医療用医薬品 詳細表示

カルブロック錠8mg/カルブロック錠16mg

処方せん医薬品

添付文書番号
企業コード
作成又は改訂年月
日本標準商品分類番号
薬効分類名
承認等
一般的名称
2.禁忌(次の患者には投与しないこと)
3.組成・性状
3.1組成
3.2製剤の性状
4.効能又は効果
6.用法及び用量
8.重要な基本的注意
9.特定の背景を有する患者に関する注意
9.2腎機能障害患者
9.3肝機能障害患者
9.5妊婦
9.6授乳婦
9.7小児等
9.8高齢者
10.相互作用
10.1併用禁忌(併用しないこと)
10.2併用注意(併用に注意すること)
11.副作用
11.1重大な副作用
11.2その他の副作用
14.適用上の注意
15.その他の注意
15.1臨床使用に基づく情報
16.薬物動態
16.1血中濃度
16.2吸収
16.3分布
16.4代謝
16.5排泄
16.6特定の背景を有する患者
16.7薬物相互作用
17.臨床成績
17.1有効性及び安全性に関する試験
18.薬効薬理
18.1作用機序
19.有効成分に関する理化学的知見
20.取扱い上の注意
22.包装
23.主要文献
24.文献請求先及び問い合わせ先
26.製造販売業者等

カルブロック錠8mg/カルブロック錠16mg

添付文書番号

2149043F1020_2_17

企業コード

430574

作成又は改訂年月

**2026年3月改訂(第5版)
2025年3月改訂(第4版)

日本標準商品分類番号

872149

薬効分類名

持続性Ca拮抗剤

承認等

カルブロック錠8mg

販売名コード

YJコード

2149043F1020

販売名英語表記

CALBLOCK TABLETS

販売名ひらがな

かるぶろっくじょう8mg

承認番号等

承認番号

21500AMZ00030

販売開始年月

2003年5月

貯法・有効期間

貯法

室温保存

有効期間

3年

基準名

日本薬局方

アゼルニジピン錠

カルブロック錠16mg

販売名コード

YJコード

2149043F2026

販売名英語表記

CALBLOCK TABLETS

販売名ひらがな

かるぶろっくじょう16mg

承認番号等

承認番号

21500AMZ00031

販売開始年月

2003年5月

貯法・有効期間

貯法

室温保存

有効期間

3年

基準名

日本薬局方

アゼルニジピン錠

一般的名称

アゼルニジピン

2. 禁忌(次の患者には投与しないこと)

  1. 2.1 妊婦又は妊娠している可能性のある女性
  2. 2.2 本剤の成分に対し過敏症の既往歴のある患者
  3. 2.3 **,*イトラコナゾール、ミコナゾール(経口剤、注射剤、口腔用剤)、フルコナゾール、ホスフルコナゾール、ボリコナゾール、ポサコナゾール、HIVプロテアーゼ阻害剤(リトナビル含有製剤、ダルナビル含有製剤)、コビシスタット含有製剤、ニルマトレルビル・リトナビル、エンシトレルビル フマル酸、クラリスロマイシン、セリチニブを投与中の患者,

3. 組成・性状

3.1 組成

カルブロック錠8mg

有効成分1錠中
アゼルニジピン(日局)   8.0mg
添加剤D-マンニトール、カルメロースカルシウム、低置換度ヒドロキシプロピルセルロース、炭酸水素ナトリウム、ポリソルベート80、メタケイ酸アルミン酸マグネシウム、軽質無水ケイ酸、ヒドロキシプロピルセルロース、タルク、ステアリン酸マグネシウム

カルブロック錠16mg

有効成分1錠中   アゼルニジピン(日局)16.0mg
添加剤D-マンニトール、カルメロースカルシウム、低置換度ヒドロキシプロピルセルロース、炭酸水素ナトリウム、ポリソルベート80、メタケイ酸アルミン酸マグネシウム、軽質無水ケイ酸、ヒドロキシプロピルセルロース、タルク、ステアリン酸マグネシウム

