医療用医薬品 詳細表示

モルヒネ塩酸塩注射液200mg「第一三共」

処方せん医薬品

添付文書番号
企業コード
作成又は改訂年月
日本標準商品分類番号
薬効分類名
承認等
一般的名称
2.禁忌(次の患者には投与しないこと)
3.組成・性状
3.1組成
3.2製剤の性状
4.効能又は効果
6.用法及び用量
7.用法及び用量に関連する注意
8.重要な基本的注意
9.特定の背景を有する患者に関する注意
9.1合併症・既往歴等のある患者
9.2腎機能障害患者
9.3肝機能障害患者
9.5妊婦
9.6授乳婦
9.7小児等
9.8高齢者
10.相互作用
10.1併用禁忌(併用しないこと)
10.2併用注意(併用に注意すること)
11.副作用
11.1重大な副作用
11.2その他の副作用
13.過量投与
14.適用上の注意
15.その他の注意
15.1臨床使用に基づく情報
18.薬効薬理
18.1作用機序
19.有効成分に関する理化学的知見
20.取扱い上の注意
22.包装
23.主要文献
24.文献請求先及び問い合わせ先
25.保険給付上の注意
26.製造販売業者等

モルヒネ塩酸塩注射液200mg「第一三共」

添付文書番号

8114401A3085_2_02

企業コード

430574

作成又は改訂年月

**2026年3月改訂(第5版)
2025年4月改訂(第4版)

日本標準商品分類番号

878114

薬効分類名

モルヒネ系製剤

承認等

モルヒネ塩酸塩注射液200mg「第一三共」

販売名コード

YJコード

8114401A3085

販売名英語表記

MORPHINE HYDROCHLORIDE INJECTION 200mg “DAIICHI SANKYO”

販売名ひらがな

もるひねえんさんえんちゅうしゃえき200mg「だいいちさんきょう」

承認番号等

承認番号

22000AMX02230

販売開始年月

2001年8月

貯法・有効期間

貯法

室温保存

有効期間

5年

基準名

日本薬局方

モルヒネ塩酸塩注射液

一般的名称

モルヒネ塩酸塩水和物

2. 禁忌(次の患者には投与しないこと)

  1. 2.1 重篤な呼吸抑制のある患者[呼吸抑制を増強する。]
  2. 2.2 気管支喘息発作中の患者[気道分泌を妨げる。]
  3. 2.3 重篤な肝機能障害のある患者
  4. 2.4 慢性肺疾患に続発する心不全の患者[呼吸抑制や循環不全を増強する。]
  5. 2.5 痙攣状態(てんかん重積症、破傷風、ストリキニーネ中毒)にある患者[脊髄の刺激効果があらわれる。]
  6. 2.6 急性アルコール中毒の患者[呼吸抑制を増強する。]
  7. 2.7 本剤の成分及びアヘンアルカロイドに対し過敏症の患者
  8. 2.8 出血性大腸炎の患者[腸管出血性大腸菌(O157等)や赤痢菌等の重篤な細菌性下痢のある患者では、症状の悪化、治療期間の延長をきたすおそれがある。]
  9. 2.9 ナルメフェン塩酸塩水和物を投与中又は投与中止後1週間以内の患者

3. 組成・性状

3.1 組成

モルヒネ塩酸塩注射液200mg「第一三共」

有効成分1アンプル中
モルヒネ塩酸塩水和物(日局)   200mg/5mL
添加剤1アンプル中
亜硫酸水素ナトリウム0.5mg、pH調節剤

3.2 製剤の性状

モルヒネ塩酸塩注射液200mg「第一三共」

pH2.5~5.0
浸透圧比約0.6(生理食塩液対比)
性状無色~微黄褐色澄明の液で、光によって徐々に黄褐色を帯びる

4. 効能又は効果

  • 激しい疼痛時における鎮痛・鎮静
  • 激しい咳嗽発作における鎮咳
  • 激しい下痢症状の改善及び手術後等の腸管蠕動運動の抑制
  • 麻酔前投薬、麻酔の補助
  • 中等度から高度の疼痛を伴う各種癌における鎮痛

