医療用医薬品 詳細表示

レザルタス配合錠LD/レザルタス配合錠HD

処方せん医薬品

添付文書番号
企業コード
作成又は改訂年月
日本標準商品分類番号
薬効分類名
承認等
一般的名称
2.禁忌(次の患者には投与しないこと)
3.組成・性状
3.1組成
3.2製剤の性状
4.効能又は効果
5.効能又は効果に関連する注意
6.用法及び用量
7.用法及び用量に関連する注意
8.重要な基本的注意
9.特定の背景を有する患者に関する注意
9.1合併症・既往歴等のある患者
9.2腎機能障害患者
9.3肝機能障害患者
9.4生殖能を有する者
9.5妊婦
9.6授乳婦
9.7小児等
9.8高齢者
10.相互作用
10.1併用禁忌(併用しないこと)
10.2併用注意(併用に注意すること)
11.副作用
11.1重大な副作用
11.2その他の副作用
14.適用上の注意
15.その他の注意
15.1臨床使用に基づく情報
16.薬物動態
16.1血中濃度
16.2吸収
16.3分布
16.4代謝
16.5排泄
16.6特定の背景を有する患者
16.8その他
17.臨床成績
17.1有効性及び安全性に関する試験
18.薬効薬理
18.1作用機序
19.有効成分に関する理化学的知見
20.取扱い上の注意
22.包装
23.主要文献
24.文献請求先及び問い合わせ先
26.製造販売業者等

レザルタス配合錠LD/レザルタス配合錠HD

添付文書番号

2149115F1026_1_23

企業コード

430574

作成又は改訂年月

**2026年3月改訂(第7版)
2025年9月改訂(第6版)

日本標準商品分類番号

872149

薬効分類名

高親和性ARB/持続性Ca拮抗薬配合剤

承認等

レザルタス配合錠LD

販売名コード

YJコード

2149115F1026

販売名英語表記

REZALTAS COMBINATION TABLETS

販売名ひらがな

れざるたすはいごうじょうLD

承認番号等

承認番号

22200AMX00244

販売開始年月

2010年4月

貯法・有効期間

貯法

室温保存

有効期間

3年

レザルタス配合錠HD

販売名コード

YJコード

2149115F2022

販売名英語表記

REZALTAS COMBINATION TABLETS

販売名ひらがな

れざるたすはいごうじょうHD

承認番号等

承認番号

22200AMX00245

販売開始年月

2010年4月

貯法・有効期間

貯法

室温保存

有効期間

3年

一般的名称

オルメサルタン メドキソミル/アゼルニジピン配合錠

2. 禁忌(次の患者には投与しないこと)

  1. 2.1 本剤の成分に対し過敏症の既往歴のある患者
  2. 2.2 妊婦又は妊娠している可能性のある女性
  3. 2.3 **イトラコナゾール、ミコナゾール(経口剤、注射剤、口腔用剤)、フルコナゾール、ホスフルコナゾール、ボリコナゾール、ポサコナゾール、HIVプロテアーゼ阻害剤(リトナビル含有製剤、ダルナビル含有製剤)、コビシスタット含有製剤、ニルマトレルビル・リトナビル、エンシトレルビル フマル酸、クラリスロマイシン、セリチニブを投与中の患者
  4. 2.4 アリスキレンフマル酸塩を投与中の糖尿病患者(ただし、他の降圧治療を行ってもなお血圧のコントロールが著しく不良の患者を除く)

3. 組成・性状

3.1 組成

レザルタス配合錠LD

有効成分1錠中
オルメサルタン メドキソミル(日局)   10mg
アゼルニジピン(日局)   8mg
添加剤D-マンニトール、ポリソルベート80、メタケイ酸アルミン酸マグネシウム、軽質無水ケイ酸、低置換度ヒドロキシプロピルセルロース、カルメロースカルシウム、炭酸水素ナトリウム、ヒドロキシプロピルセルロース、タルク、ステアリン酸マグネシウム、乳糖水和物、結晶セルロース、ポリビニルアルコール(部分けん化物)、酸化チタン、マクロゴール4000

レザルタス配合錠HD

有効成分1錠中
オルメサルタン メドキソミル(日局)   20mg
アゼルニジピン(日局)   16mg
添加剤D-マンニトール、ポリソルベート80、メタケイ酸アルミン酸マグネシウム、軽質無水ケイ酸、低置換度ヒドロキシプロピルセルロース、カルメロースカルシウム、炭酸水素ナトリウム、ヒドロキシプロピルセルロース、タルク、ステアリン酸マグネシウム、乳糖水和物、結晶セルロース、ポリビニルアルコール(部分けん化物)、酸化チタン、マクロゴール4000

3.2 製剤の性状

レザルタス配合錠LD

剤形円形
フィルムコート錠
色調片面:白色
片面:白色~帯黄白色
外形表面
裏面
側面
大きさ直径9.7mm
厚さ約4.9mm
質量約393mg
識別コードDSC
372
においにおいはないか、又はわずかに特異なにおいがある。

