関する理化学的知見
20.取扱い上の注意
22.包装
23.主要文献
24.文献請求先及び問い合わせ先
26.製造販売業者等

アンブロキソール塩酸塩錠15mg「タイヨー」

添付文書番号

2239001F1475_1_12

企業コード

400813

作成又は改訂年月

2025年9月改訂(第3版)
2024年10月改訂(第2版)

日本標準商品分類番号

872239

薬効分類名

気道潤滑去痰剤

承認等

アンブロキソール塩酸塩錠15mg「タイヨー」

販売名コード

YJコード

2239001F1475

販売名英語表記

Ambroxol Hydrochloride Tablets “TAIYO”

販売名ひらがな

あんぶろきそーるえんさんえんじょう15mg「たいよー」

承認番号等

承認番号

21900AMX00175

販売開始年月

1992年7月

貯法・有効期間

貯法

室温保存

有効期間

3年

一般的名称

アンブロキソール塩酸塩錠

2. 禁忌(次の患者には投与しないこと)

本剤の成分に対し過敏症の既往歴のある患者

3. 組成・性状

3.1 組成

アンブロキソール塩酸塩錠15mg「タイヨー」

有効成分1錠中:アンブロキソール塩酸塩   15mg
添加剤乳糖水和物、結晶セルロース、ヒドロキシプロピルセルロース、ステアリン酸マグネシウム

3.2 製剤の性状

アンブロキソール塩酸塩錠15mg「タイヨー」

外形
大きさ直径7.0mm
厚さ2.3mm
質量120mg
識別コードt 291
色・剤形白色の片面1/2割線入り素錠

4. 効能又は効果

  • 下記疾患の去痰
    • 急性気管支炎、気管支喘息、慢性気管支炎、気管支拡張症、肺結核、塵肺症、手術後の喀痰喀出困難
  • 慢性副鼻腔炎の排膿

6. 用法及び用量

通常、成人には、1回1錠(アンブロキソール塩酸塩として15.0mg)を1日3回経口投与する。
なお、年齢・症状により適宜増減する。

9. 特定の背景を有する患者に関する注意

9.5 妊婦

妊婦又は妊娠している可能性のある女性には、治療上の有益性が危険性を上回ると判断される場合にのみ投与すること。

9.6 授乳婦

治療上の有益性及び母乳栄養の有益性を考慮し、授乳の継続又は中止を検討すること。動物実験(ラット)で母乳中へ移行することが報告されている。

9.8 高齢者

減量するなど注意すること。一般に生理機能が低下している。

11. 副作用

次の副作用があらわれることがあるので、観察を十分に行い、異常が認められた場合には投与を中止するなど適切な処置を行うこと。

11.1 重大な副作用

  1. 11.1.1 ショック、アナフィラキシー(いずれも頻度不明)

    発疹、顔面浮腫、呼吸困難、血圧低下等があらわれることがある。

  2. 11.1.2 皮膚粘膜眼症候群(Stevens-Johnson症候群)(頻度不明)

11.2 その他の副作用

0.1~5%未満

0.1%未満

頻度不明

消化器

胃不快感

胃痛、腹部膨満感、腹痛、下痢、嘔気、嘔吐、便秘、食思不振、消化不良(胃部膨満感、胸やけ等)

過敏症

発疹、蕁麻疹、蕁麻疹様紅斑、そう痒

血管浮腫(顔面浮腫、眼瞼浮腫、口唇浮腫等)

肝臓

肝機能障害(AST上昇、ALT上昇等)

その他

口内しびれ感、上肢のしびれ感

めまい

注)発現頻度は錠、液、シロップ及び徐放カプセルの承認時までの臨床試験及び使用成績調査を含む。

14. 適用上の注意

14.1 薬剤交付時の注意

PTP包装の薬剤はPTPシートから取り出して服用するよう指導すること。PTPシートの誤飲により、硬い鋭角部が食道粘膜へ刺入し、更には穿孔をおこして縦隔洞炎等の重篤な合併症を併発することがある。