3.2 製剤の性状

カルブロック錠8mg

剤形素錠(割線入)
色調淡黄白色
外形表面
裏面
側面
大きさ直径8.2mm
厚さ約2.6mm
質量約160mg
識別コードSANKYO
241

カルブロック錠16mg

剤形素錠(割線入)
色調淡黄白色
外形表面
裏面
側面
大きさ直径9.2mm
厚さ約3.3mm
質量約260mg
識別コードSANKYO
242

4. 効能又は効果

高血圧症

6. 用法及び用量

通常、成人にはアゼルニジピンとして8~16mgを1日1回朝食後経口投与する。なお、1回8mgあるいは更に低用量から投与を開始し、症状により適宜増減するが、1日最大16mgまでとする。

8. 重要な基本的注意

  1. 8.1 カルシウム拮抗剤の投与を急に中止したとき、症状が悪化した症例が報告されているので、本剤の休薬を要する場合は徐々に減量すること。また、患者に医師の指示なしに服薬を中止しないように注意すること。
  2. 8.2 まれに過度の血圧低下を起こすおそれがあるので、そのような場合には減量又は休薬するなど適切な処置を行うこと。
  3. 8.3 降圧作用に基づくめまい等があらわれることがあるので、高所作業、自動車の運転等危険を伴う機械を操作する際には注意させること。

9. 特定の背景を有する患者に関する注意

9.2 腎機能障害患者

  1. 9.2.1 重篤な腎機能障害のある患者

    降圧に伴い腎機能が低下する可能性がある。

9.3 肝機能障害患者

  1. 9.3.1 重篤な肝機能障害のある患者

    重篤な肝機能障害のある患者を対象とした臨床試験は実施していない。

9.5 妊婦

妊婦又は妊娠している可能性のある女性には投与しないこと。動物実験(ラット)で妊娠前~初期の投与において着床前及び着床後胚死亡率の増加、出生児の体重低下、妊娠期間及び分娩時間の延長が認められている。妊娠末期の投与において妊娠期間及び分娩時間の延長が認められている。

9.6 授乳婦

治療上の有益性及び母乳栄養の有益性を考慮し、授乳の継続又は中止を検討すること。動物実験(ラット)で乳汁中へ移行することが報告されている。

9.7 小児等

小児等を対象とした臨床試験は実施していない。

9.8 高齢者

8mgあるいは更に低用量から投与を開始し、慎重に投与すること。一般に過度の降圧は好ましくないとされている。脳梗塞等が起こるおそれがある。

10. 相互作用

  • 本剤は、主としてチトクロームP450 3A4(CYP3A4)で代謝される。

10.1 併用禁忌(併用しないこと)

薬剤名等臨床症状・措置方法機序・危険因子

*以下のアゾール系抗真菌剤

  • イトラコナゾール(イトリゾール)、ミコナゾール(経口剤、注射剤、口腔用剤)(フロリード、オラビ)、フルコナゾール(ジフルカン)、ホスフルコナゾール(プロジフ)、ボリコナゾール(ブイフェンド)、ポサコナゾール(ノクサフィル)

,

アゼルニジピン8mgとイトラコナゾール50mg1)との併用により本剤のAUCが2.8倍に上昇することが報告されている。

これらの薬剤がCYP3A4を阻害し、本剤のクリアランスが低下すると考えられる。

**,*HIVプロテアーゼ阻害剤

  • リトナビル含有製剤(ノービア、カレトラ)、ダルナビル含有製剤(プリジスタ、プレジコビックス、シムツーザ)