レザルタス配合錠HD

剤形長円形
フィルムコート錠
色調片面:白色
片面:白色~帯黄白色
外形表面
裏面
側面
大きさ長径14.2mm
短径6.7mm
厚さ約5.3mm
質量約493mg
識別コードDSC
373
においにおいはないか、又はわずかに特異なにおいがある。

4. 効能又は効果

高血圧症

5. 効能又は効果に関連する注意

  1. 5.1 過度の血圧低下のおそれ等があり、本剤を高血圧治療の第一選択薬としないこと。
  2. 5.2 原則として、オルメサルタン メドキソミル及びアゼルニジピンを併用している場合、あるいはいずれか一方を使用し血圧コントロールが不十分な場合に、本剤への切り替えを検討すること。

6. 用法及び用量

通常、成人には1日1回1錠(オルメサルタン メドキソミル/アゼルニジピンとして10mg/8mg又は20mg/16mg)を朝食後経口投与する。本剤は高血圧治療の第一選択薬として用いない。

7. 用法及び用量に関連する注意

  1. 7.1 次のオルメサルタン メドキソミルとアゼルニジピンの用法及び用量を踏まえ、患者毎に用量を決めること。
    • 〈オルメサルタン メドキソミル〉

      通常、成人にはオルメサルタン メドキソミルとして10~20mgを1日1回経口投与する。なお、1日5~10mgから投与を開始し、年齢、症状により適宜増減するが、1日最大投与量は40mgまでとする。

    • 〈アゼルニジピン〉

      通常、成人にはアゼルニジピンとして8~16mgを1日1回朝食後経口投与する。なお、1回8mgあるいは更に低用量から投与を開始し、症状により適宜増減するが、1日最大16mgまでとする。

  2. 7.2 原則として、増量は1つの有効成分ずつ行うこと。

8. 重要な基本的注意

  1. 8.1 本剤はオルメサルタン メドキソミルとアゼルニジピンの配合剤であり、オルメサルタン メドキソミルとアゼルニジピン双方の副作用が発現するおそれがあるため、本剤の適切な使用を検討すること。,,,
  2. 8.2 アンジオテンシンⅡ受容体拮抗剤投与中に重篤な肝機能障害があらわれたとの報告があるので、肝機能検査を実施するなど観察を十分に行うこと。
  3. 8.3 手術前24時間は投与しないことが望ましい。アンジオテンシンⅡ受容体拮抗剤投与中の患者は、麻酔及び手術中にレニン-アンジオテンシン系の抑制作用による高度な血圧低下を起こす可能性がある。
  4. 8.4 降圧作用に基づくめまい、ふらつきがあらわれることがあるので、高所作業、自動車の運転等危険を伴う機械を操作する際には注意させること。
  5. 8.5 カルシウム拮抗剤の投与を急に中止したとき、症状が悪化した症例が報告されているので、本剤の休薬を要する場合は徐々に減量すること。また、患者に医師の指示なしに服薬を中止しないように注意すること。

9. 特定の背景を有する患者に関する注意

9.1 合併症・既往歴等のある患者

  1. 9.1.1 両側性腎動脈狭窄のある患者又は片腎で腎動脈狭窄のある患者

    治療上やむを得ないと判断される場合を除き、使用は避けること。腎血流量の減少や糸球体ろ過圧の低下により急速に腎機能を悪化させるおそれがある。

  2. 9.1.2 高カリウム血症の患者

    治療上やむを得ないと判断される場合を除き、使用は避けること。高カリウム血症を増悪させるおそれがある。また、腎機能障害、コントロール不良の糖尿病等により血清カリウム値が高くなりやすい患者では、血清カリウム値に注意すること。

  3. 9.1.3 脳血管障害のある患者

    過度の降圧が脳血流不全を惹起し、病態を悪化させるおそれがある。

  4. 9.1.4 厳重な減塩療法中の患者

    低用量から投与を開始し、増量する場合は徐々に行うこと。一過性の急激な血圧低下を起こすおそれがある。

9.2 腎機能障害患者

  1. 9.2.1 重篤な腎機能障害(血清クレアチニン値 3.0mg/dL以上)のある患者

    これらの患者を対象とした有効性及び安全性を検討する臨床試験は実施していない。腎機能を悪化させるおそれがある。

  2. 9.2.2 血液透析中の患者

    低用量から投与を開始し、増量する場合は徐々に行うこと。一過性の急激な血圧低下を起こすおそれがある。

9.3 肝機能障害患者

軽度又は中等度の肝機能障害患者(Child-Pugh分類スコア:5~9)でオルメサルタン メドキソミル単独投与時のオルメサルタンの血漿中濃度が上昇することが報告されている。また、アゼルニジピンは肝臓で代謝される。

9.4 生殖能を有する者

  1. 9.4.1 妊娠する可能性のある女性

    妊娠していることが把握されずアンジオテンシン変換酵素阻害剤又はアンジオテンシンⅡ受容体拮抗剤を使用し、胎児・新生児への影響(腎不全、頭蓋・肺・腎の形成不全、死亡等)が認められた例が報告されている1),2)