16. 薬物動態

16.1 血中濃度

  1. 16.1.1 生物学的同等性試験

    アンブロキソール塩酸塩錠15mg「タイヨー」とムコソルバン錠15mgをクロスオーバー法により、健康成人男子にそれぞれ1錠(アンブロキソール塩酸塩として15mg)を絶食単回経口投与して血清中未変化体濃度を測定し、得られた薬物動態パラメータ(AUC、Cmax)について統計解析を行った結果、両剤の生物学的同等性が確認された1)

    判定パラメータ

    参考パラメータ

    AUC0-24
    (ng・h/mL)

    Cmax
    (ng/mL)

    Tmax
    (h)

    T1/2
    (h)

    アンブロキソール塩酸塩錠15mg「タイヨー」

    158.0±34.9

    18.1±2.4

    2.3±0.7

    6.0±2.4

    ムコソルバン錠15mg

    162.2±19.8

    18.0±3.7

    2.4±0.8

    6.3±2.1

    (平均±標準偏差、n=10)

    血清中濃度並びにAUC、Cmax等のパラメータは、被験者の選択、体液の採取回数・時間等の試験条件によって異なる可能性がある。

16.2 吸収

健康成人男子に単回経口投与したとき、消化管から速やかかつ良好に吸収された。血漿中の未変化体濃度は、投与後2~4時間でピークに到達し、その後比較的速やかに減少した2)
連続的に経口投与したときの血漿中未変化体濃度の推移は、単回投与の場合とほぼ一致し、連続投与によっても血中薬物動態の変化は認められなかった2)

16.4 代謝

健康成人男子の血漿中では、未変化体、未変化体の抱合体が認められ、尿中では主として未変化体の抱合体及びN-脱アルキル化代謝物が認められた。また、尿中にホルミル化閉環代謝物が微量検出された2)

16.5 排泄

健康成人男子に経口投与すると、投与後72時間までに尿中へ未変化体及びその抱合体が56~74%排泄された2)

18. 薬効薬理

18.1 作用機序

アンブロキソール塩酸塩は、気管・気管支領域において、肺表面活性物質の分泌促進作用、気道液の分泌促進作用、線毛運動亢進作用が総合的に作用して喀痰喀出効果を示すものと考えられる。この際、肺表面活性物質の役割としては、線毛の存在しない肺胞や呼吸細気管支を含め気道中の粘性物質を排出しやすくするものと考えられている3),4),5),6),7)
また、副鼻腔領域においては、病的副鼻腔分泌の正常化作用、線毛運動亢進作用が総合的に作用して慢性副鼻腔炎の排膿を促進するものと考えられる8),9)

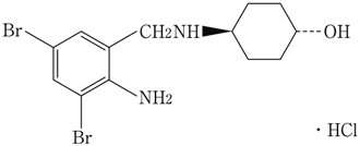
19. 有効成分に関する理化学的知見

一般的名称

アンブロキソール塩酸塩(Ambroxol Hydrochloride)

化学名

trans-4-[(2-amino-3,5-dibromobenzyl)amino]cyclohexanol hydrochloride

分子式

C13H18Br2N2O・HCl

分子量

414.56

性状

白色の結晶性の粉末で、においはなく、わずかに特異な味がある。メタノールにやや溶けやすく、水又はエタノール(99.5)にやや溶けにくく、酢酸(100)に溶けにくく、ジエチルエーテルにほとんど溶けない。

化学構造式

20. 取扱い上の注意

PTP包装は外箱開封後、バラ包装はアルミ袋開封後、遮光して保存すること。

22. 包装

100錠[10錠(PTP)×10]、1200錠[アルミ袋、バラ、乾燥剤入り]

24. 文献請求先及び問い合わせ先

*T'sファーマ株式会社 ティーズDIセンター

*〒451-0045 名古屋市西区名駅二丁目27番8号

TEL 0120-923-093
受付時間 9:00~17:30(土日祝日・弊社休業日を除く)

26. 製造販売業者等

26.1 製造販売元

*T'sファーマ株式会社

*名古屋市西区名駅二丁目27番8号

26.2 販売

武田薬品工業株式会社

大阪市中央区道修町四丁目1番1号

〒100-0013 東京都千代田区霞が関3-3-2 新霞が関ビル

画面を閉じる

Copyright © Pharmaceuticals and Medical Devices Agency, All Rights reserved.