*コビシスタット含有製剤

  • ゲンボイヤ、プレジコビックス、シムツーザ

ニルマトレルビル・リトナビル

  • パキロビッド

エンシトレルビル フマル酸

  • ゾコーバ

本剤の作用が増強されるおそれがある。

これらの薬剤がCYP3A4を阻害し、本剤のクリアランスが低下すると考えられる。

**クラリスロマイシン

  • クラリス、クラリシッド

本剤の作用が増強されるおそれがある。

これらの薬剤がCYP3A4を阻害し、本剤のクリアランスが低下すると考えられる。

**セリチニブ

  • ジカディア

本剤の作用が増強されるおそれがある。

これらの薬剤がCYP3A4を阻害し、本剤のクリアランスが低下すると考えられる。

1) 低用量のイトラコナゾールとの併用試験結果に基づく。イトラコナゾールの用量は、イトラコナゾールの電子添文を参照すること。

10.2 併用注意(併用に注意すること)

薬剤名等臨床症状・措置方法機序・危険因子

他の降圧剤

過度の降圧が起こるおそれがある。必要があれば他の降圧剤あるいは本剤を減量すること。

作用メカニズムの異なる降圧剤の併用により薬理作用が増強される。

ジゴキシン

ジゴキシンのCmaxが1.5倍、AUCが1.3倍に上昇することが報告されている。必要があればジゴキシンを減量すること。

ジゴキシンの腎排泄(尿細管分泌)及び腎外からの排泄を阻害するためと考えられる。

*アゾール系抗真菌剤(併用禁忌の薬剤又はそれ以外の外用剤を除く)

  • ホスラブコナゾール等

本剤の作用が増強されるおそれがある。必要があれば本剤を減量又は中止、あるいはこれらの薬剤の投与を中止すること。

これらの薬剤がCYP3A4を阻害し、本剤のクリアランスが低下すると考えられる。

シメチジン

イマチニブメシル酸塩

**マクロライド系抗生物質

  • エリスロマイシン等

本剤の作用が増強されるおそれがある。必要があれば本剤を減量あるいはこれらの薬剤の投与を中止すること。

これらの薬剤がCYP3A4を阻害し、本剤のクリアランスが低下すると考えられる。

シンバスタチン

シンバスタチンのAUCが2.0倍に上昇することが報告されている。必要があれば本剤又はシンバスタチンの投与を中止すること。

これらの薬剤がCYP3A4を競合的に阻害することにより、相互のクリアランスが低下すると考えられる。

腎機能障害のある患者は特に注意すること。

シクロスポリン

本剤又はこれらの薬剤の作用が増強されるおそれがある。必要があれば本剤又はこれらの薬剤を減量すること。

これらの薬剤がCYP3A4を競合的に阻害することにより、相互のクリアランスが低下すると考えられる。

腎機能障害のある患者は特に注意すること。

ベンゾジアゼピン系薬剤

  • ジアゼパム、
  • ミダゾラム、
  • トリアゾラム等

経口黄体・卵胞ホルモン

  • 経口避妊薬等

本剤又はこれらの薬剤の作用が増強されるおそれがある。必要があれば本剤又はこれらの薬剤を減量すること。

これらの薬剤がCYP3A4を競合的に阻害することにより、相互のクリアランスが低下すると考えられる。

タンドスピロンクエン酸塩

本剤の作用が増強されるおそれがある。必要があれば本剤を減量あるいはタンドスピロンクエン酸塩の投与を中止すること。

セロトニン受容体を介した中枢性の血圧降下作用が降圧作用を増強する。

リファンピシン

フェニトイン

フェノバルビタール

本剤の作用が減弱されるおそれがある。

これらの薬剤の代謝酵素誘導作用により、本剤のクリアランスが上昇すると考えられる。

グレープフルーツジュース

本剤の血中濃度が上昇することが報告されている。降圧作用が増強されるおそれがあることから、本剤の服用中はグレープフルーツジュースを飲用しないよう注意すること。

グレープフルーツジュースに含まれる成分がCYP3A4による本剤の代謝を阻害し、クリアランスを低下させるためと考えられる。

11. 副作用

次の副作用があらわれることがあるので、観察を十分に行い、異常が認められた場合には投与を中止するなど適切な処置を行うこと。

11.1 重大な副作用

  1. 11.1.1 肝機能障害(頻度不明)、黄疸(頻度不明)