    本剤の投与に先立ち、代替薬の有無等も考慮して本剤投与の必要性を慎重に検討し、治療上の有益性が危険性を上回ると判断される場合にのみ投与すること。また、投与が必要な場合には次の注意事項に留意すること。

    1. (1) 本剤投与開始前に妊娠していないことを確認すること。本剤投与中も、妊娠していないことを定期的に確認すること。投与中に妊娠が判明した場合には、直ちに投与を中止すること。
    2. (2) 次の事項について、本剤投与開始時に患者に説明すること。また、投与中も必要に応じ説明すること。
      • 妊娠中に本剤を使用した場合、胎児・新生児に影響を及ぼすリスクがあること。
      • 妊娠が判明した又は疑われる場合は、速やかに担当医に相談すること。
      • 妊娠を計画する場合は、担当医に相談すること。

9.5 妊婦

妊婦又は妊娠している可能性のある女性には投与しないこと。投与中に妊娠が判明した場合には、直ちに投与を中止すること。
妊娠中期及び末期にアンジオテンシンⅡ受容体拮抗剤又はアンジオテンシン変換酵素阻害剤を投与された患者で羊水過少症、胎児・新生児の死亡、新生児の低血圧、腎不全、高カリウム血症、頭蓋の形成不全及び羊水過少症によると推測される四肢の拘縮、頭蓋顔面の変形、肺の形成不全等があらわれたとの報告がある。
アゼルニジピンでは動物実験(ラット)で妊娠前~初期の投与において着床前及び着床後胚死亡率の増加、出生児の体重低下、妊娠期間及び分娩時間の延長が認められている。また、妊娠末期の投与において妊娠期間及び分娩時間の延長が認められている。,

9.6 授乳婦

授乳しないことが望ましい。
オルメサルタン メドキソミルでは動物実験(ラット)の5mg/kg/日で乳汁中への移行が認められている。また、動物実験(ラット周産期及び授乳期経口投与)の200mg/kg/日で出生児に腎盂拡張を伴う死亡及び体重減少が、8mg/kg/日で出生児に体重増加抑制及び生後分化の遅延が認められている。
アゼルニジピンでは動物実験(ラット)で乳汁中へ移行することが報告されている。

9.7 小児等

小児等を対象とした臨床試験は実施していない。

9.8 高齢者

患者の状態を観察しながら慎重に投与すること。一般に過度の降圧は好ましくないとされている。脳梗塞等が起こるおそれがある。

10. 相互作用

  • アゼルニジピンは、主としてチトクロームP450 3A4(CYP3A4)で代謝される。

10.1 併用禁忌(併用しないこと)

薬剤名等臨床症状・措置方法機序・危険因子

以下のアゾール系抗真菌剤

  • イトラコナゾール(イトリゾール)、ミコナゾール(経口剤、注射剤、口腔用剤)(フロリード、オラビ)、フルコナゾール(ジフルカン)、ホスフルコナゾール(プロジフ)、ボリコナゾール(ブイフェンド)、ポサコナゾール(ノクサフィル)

アゼルニジピン8mgとイトラコナゾール50mg1)との併用によりアゼルニジピンのAUCが2.8倍に上昇することが報告されている。

これらの薬剤がCYP3A4を阻害し、アゼルニジピンのクリアランスが低下すると考えられる。

**HIVプロテアーゼ阻害剤

  • リトナビル含有製剤(ノービア、カレトラ)、ダルナビル含有製剤(プリジスタ、プレジコビックス、シムツーザ)

コビシスタット含有製剤

  • ゲンボイヤ、プレジコビックス、シムツーザ

ニルマトレルビル・リトナビル

  • パキロビッド

エンシトレルビル フマル酸

  • ゾコーバ

アゼルニジピンの作用が増強されるおそれがある。

これらの薬剤がCYP3A4を阻害し、アゼルニジピンのクリアランスが低下すると考えられる。

**クラリスロマイシン

  • クラリス、クラリシッド

アゼルニジピンの作用が増強されるおそれがある。

これらの薬剤がCYP3A4を阻害し、アゼルニジピンのクリアランスが低下すると考えられる。

**セリチニブ

  • ジカディア

アゼルニジピンの作用が増強されるおそれがある。

これらの薬剤がCYP3A4を阻害し、アゼルニジピンのクリアランスが低下すると考えられる。

アリスキレンフマル酸塩

  • ラジレス

(糖尿病患者に使用する場合。ただし、他の降圧治療を行ってもなお血圧のコントロールが著しく不良の患者を除く。)

非致死性脳卒中、腎機能障害、高カリウム血症及び低血圧のリスク増加が報告されている。

レニン-アンジオテンシン系阻害作用が増強される可能性がある。

1) 低用量のイトラコナゾールとの併用試験結果に基づく。イトラコナゾールの用量は、イトラコナゾールの電子添文を参照すること。

10.2 併用注意(併用に注意すること)