6. 用法及び用量

通常、成人には、モルヒネ塩酸塩水和物として、1回5~10mgを皮下に注射する。また、麻酔の補助として、静脈内に注射することもある。
なお、年齢、症状により適宜増減する。
中等度から高度の疼痛を伴う各種癌における鎮痛において持続点滴静注又は持続皮下注する場合には、通常、成人には、モルヒネ塩酸塩水和物として、1回50~200mgを投与する。
なお、年齢、症状により適宜増減する。

7. 用法及び用量に関連する注意

  1. 7.1 本剤(4%製剤)は、10mgあるいは50mg注射液(1%製剤)の4倍濃度であるので、1%製剤から4%製剤への切り替えにあたっては、持続注入器の注入速度、注入量を慎重に設定し、過量投与とならないように注意して使用すること。
  2. 7.2 本剤(4%製剤)は、皮下又は静脈内注射にのみ使用すること(硬膜外及びくも膜下投与には使用しないこと)。

8. 重要な基本的注意

  1. 8.1 連用により薬物依存を生じることがあるので、観察を十分に行い、慎重に投与すること。
  2. 8.2 眠気、めまいが起こることがあるので、本剤投与中の患者には自動車の運転等危険を伴う機械の操作に従事させないよう注意すること。

9. 特定の背景を有する患者に関する注意

9.1 合併症・既往歴等のある患者

  1. 9.1.1 細菌性下痢のある患者

    治療上やむを得ないと判断される場合を除き、投与しないこと。治療期間の延長をきたすおそれがある。

  2. 9.1.2 心機能障害のある患者

    循環不全を増強するおそれがある。

  3. 9.1.3 呼吸機能障害のある患者

    呼吸抑制を増強するおそれがある。

  4. 9.1.4 脳に器質的障害のある患者

    呼吸抑制や頭蓋内圧の上昇を起こすおそれがある。

  5. 9.1.5 ショック状態にある患者

    循環不全や呼吸抑制を増強するおそれがある。

  6. 9.1.6 代謝性アシドーシスのある患者

    呼吸抑制を起こすおそれがある。

  7. 9.1.7 甲状腺機能低下症(粘液水腫等)の患者

    呼吸抑制や昏睡を起こすおそれがある。

  8. 9.1.8 副腎皮質機能低下症(アジソン病等)の患者

    呼吸抑制作用に対し、感受性が高くなっている。

  9. 9.1.9 薬物依存の既往歴のある患者

    依存性を生じやすい。

  10. 9.1.10 衰弱者

    呼吸抑制作用に対し、感受性が高くなっている。

  11. 9.1.11 前立腺肥大による排尿障害、尿道狭窄、尿路手術術後の患者

    排尿障害を増悪することがある。

  12. 9.1.12 器質的幽門狭窄、麻痺性イレウス又は最近消化管手術を行った患者

    消化管運動を抑制する。

  13. 9.1.13 痙攣の既往歴のある患者

    痙攣を誘発するおそれがある。

  14. 9.1.14 胆嚢障害及び胆石のある患者

    胆道痙攣を起こすことがある。

  15. 9.1.15 重篤な炎症性腸疾患のある患者

    連用した場合、巨大結腸症を起こすおそれがある。

9.2 腎機能障害患者

排泄が遅延し、副作用があらわれるおそれがある。

9.3 肝機能障害患者

  1. 9.3.1 重篤な肝機能障害のある患者

    投与しないこと。昏睡に陥ることがある。

  2. 9.3.2 肝機能障害患者(重篤な肝機能障害のある患者を除く)

    代謝が遅延し、副作用があらわれるおそれがある。

9.5 妊婦

  1. 9.5.1 妊婦又は妊娠している可能性のある女性には、治療上の有益性が危険性を上回ると判断される場合にのみ投与すること。動物実験(マウス、ラット)で催奇形作用(マウスでは脳脱、軸骨格癒合)が報告されている。
  2. 9.5.2 分娩前に投与した場合、出産後新生児に退薬症候(多動、神経過敏、不眠、振戦等)があらわれることがある。
  3. 9.5.3 分娩時の投与により、新生児に呼吸抑制があらわれることがある。

9.6 授乳婦

本剤投与中は授乳を避けさせること。ヒト母乳中へ移行することがある。

9.7 小児等

新生児、乳児では低用量から投与を開始するなど患者の状態を観察しながら、慎重に投与すること。新生児、乳児では呼吸抑制の感受性が高い。

9.8 高齢者

低用量から投与を開始するなど患者の状態を観察しながら、慎重に投与すること。一般に生理機能が低下しており、特に呼吸抑制の感受性が高い。

10. 相互作用

    10.1 併用禁忌(併用しないこと)