    AST、ALT、γ-GTPの上昇等を伴う肝機能障害があらわれることがある。

  2. 11.1.2 房室ブロック(頻度不明)、洞停止(頻度不明)、徐脈(頻度不明)

    めまい、ふらつき等の症状があらわれることがある。

11.2 その他の副作用

1~3%未満

1%未満

頻度不明

過敏症

そう痒、発疹

血管性浮腫、光線過敏性反応

精神神経系

頭痛・頭重感

立ちくらみ、ふらつき、めまい

眠気

消化器

便秘

胃部不快感、悪心、腹痛、下痢、歯肉肥厚、口内炎

循環器

動悸、顔面潮紅、ほてり

血液

好酸球増多

肝臓

ALT上昇、AST上昇、LDH上昇

ALP上昇、総ビリルビン上昇

γ-GTP上昇、肝機能異常

泌尿器

BUN上昇、尿硝子円柱増加

クレアチニン上昇、頻尿

その他

尿酸上昇

総コレステロール上昇、CK上昇、カリウム上昇、カリウム低下

倦怠感、異常感(浮遊感、気分不良等)、浮腫、しびれ、乳び腹水2)

2) 低アルブミン血症の患者で起こりやすい。

14. 適用上の注意

14.1 薬剤交付時の注意

PTP包装の薬剤はPTPシートから取り出して服用するよう指導すること。PTPシートの誤飲により、硬い鋭角部が食道粘膜へ刺入し、更には穿孔をおこして縦隔洞炎等の重篤な合併症を併発することがある。

15. その他の注意

15.1 臨床使用に基づく情報

  1. 15.1.1 因果関係は明らかではないが、本剤による治療中に心筋梗塞、心不全や不整脈(心房細動等)がみられたとの報告がある。
  2. 15.1.2 CAPD(持続的外来腹膜透析)施行中の患者の透析排液が白濁することが報告されているので、腹膜炎等との鑑別に留意すること。

16. 薬物動態

16.1 血中濃度

  1. 16.1.1 反復投与

    健康な成人男性6例にカルブロック錠8mgを1日1回7日間連続経口投与したところ、最高血漿中濃度に到達する時間は2~3時間であり、半減期は19~23時間であった。投与後24時間の血漿中濃度は、投与2日目からほぼ一定の値を示し、速やかに定常状態に達した1)

    カルブロック錠8mgを1日1回7日間連続経口投与(食後投与)した場合の血漿中未変化体濃度

    投与量

    投与日数

    Cmax
    (ng/mL)

    Tmax
    (hr)

    t1/2α
    (hr)

    t1/2β
    (hr)

    AUC0-24
    (ng・hr/mL)

    8mg

    1日目

    11.8±1.4

    3.2±0.3

    1.3±0.2

    23.1±8.1

    59.7±6.9

    7日目

    14.7±1.6

    2.2±0.3

    1.0±0.1

    19.2±2.2

    81.6±13.4

    n=6、mean±SE

  2. 16.1.2 単回投与

    軽症・中等症本態性高血圧症患者6例にカルブロック錠8mgを朝食後単回経口投与したところ、最高血漿中濃度に到達する時間は3.7時間、Cmaxは9.4ng/mL、半減期(一相性)は6.1時間、AUC0-24は66.5ng・hr/mLであった。血漿中濃度は健康な成人と同様のレベルと考えられた2)

16.2 吸収

  1. 16.2.1 食事の影響

    健康な成人男性6例にアゼルニジピン10mgを空腹時投与したときCmax及びAUC0-∞は食後投与と比較してそれぞれ38%及び69%であった3)

16.3 分布

  1. 16.3.1 蛋白結合率

    本剤のin vitroの血漿蛋白結合率は90~91%で、主にリポ蛋白に非特異的に結合する4)

16.4 代謝

主な代謝部位は小腸及び肝臓であり、CYP3A4によりジヒドロピリジン環が酸化される5)

16.5 排泄

健康な成人男性4例に14C-アゼルニジピン4mgを単回経口投与したところ、投与後7日までの尿及び糞中への総投与放射能排泄率は、尿中が26%、糞中が63%であった6)(外国人データ)。