薬剤名等臨床症状・措置方法機序・危険因子

カリウム保持性利尿剤

  • スピロノラクトン、トリアムテレン等

カリウム補給剤

  • 塩化カリウム等

オルメサルタン メドキソミルとの併用により、血清カリウム値が上昇することがある。

オルメサルタン メドキソミルのアルドステロン分泌抑制作用によりカリウム貯留作用が増強するおそれがある。
危険因子:腎機能障害のある患者

利尿降圧剤

  • フロセミド
  • トリクロルメチアジド等

一過性の急激な血圧低下を起こすおそれがある。低用量から投与を開始し、増量する場合は徐々に行うこと。

利尿降圧剤で治療を受けている患者にはレニン活性が亢進している患者が多く、本剤が奏効しやすい。

リチウム製剤

  • 炭酸リチウム

オルメサルタン メドキソミルとの併用により、リチウム中毒が起こるおそれがある。

明確な機序は不明であるが、ナトリウムイオン不足はリチウムイオンの貯留を促進するといわれているため、オルメサルタン メドキソミルがナトリウム排泄を促進することにより起こると考えられる。

アリスキレンフマル酸塩

腎機能障害、高カリウム血症及び低血圧を起こすおそれがある。eGFRが60mL/min/1.73m2未満の腎機能障害のある患者へのオルメサルタン メドキソミルとアリスキレンフマル酸塩との併用については、治療上やむを得ないと判断される場合を除き避けること。

オルメサルタン メドキソミルのレニン-アンジオテンシン系阻害作用が増強される可能性がある。

アンジオテンシン変換酵素阻害剤

腎機能障害、高カリウム血症及び低血圧を起こすおそれがある。

オルメサルタン メドキソミルのレニン-アンジオテンシン系阻害作用が増強される可能性がある。

非ステロイド性消炎鎮痛剤

オルメサルタン メドキソミルの降圧作用が減弱するおそれがある。

非ステロイド性消炎鎮痛剤は、血管拡張作用を有するプロスタグランジンの合成阻害作用により、オルメサルタン メドキソミルの降圧作用を減弱させる可能性がある。

非ステロイド性消炎鎮痛剤

腎機能を悪化させるおそれがある。

プロスタグランジンの合成阻害作用により、腎血流量が低下するためと考えられる。

他の降圧剤

過度の降圧が起こるおそれがある。降圧剤の用量調節等に注意すること。

作用メカニズムの異なる降圧剤の併用により薬理作用が増強される。

ジゴキシン

アゼルニジピンとの併用によりジゴキシンのCmax が1.5倍、AUCが1.3倍に上昇することが報告されている。必要があればジゴキシンを減量すること。

ジゴキシンの腎排泄(尿細管分泌)及び腎外からの排泄を阻害するためと考えられる。

アゾール系抗真菌剤(併用禁忌の薬剤又はそれ以外の外用剤を除く)

  • ホスラブコナゾール等

アゼルニジピンの作用が増強されるおそれがある。必要があれば本剤の成分であるアゼルニジピンを減量又は中止した処方に切り替えること、あるいはこれらの薬剤の投与を中止すること。

これらの薬剤がCYP3A4を阻害し、アゼルニジピンのクリアランスが低下すると考えられる。

シメチジン

イマチニブメシル酸塩

**マクロライド系抗生物質

  • エリスロマイシン等

アゼルニジピンの作用が増強されるおそれがある。必要があれば本剤の成分であるアゼルニジピンを減量した処方に切り替えること、あるいはこれらの薬剤の投与を中止すること。

これらの薬剤がCYP3A4を阻害し、アゼルニジピンのクリアランスが低下すると考えられる。

シンバスタチン

アゼルニジピンとの併用によりシンバスタチンのAUCが2.0倍に上昇することが報告されている。必要があれば本剤又はシンバスタチンの投与を中止すること。

アゼルニジピンとこれらの薬剤がCYP3A4を競合的に阻害することにより、相互のクリアランスが低下すると考えられる。
腎機能障害のある患者は特に注意すること。

シクロスポリン

アゼルニジピン又はこれらの薬剤の作用が増強されるおそれがある。必要があれば本剤の成分であるアゼルニジピンを減量した処方に切り替えること、又はこれらの薬剤を減量すること。

アゼルニジピンとこれらの薬剤がCYP3A4を競合的に阻害することにより、相互のクリアランスが低下すると考えられる。
腎機能障害のある患者は特に注意すること。

ベンゾジアゼピン系薬剤

  • ジアゼパム、ミダゾラム、トリアゾラム等

経口黄体・卵胞ホルモン

  • 経口避妊薬等

アゼルニジピン又はこれらの薬剤の作用が増強されるおそれがある。必要があれば本剤の成分であるアゼルニジピンを減量した処方に切り替えること、又はこれらの薬剤を減量すること。