注)本剤の承認用量は1日に8~16mgである。

16.6 特定の背景を有する患者

  1. 16.6.1 腎機能障害患者

    腎機能低下を伴う高血圧症患者6例(血清クレアチニン1.5~5.3mg/dL)にカルブロック錠8mgを1日1回朝食後7日間連続経口投与したところ、投与1日目及び投与7日目の最高血漿中濃度は8.6ng/mL及び17.1ng/mL、AUC0-24は67.3ng・hr/mL及び154.5ng・hr/mLと、7日目で有意に大きな値を示したが、投与24時間後の血漿中濃度は6日目以降ほぼ一定の値を示し定常状態に達した7)

    投与日数

    Cmax
    (ng/mL)

    Tmax
    (hr)

    t1/2
    (hr)

    AUC0-24
    (ng・hr/mL)

    1日目

    8.6±0.87

    4.7±0.67

    9.1±1.34

    67.3±5.81

    7日目

    17.1±2.083)

    3.5±0.56

    19.7±4.86

    154.5±17.793)

    n=6、mean±SE

    3) p<0.01(paired t-test)

  2. 16.6.2 肝機能障害患者

    軽度・中等度の肝機能障害患者及び健康人各8例にカルブロック錠8mgを単回経口投与したところ、ほぼ同様の血漿中濃度推移を示した8)(外国人データ)。

    対象

    Cmax4)
    (ng/mL)

    AUC0-∞4)
    (ng・hr/mL)

    CL/F
    (mL/min)

    肝機能障害患者

    6.0

    52.8

    3152.5±2342.2

    健康人

    8.2

    68.0

    2345.2±1449.1

    n=8、mean±SD

    4) 幾何平均

  3. 16.6.3 高齢者

    高齢高血圧症患者(65~84歳)5例にカルブロック錠8mgを1日1回朝食後7日間連続経口投与したところ、投与1日目及び投与7日目の最高血漿中濃度到達時間はそれぞれ4.4時間及び3.2時間、半減期はそれぞれ6.4時間及び8.6時間、AUC0-24はそれぞれ107.0ng・hr/mL及び242.8ng・hr/mLであり、最高血漿中濃度、半減期及びAUC0-24は7日目に有意に大きな値を示したが、投与24時間後の血漿中濃度は7日目までにほぼ一定の値を示し定常状態に達した9)

    投与日数

    Cmax
    (ng/mL)

    Tmax
    (hr)

    t1/2
    (hr)

    AUC0-24
    (ng・hr/mL)

    1日目

    15.8±2.1

    4.4±1.0

    6.4±1.75)

    107.0±16.9

    7日目

    25.7±3.66)

    3.2±0.5

    8.6±1.66)

    242.8±48.86)

    n=5、mean±SE

    6) p<0.05(paired t-test)

16.7 薬物相互作用

  1. 16.7.1 イトラコナゾールとの相互作用

    健康な成人男性8例(20~29歳)にカルブロック錠8mg及びイトラコナゾール50mgを併用投与したところ、血漿中アゼルニジピンのCmax及びAUCは単独投与に比較してそれぞれ1.6倍(0.8~3.1倍)、2.8倍(1.7~5.4倍)に増加した10),

    投与法

    Cmax7)
    (ng/mL)

    Tmax
    (hr)

    t1/2
    (hr)

    AUC0-tz7)
    (ng・hr/mL)

    カルブロック錠単独

    12.3(0.4)

    2.9±0.6

    8.7±1.9

    61.0(0.4)

    カルブロック錠+
    イトラコナゾール併用

    19.7(0.2)

    3.6±1.3

    10.0±1.6

    170.9(0.2)

    n=8、mean±SD

    7) 幾何平均(対数変換後の標準偏差)