アゼルニジピンとこれらの薬剤がCYP3A4を競合的に阻害することにより、相互のクリアランスが低下すると考えられる。

タンドスピロンクエン酸塩

アゼルニジピンの作用が増強されるおそれがある。必要があれば本剤の成分であるアゼルニジピンを減量した処方に切り替えること、あるいはタンドスピロンクエン酸塩の投与を中止すること。

セロトニン受容体を介した中枢性の血圧降下作用が降圧作用を増強する。

リファンピシン

フェニトイン

フェノバルビタール

アゼルニジピンの作用が減弱されるおそれがある。

これらの薬剤の代謝酵素誘導作用により、アゼルニジピンのクリアランスが上昇すると考えられる。

グレープフルーツジュース

アゼルニジピンの血中濃度が上昇することが報告されている。降圧作用が増強されるおそれがあることから、本剤の服用中はグレープフルーツジュースを飲用しないよう注意すること。

グレープフルーツジュースに含まれる成分がCYP3A4によるアゼルニジピンの代謝を阻害し、クリアランスを低下させるためと考えられる。

11. 副作用

次の副作用があらわれることがあるので、観察を十分に行い、異常が認められた場合には投与を中止するなど適切な処置を行うこと。

11.1 重大な副作用

  1. 11.1.1 *血管性浮腫(頻度不明)

    顔面、口唇、咽頭、舌の腫脹等が症状としてあらわれることがある。また、腹痛、嘔気、嘔吐、下痢等を伴う腸管血管性浮腫があらわれることがある。

  2. 11.1.2 腎不全(頻度不明)
  3. 11.1.3 高カリウム血症(頻度不明)
  4. 11.1.4 ショック(頻度不明)、失神(頻度不明)、意識消失(頻度不明)

    冷感、嘔吐、意識消失等があらわれた場合には、直ちに適切な処置を行うこと。,,

  5. 11.1.5 肝機能障害(頻度不明)、黄疸(頻度不明)

    AST、ALT、γ-GTPの上昇等を伴う肝機能障害があらわれることがある。

  6. 11.1.6 血小板減少(頻度不明)
  7. 11.1.7 低血糖(頻度不明)

    脱力感、空腹感、冷汗、手の震え、集中力低下、痙攣、意識障害等があらわれた場合には投与を中止し、適切な処置を行うこと。糖尿病治療中の患者であらわれやすい。

  8. 11.1.8 房室ブロック(頻度不明)、洞停止(頻度不明)、徐脈(頻度不明)

    めまい、ふらつき等の症状があらわれることがある。

  9. 11.1.9 横紋筋融解症(頻度不明)

    筋肉痛、脱力感、CK上昇、血中及び尿中ミオグロビン上昇を特徴とする横紋筋融解症があらわれることがあるので、このような場合には直ちに投与を中止し、適切な処置を行うこと。

  10. 11.1.10 アナフィラキシー(頻度不明)

    そう痒感、全身発赤、血圧低下、呼吸困難等が症状としてあらわれることがあり、アナフィラキシーショックを起こしたとの報告もある。

  11. 11.1.11 重度の下痢(頻度不明)

    長期投与により、体重減少を伴う重度の下痢があらわれることがある。生検により腸絨毛萎縮等が認められたとの報告がある。

  12. 11.1.12 間質性肺炎(頻度不明)

    発熱、咳嗽、呼吸困難、胸部X線異常等を伴う間質性肺炎があらわれることがあるので、このような場合には投与を中止し、副腎皮質ホルモン剤の投与等の適切な処置を行うこと。

11.2 その他の副作用

0.5~5%未満

0.5%未満

頻度不明

過敏症

蕁麻疹、発疹

そう痒、光線過敏性反応

血液

好酸球増多、白血球数増加

貧血、血小板数減少

精神神経系

めまい、頭痛

立ちくらみ

眠気、ふらつき感、頭重感

消化器

下痢、胃部不快感、便秘、腹痛、嘔気・嘔吐

口渇、歯肉肥厚、口内炎

循環器

ほてり、動悸、顔面潮紅、胸痛

心房細動

肝臓

ALT上昇、γ-GTP上昇

総ビリルビン上昇、AST上昇、肝機能異常

LDH上昇、ALP上昇

泌尿器

BUN上昇、尿蛋白陽性

クレアチニン上昇、尿硝子円柱増加、頻尿、尿沈渣陽性

その他

尿酸上昇、CK上昇

CRP上昇、全身倦怠感、カリウム上昇、総コレステロール上昇、しびれ、浮腫

咳嗽、脱力感、異常感(浮遊感、気分不良等)、カリウム低下、トリグリセリド上昇、筋肉痛、疲労、乳び腹水2)、胸部不快感、味覚異常、脱毛

2) 低アルブミン血症の患者で起こりやすい。

14. 適用上の注意

14.1 薬剤調製時の注意

本剤(オルメサルタン メドキソミル含有製剤)をメトホルミン塩酸塩製剤又はカモスタットメシル酸塩製剤等と一包化し高温多湿条件下にて保存した場合、メトホルミン塩酸塩製剤又はカモスタットメシル酸塩製剤等が変色することがあるので、一包化は避けること。

14.2 薬剤交付時の注意

PTP包装の薬剤はPTPシートから取り出して服用するよう指導すること。PTPシートの誤飲により、硬い鋭角部が食道粘膜へ刺入し、更には穿孔をおこして縦隔洞炎等の重篤な合併症を併発することがある。

15. その他の注意

15.1 臨床使用に基づく情報

  1. 15.1.1 因果関係は明らかではないが、アゼルニジピンによる治療中に心筋梗塞、心不全や不整脈(心房細動等)がみられたとの報告がある。
  2. 15.1.2 アゼルニジピンによりCAPD(持続的外来腹膜透析)施行中の患者の透析排液が白濁することが報告されているので、腹膜炎等との鑑別に留意すること。

16. 薬物動態

16.1 血中濃度

  1. 16.1.1 単回投与

    健康な成人男性12例に本剤(オルメサルタン メドキソミル20mg/アゼルニジピン16mg)を食後単回経口投与したとき、活性代謝物オルメサルタン及びアゼルニジピンは、それぞれ投与後3.5及び3.0時間にCmaxに達し、5.9及び11.2時間の半減期(t1/2)で消失した。

    パラメータ

    オルメサルタン

    アゼルニジピン

    Cmax(ng/mL)

    842(20)

    26.8(42)

    Tmax注1)(hr)

    3.5(2.0~6.0)

    3.0(2.0~6.0)

    t1/2(hr)

    5.9(8.1)

    11.2(11.7)

    AUC0-tz(ng・hr/mL)

    4258(16)

    174(28)

    n=12、幾何平均(幾何CV%)、注1)中央値(最小値~最大値)

16.2 吸収

  1. 16.2.1 食事の影響

    本剤を空腹時に投与したとき、オルメサルタンのAUCは食後投与と差がなく、アゼルニジピンのAUCは食後投与の57%であった。

16.3 分布

  1. 16.3.1 血漿蛋白結合率(超遠心法)

    ヒト血漿蛋白結合率はオルメサルタンが99%であり、アゼルニジピンが93%であった(in vitro)。

16.4 代謝

オルメサルタン メドキソミルは、経口投与後、主に小腸上皮、肝臓又は血漿においてエステラーゼによる加水分解を受け、活性代謝物のオルメサルタンに代謝される。
アゼルニジピンは、経口投与後、主に小腸及び肝臓で代謝され、CYP3A4によりジヒドロピリジン環が酸化される。

16.5 排泄

健康な成人男性6例に14C-オルメサルタン メドキソミル20mgを単回経口投与したところ、総投与放射能排泄率は、尿中が12.6%(240時間後まで)、糞中が77.2%(312時間後まで)であった(外国人データ)。
健康な成人男性4例に14C-アゼルニジピン4mgを単回経口投与したところ、投与後7日までの尿及び糞中への総投与放射能排泄率は、尿中が26%、糞中が63%であった(外国人データ)。

注2)本剤の承認用量はオルメサルタン メドキソミル/アゼルニジピンとして10mg/8mg又は20mg/16mgである。

16.6 特定の背景を有する患者

  1. 16.6.1 腎機能障害患者

    健康な成人男性8例と、腎機能障害患者26例を重症度別に8~9例ずつ3群に分けた計34例に対し、オルメサルタン メドキソミル10mgを1日1回7日間反復経口投与したときの7日目の定常状態における血漿中オルメサルタンのAUCの幾何平均値は、腎機能正常者と比較して、軽度、中等度及び重度腎機能障害患者でそれぞれ1.6倍、1.8倍、2.8倍であった3)(外国人データ)。
    腎機能低下を伴う高血圧症患者6例(血清クレアチニン1.5~5.3mg/dL)にアゼルニジピン8mgを1日1回朝食後7日間反復経口投与したところ、投与7日目のCmaxは17.1ng/mL、AUC0-24は154.5ng・hr/mLであり、投与1日目(Cmax:8.6ng/mL、AUC0-24:67.3ng・hr/mL)に比べ有意に高かった4)

  2. 16.6.2 肝機能障害患者

    軽度及び中等度の肝機能障害患者12例にオルメサルタン メドキソミル10mgを空腹時単回経口投与したとき、肝機能正常者と比較して血漿中オルメサルタンのAUCの幾何平均値はそれぞれ1.1倍、1.7倍であった3)(外国人データ)。
    軽度及び中等度の肝機能障害患者及び健康人各8例にアゼルニジピン8mgを単回経口投与したところ、ほぼ同様の血漿中濃度推移を示した5)(外国人データ)。

  3. 16.6.3 高齢者

    高齢高血圧症患者(75歳以上)17例にオルメサルタン メドキソミル10mgを1日1回14日間反復経口投与したところ、非高齢患者に比較しAUCの幾何平均値が1.4倍高値を示したが、蓄積性はほとんど認められなかった3)(外国人データ)。
    高齢高血圧症患者(65~84歳)5例にアゼルニジピン8mgを1日1回朝食後7日間反復経口投与したところ、投与7日目のCmaxは25.7ng/mL、AUC0-24は242.8ng・hr/mLであり、投与1日目(Cmax:15.8ng/mL、AUC0-24:107.0ng・hr/mL)に比べ有意に高かった6)