  2. 16.7.2 ジゴキシンとの相互作用

    健康な成人男性16例(22~41歳)にカルブロック錠8mg及びジゴキシン0.25mgを併用投与したところ、血漿中ジゴキシンのCmax及びAUCは単独投与に比較してそれぞれ1.5倍(0.8~3.1倍)、1.3倍(0.6~2.3倍)に増加した。

    投与法

    Cmax9)
    (ng/mL)

    Tmax
    (hr)

    CLR8)
    (L/hr)

    AUC0-tz9)
    (ng・hr/mL)

    ジゴキシン単独

    1.1(0.4)

    1.7±0.6

    14.6±6.4

    5.7(0.6)

    ジゴキシン+
    カルブロック錠併用

    1.6(0.4)

    1.1±0.7

    12.2±8.5

    7.4(0.7)

    n=15、mean±SD

    8) n=14

    9) 幾何平均(対数変換後の標準偏差)

  3. 16.7.3 HMG-CoA還元酵素阻害剤との相互作用

    健康な成人男性8例(22~34歳)にカルブロック錠8mg及びシンバスタチン10mgを併用投与したところ、単独投与に比較して血漿中アゼルニジピン濃度はほとんど変化しなかったが、血漿中シンバスタチン濃度はCmax及びAUCがそれぞれ1.9倍(1.4~3.5倍)、2.0倍(1.6~3.3倍)に増加した11)

    投与法

    Cmax10)
    (ng/mL)

    Tmax
    (hr)

    t1/2
    (hr)

    AUC0-tz10)
    (ng・hr/mL)

    シンバスタチン単独

    1.5(0.5)

    1.4±0.9

    2.3±0.6

    4.6(0.5)

    シンバスタチン+
    カルブロック錠併用

    2.8(0.4)

    1.9±1.1

    2.7±0.9

    9.2(0.4)

    n=8、mean±SD

    10) 幾何平均(対数変換後の標準偏差)

    なお、カルブロック錠8mgとアトルバスタチン10mg又はプラバスタチン10mgの併用投与では、血漿中アゼルニジピン濃度にほとんど変化はなく、血漿中アトルバスタチン濃度はCmax及びAUCがそれぞれ1.0倍(0.4~2.0倍)、1.0倍(0.5~1.4倍)、血漿中プラバスタチン濃度は同じく0.9倍(0.4~1.9倍)、1.0倍(0.3~2.3倍)であった。

  4. 16.7.4 グレープフルーツジュースとの相互作用

    健康な成人男性8例(23~40歳)にカルブロック錠8mgをグレープフルーツジュースとともに単回経口投与したところ、水で服用した場合に比較してCmax及びAUCはそれぞれ2.5倍(1.6~3.2倍)、3.3倍(2.3~4.3倍)に増加した12)

    健康な成人男性にカルブロック錠8mgを水又はグレープフルーツジュースで単回経口投与した場合の血漿中未変化体濃度

    服用法

    Cmax12)
    (ng/mL)

    Tmax
    (hr)

    AUC0-2412)
    (ng・hr/mL)

    6.3
    (5.6~7.0)

    2.1
    (1.8~2.4)

    45.1
    (39.0~52.0)

    グレープフルーツジュース

    15.711)
    (12.8~19.2)

    3.911)
    (3.0~4.7)

    147.911)
    (120.6~181.4)

    n=8、mean(95%信頼区間)

    11) p<0.01(分散分析)

    12) 幾何平均

17. 臨床成績

17.1 有効性及び安全性に関する試験

  1. 17.1.1 国内第Ⅲ相試験

    軽症・中等症本態性高血圧症患者208例に本剤8~16mgを二重盲検比較法により1日1回12週間連続経口投与した時の降圧率(下降例数13)/評価例数)は72.6%(判定不能を除く場合83.4%)であった13)
    本剤投与群での副作用発現頻度は、自他覚症状が10.6%(22/208例)、臨床検査値異常が6.7%(14/208例)であった。主な副作用は、ALT上昇3.4%(7/208例)、AST上昇2.9%(6/208例)、頭痛・頭重感2.9%(6/208例)であった。

    13) 下降:収縮期血圧(-20mmHg以上)及び拡張期血圧(-10mmHg以上)を満たす場合、平均血圧(-13mmHg以上)を満たす場合、あるいは下降傾向14)であっても150/90mmHg未満(ただし、入院患者では140/85mmHg未満)に降圧した場合

    14) 下降傾向:収縮期血圧(-10mmHg以上)及び拡張期血圧(-5mmHg以上)を満たす場合、あるいは平均血圧(-7mmHg以上)を満たす場合

  2. 17.1.2 国内臨床試験

    二重盲検比較試験を含め軽症・中等症本態性高血圧症患者を対象とした試験において、本剤8~16mgを投与された756例の降圧率は73.7%であった(判定不能を含む)。

  3. 17.1.3 国内第Ⅲ相試験

    重症高血圧症患者を対象とした臨床試験成績での判定不能を含む降圧率は86.7%(26/30例)であり、判定不能を除く場合は92.9%(26/28例)であった14)
    副作用発現頻度は、自他覚症状が6.7%(2/30例)、臨床検査値異常が16.7%(5/30例)であった。認められた副作用は、便秘、眠気、全身倦怠感、ふらつき感等が各3.3%(1/30例)であった。

  4. 17.1.4 国内第Ⅱ相試験

    腎機能障害を伴う高血圧症患者を対象とした臨床試験成績での判定不能を含む降圧率は69.0%(20/29例)であり、判定不能を除く場合は74.1%(20/27例)であった15)
    副作用発現頻度は、自他覚症状が10.3%(3/29例)、臨床検査値異常が3.4%(1/29例)であった。認められた副作用は、下痢、心窩部重圧感等が各3.4%(1/29例)であった。

  5. 17.1.5 国内第Ⅱ相試験(長期投与)

    軽症・中等症本態性高血圧症患者を対象に、1日1回52週間本剤を単独投与した結果、安定した降圧効果が得られた16)。判定不能を含む降圧率は87.4%(83/95例)、判定不能を除く場合は91.2%(83/91例)であった。
    副作用発現頻度は、自他覚症状が9.5%(9/95例)、臨床検査値異常が6.3%(6/95例)であった。主な副作用は総コレステロール上昇3.2%(3/95例)であった。

  6. 17.1.6 国内第Ⅱ相試験(長期投与)

    軽症・中等症本態性高血圧症患者を対象に、1日1回52週間本剤とカルシウム拮抗剤以外の降圧剤を併用投与した結果、安定した降圧効果が得られた17)。判定不能を含む降圧率は76.7%(132/172例)、判定不能を除く場合は85.2%(132/155例)であった。
    副作用発現頻度は、自他覚症状が3.5%(8/228例)、臨床検査値異常が14.5%(33/228例)であった。主な副作用はLDH上昇3.5%(8/228例)、尿酸上昇3.5%(8/228例)、ALT上昇2.6%(6/228例)であった。

18. 薬効薬理

18.1 作用機序

アゼルニジピンは、L型Caチャネル拮抗作用に基づき、血管を拡張させることにより降圧作用を発現する。ブタ心臓ミクロソームを用いた受容体結合実験において、3H-ニトレンジピンの特異的結合に対する50%阻害濃度(IC50値)及び阻害定数(Ki値)はそれぞれ3.1nM、2.1nMであった18)in vitro)。また、アゼルニジピンは肝初回通過効果を受けにくい(イヌ)。

18.2 降圧作用

高血圧モデル動物(高血圧自然発症ラット、DOCA食塩高血圧ラット、腎性高血圧ラット、腎周囲炎性腎性高血圧犬)への0.1ないし1~3mg/kgの単回経口投与により血圧は用量依存的に下降し、その作用は緩徐に発現しかつ持続的であり、類薬に比べて心拍数にほとんど影響を及ぼさなかった。
また、高血圧自然発症ラット又は腎性高血圧犬への反復経口投与においても安定した降圧作用を示した19)