16.8 その他

  1. 16.8.1 配合有効成分間の相互作用

    オルメサルタン メドキソミル20mg投与時のオルメサルタンのAUC及びCmaxは、アゼルニジピン16mgの併用投与により影響を受けなかった。アゼルニジピン16mg投与時のアゼルニジピンのCmaxは、オルメサルタン メドキソミル20mgの併用投与により単独投与と比較して22%低下したが、AUCは影響を受けなかった。

  2. 16.8.2 生物学的同等性

    健康な成人男性に本剤(オルメサルタン メドキソミル/アゼルニジピンとして10mg/8mg又は20mg/16mg)1錠と、オルメサルタン メドキソミル錠(本剤と同量のオルメサルタン メドキソミルを含有)及びアゼルニジピン錠(本剤と同量のアゼルニジピンを含有)各1錠を空腹時単回経口投与した結果、オルメサルタン及びアゼルニジピンの血漿中濃度推移は本剤投与と併用投与で類似し、生物学的に同等であった。本剤投与時及び各単剤併用時のオルメサルタン及びアゼルニジピンの薬物動態パラメータは次表のとおりであった。

    パラメータ

    LD錠(n=24)
    (OLM10mg/AZ8mg)

    単剤併用(n=24)
    (OLM10mg及びAZ8mg)

    オルメサルタン

    アゼルニジピン

    オルメサルタン

    アゼルニジピン

    Cmax(ng/mL)

    339(15)

    4.6(34)

    324(13)

    4.5(33)

    Tmax注3)(hr)

    2.0(1.0~4.0)

    2.5(2.0~4.0)

    2.0(1.0~4.0)

    3.0(2.0~6.0)

    t1/2(hr)

    6.3(12.1)

    11.2(11.9)

    6.4(12.4)

    11.0(14.3)

    AUC0-32(ng・hr/mL)

    2109(24)

    35(37)

    1977(21)

    36(37)

    パラメータ

    HD錠(n=23)
    (OLM20mg/AZ16mg)

    単剤併用(n=23)
    (OLM20mg及びAZ16mg)

    オルメサルタン

    アゼルニジピン

    オルメサルタン

    アゼルニジピン

    Cmax(ng/mL)

    622(20)

    10.5(39)

    581(23)

    11.0(41)

    Tmax注3)(hr)

    2.0(1.0~4.0)

    3.0(2.0~6.0)

    3.0(1.0~6.0)

    3.0(2.0~10.0)

    t1/2(hr)

    6.6(11.5)

    11.2(14.8)

    6.3(12.6)

    10.8(10.2)

    AUC0-32(ng・hr/mL)

    4282(20)

    102(42)

    4274(26)

    102(44)

    幾何平均(幾何CV%)、注3)中央値(最小値~最大値)

    OLM:オルメサルタン メドキソミル、AZ:アゼルニジピン

17. 臨床成績

17.1 有効性及び安全性に関する試験

  1. 17.1.1 国内第Ⅲ相試験

    軽症・中等症高血圧症患者を対象とした二重盲検比較試験(観察期12週間)において、オルメサルタン メドキソミル20mg/アゼルニジピン16mg投与(高用量群:OLM20mg/AZ16mg)及びオルメサルタン メドキソミル10mg/アゼルニジピン8mg投与(低用量群:OLM10mg/AZ8mg)は、オルメサルタン メドキソミル20mg投与(OLM単独群:OLM20mg)又はアゼルニジピン16mg投与(AZ単独群:AZ16mg)よりも有意に優れた降圧効果が認められた(P<0.001)。投与12週時におけるトラフ時座位血圧の血圧下降度(投与終了時血圧と観察期基準血圧の差:ΔBP)は次図のとおりであった。

    調整済み平均値(95%信頼区間)
    OLM:オルメサルタン メドキソミル、AZ:アゼルニジピン
    #P<0.001 vs OLM20mg、†P<0.001 vs AZ16mg:収縮期血圧及び拡張期血圧それぞれのΔBP(調整済み平均値)の群間差について、観察期の血圧値、性別、体重を共変量とした共分散分析を実施

    また、自由行動下血圧測定による24時間血圧日内変動を検討した結果、オルメサルタン メドキソミルとアゼルニジピンの併用は1日1回投与において、血圧日内変動に影響を及ぼすことなく、また昼間・夜間・早朝の時間帯にかかわらず24時間持続した降圧効果を示すことが確認された。
    高用量群及び低用量群の副作用発現頻度は、自他覚症状が6.0%(13/215例)及び2.7%(6/221例)、臨床検査値異常が5.1%(11/215例)及び4.1%(9/220例)であった。高用量群における主な副作用はγ-GTP上昇1.4%(3/215例)で、低用量群における主な副作用はALT上昇、γ-GTP上昇各1.4%(3/220例)、頭痛1.4%(3/221例)であった。

  2. 17.1.2 国内第Ⅲ相試験(長期投与試験)

    オルメサルタン メドキソミル又はアゼルニジピン投与にて血圧コントロール不十分な本態性高血圧症患者を対象に、オルメサルタン メドキソミル20mg/アゼルニジピン16mg又はオルメサルタン メドキソミル10mg/アゼルニジピン8mgを52週間投与した結果、安定した長期の降圧効果が得られた。
    高用量群及び低用量群の副作用発現頻度(臨床検査値異常を含む)は、6.5%(7/107例)及び8.7%(9/103例)であった。高用量群における主な副作用は浮動性めまい、体位性めまい各1.9%(2/107例)で、低用量群における主な副作用は浮動性めまい1.9%(2/103例)であった。

18. 薬効薬理

18.1 作用機序

オルメサルタン メドキソミルはプロドラッグであり、生体内で活性代謝物であるオルメサルタンに変換され、アンジオテンシンⅡ(AⅡ)タイプ1(AT1)受容体に選択的に作用してAⅡの結合を競合的に阻害し、昇圧系であるAⅡの薬理作用を抑制する。
アゼルニジピンはL型Caチャネル拮抗作用に基づき、血管を拡張させることにより降圧作用を発現する。

18.2 降圧作用

高血圧自然発症ラットにオルメサルタン メドキソミルとアゼルニジピンを併用経口投与することにより、単独投与に比較して降圧作用の増強が認められた。また、オルメサルタン メドキソミルの単独投与で十分な降圧作用が得られなかった低レニン性高血圧モデル(DOCA食塩高血圧ラット)あるいはアゼルニジピンの単独投与で十分な降圧作用が得られなかった高レニン性高血圧モデル(腎性高血圧ラット)においても、オルメサルタン メドキソミルとアゼルニジピンの併用投与により有意な降圧作用を示した7)

19. 有効成分に関する理化学的知見

〈オルメサルタン メドキソミル〉

一般的名称

オルメサルタン メドキソミル(Olmesartan Medoxomil)

化学名

(5-Methyl-2-oxo-1,3-dioxol-4-yl)methyl 4-(2-hydroxypropan-2-yl)-2-propyl-1-{[2'-(1H-tetrazol-5-yl)biphenyl-4-yl]methyl}-1H-imidazole-5-carboxylate

分子式

C29H30N6O6

分子量

558.59

性状

白色~微黄白色の結晶性の粉末である。
アセトニトリル又はエタノール(99.5)に溶けにくく、水にほとんど溶けない。

化学構造式

分配係数

log Pow=1.0(pH7)
Pow=(オクタノール相のオルメサルタン メドキソミル濃度/水相のオルメサルタン メドキソミル濃度)

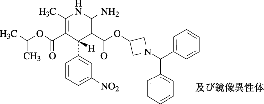
〈アゼルニジピン〉

一般的名称

アゼルニジピン(Azelnidipine)

化学名

3-[1-(Diphenylmethyl)azetidin-3-yl]5-(1-methylethyl)(4RS)-2-amino-6-methyl-4-(3-nitrophenyl)-1,4-dihydropyridine-3,5-dicarboxylate

分子式

C33H34N4O6

分子量

582.65

性状

淡黄色~黄色の結晶性の粉末又は塊を含む粉末である。
エタノール(99.5)又は酢酸(100)に溶けやすく、水にほとんど溶けない。エタノール(99.5)溶液(1→100)は旋光性を示さない。結晶多形が認められる。

化学構造式

分配係数

アゼルニジピンの分配係数(HPLC法)

pH

9

10

分配係数(log P)

4.43

4.42

20. 取扱い上の注意

アルミピロー又は瓶開封後は湿気を避け、遮光して保存すること。

22. 包装

  • レザルタス配合錠LD
    • (PTP:乾燥剤、脱酸素剤入り) 100錠(10錠×10) 140錠(14錠×10) 500錠(10錠×50) 700錠(14錠×50)
    • (瓶:バラ:乾燥剤、脱酸素剤入り) 500錠
  • レザルタス配合錠HD
    • (PTP:乾燥剤、脱酸素剤入り) 100錠(10錠×10) 140錠(14錠×10) 500錠(10錠×50) 700錠(14錠×50)
    • (瓶:バラ:乾燥剤、脱酸素剤入り) 500錠

24. 文献請求先及び問い合わせ先

第一三共株式会社 製品情報センター

〒103-8426 東京都中央区日本橋本町3-5-1

TEL:0120-189-132

26. 製造販売業者等

26.1 製造販売元

第一三共株式会社

東京都中央区日本橋本町3-5-1

〒100-0013 東京都千代田区霞が関3-3-2 新霞が関ビル

画面を閉じる

Copyright © Pharmaceuticals and Medical Devices Agency, All Rights reserved.