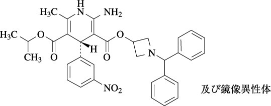
19. 有効成分に関する理化学的知見

一般的名称

アゼルニジピン(Azelnidipine)

化学名

3-[1-(Diphenylmethyl)azetidin-3-yl]5-(1-methylethyl)(4RS)-2-amino-6-methyl-4-(3-nitrophenyl)-1,4-dihydropyridine-3,5-dicarboxylate

分子式

C33H34N4O6

分子量

582.65

性状

淡黄色~黄色の結晶性の粉末又は塊を含む粉末である。
エタノール(99.5)又は酢酸(100)に溶けやすく、水にほとんど溶けない。エタノール(99.5)溶液(1→100)は旋光性を示さない。結晶多形が認められる。

化学構造式

分配係数

アゼルニジピンの分配係数(HPLC法)

pH

9

10

分配係数(log P)

4.43

4.42

20. 取扱い上の注意

  1. 20.1 本剤は光により着色するので、アルミピロー開封後は遮光して保存すること。
  2. 20.2 アルミピロー開封後は湿気を避けて保存すること。

22. 包装

  • カルブロック錠8mg
    • (PTP:乾燥剤入り) 100錠(10錠×10) 500錠(10錠×50)
  • カルブロック錠16mg
    • (PTP:乾燥剤入り) 100錠(10錠×10) 140錠(14錠×10) 500錠(10錠×50) 700錠(14錠×50)

23. 主要文献

1) 中島光好ほか:臨床医薬 2000;16(2):191-205

2) 社内資料:本態性高血圧症患者における薬物動態(2003年1月31日承認、申請資料概要 ヘ-Ⅲ-2)

3) 中島光好ほか:臨床医薬 2000;16(2):179-190

4) 社内資料:アゼルニジピンの血漿蛋白結合率(2003年1月31日承認、申請資料概要 ヘ-Ⅱ-2)

5) 社内資料:チトクロームP450分子種(2003年1月31日承認、申請資料概要 ヘ-Ⅱ-3)

6) 社内資料:アゼルニジピンの排泄(2003年1月31日承認、申請資料概要 ヘ-Ⅲ-1)

7) 小口寿夫ほか:臨床医薬 1999;15(5):765-777

8) 社内資料:肝機能障害患者における薬物動態(2003年1月31日承認、申請資料概要 ヘ-Ⅲ-1)

9) 桑島 巌ほか:臨床医薬 2000;16(3):375-387

10) 社内資料:イトラコナゾール併用投与時の薬物動態(2003年1月31日承認、申請資料概要 ヘ-Ⅲ-6)

11) 社内資料:シンバスタチン併用投与時の薬物動態(2003年1月31日承認、申請資料概要 ヘ-Ⅲ-6)

12) Hirashima H, et al.:臨床薬理 2006;37(3):127-133

13) 吉永 馨ほか:臨床医薬 2000;16(5):671-739

14) 荻原俊男ほか:臨床医薬 1999;15(6):985-1004

15) 猿田享男ほか:臨床医薬 1999;15(6):1005-1031

16) 吉永 馨ほか:臨床医薬 1999;15(6):943-983

17) 平井愛山ほか:臨床医薬 1999;15(9):1505-1545

18) 社内資料:アゼルニジピンの作用機序(2003年1月31日承認、申請資料概要 ホ-Ⅰ-2)

19) 社内資料:アゼルニジピンの降圧作用(2003年1月31日承認、申請資料概要 ホ-Ⅰ-1)

24. 文献請求先及び問い合わせ先

第一三共株式会社 製品情報センター

〒103-8426 東京都中央区日本橋本町3-5-1

TEL:0120-189-132

26. 製造販売業者等

26.1 製造販売元

第一三共株式会社

東京都中央区日本橋本町3-5-1

26.2 技術提携

UBE株式会社

〒100-0013 東京都千代田区霞が関3-3-2 新霞が関ビル

画面を閉じる

Copyright © Pharmaceuticals and Medical Devices Agency, All Rights reserved.