    薬剤名等臨床症状・措置方法機序・危険因子

    ナルメフェン塩酸塩水和物

    • セリンクロ

    本剤の離脱症状があらわれるおそれがある。また、本剤の効果が減弱するおそれがある。緊急の手術等によりやむを得ず本剤を投与する場合、患者毎に用量を漸増し、呼吸抑制等の中枢神経抑制症状を注意深く観察すること。また、手術等において本剤を投与することが事前にわかる場合には、少なくとも1週間前にナルメフェン塩酸塩水和物の投与を中断すること。

    μオピオイド受容体拮抗作用により、本剤の作用が競合的に阻害される。

    10.2 併用注意(併用に注意すること)

    薬剤名等臨床症状・措置方法機序・危険因子

    中枢神経抑制剤

    • フェノチアジン系薬剤、バルビツール酸系薬剤等

    吸入麻酔剤

    モノアミン酸化酵素阻害剤

    三環系抗うつ剤

    β-遮断剤

    アルコール

    呼吸抑制、低血圧及び顕著な鎮静又は昏睡が起こることがある。

    相加的に中枢神経抑制作用が増強される。

    クマリン系抗凝血剤

    • ワルファリン

    クマリン系抗凝血剤の作用が増強されることがある。

    機序は不明である。

    抗コリン作動性薬剤

    麻痺性イレウスに至る重篤な便秘又は尿貯留が起こるおそれがある。

    相加的に抗コリン作用が増強される。

    ジドブジン

    (アジドチミジン)

    ジドブジンの副作用(骨髄抑制等)を増強させるおそれがある。

    ジドブジンのグルクロン酸抱合が競合的に阻害され、ジドブジンの代謝が阻害される。

    ブプレノルフィン

    ブプレノルフィンの高用量(8mg連続皮下投与)において、本剤の作用に拮抗するとの報告がある。

    μオピオイド受容体拮抗作用により、本剤の作用が競合的に阻害される。

    クロピドグレル硫酸塩

    チカグレロル

    プラスグレル塩酸塩

    左記の薬剤の血漿中濃度を低下させる可能性がある。

    本剤の消化管運動抑制作用に関連すると考えられる。

    11. 副作用

    次の副作用があらわれることがあるので、観察を十分に行い、異常が認められた場合には投与を中止するなど適切な処置を行うこと。

    11.1 重大な副作用

    1. 11.1.1 依存性(頻度不明)

      連用により生じることがある。また、連用中における投与量の急激な減少ないし投与の中止により、あくび、くしゃみ、流涙、発汗、悪心、嘔吐、下痢、腹痛、散瞳、頭痛、不眠、不安、せん妄、振戦、全身の筋肉・関節痛、呼吸促迫等の退薬症候があらわれることがあるので、投与を中止する場合には、1日用量を徐々に減量するなど、患者の状態を観察しながら行うこと。

    2. 11.1.2 呼吸抑制(頻度不明)

      息切れ、呼吸緩慢、不規則な呼吸、呼吸異常等があらわれた場合には、投与を中止するなど適切な処置を行うこと。なお、本剤による呼吸抑制には、麻薬拮抗剤(ナロキソン、レバロルファン等)が拮抗する。

    3. 11.1.3 錯乱(頻度不明)、せん妄(頻度不明)
    4. 11.1.4 無気肺(頻度不明)、気管支痙攣(頻度不明)、喉頭浮腫(頻度不明)
    5. 11.1.5 麻痺性イレウス(頻度不明)、中毒性巨大結腸(頻度不明)

      炎症性腸疾患の患者に投与した場合、中毒性巨大結腸があらわれるとの報告がある。

    11.2 その他の副作用

    頻度不明

    循環器

    不整脈、血圧変動、顔面潮紅

    精神神経系

    眠気、めまい、不安、不穏、興奮、視調節障害、発汗、痛覚過敏1)、アロディニア

    消化器

    悪心、嘔吐、便秘、口渇

    過敏症

    発疹、そう痒感

    投与部位

    発赤、腫脹、硬結、疼痛

    その他

    排尿障害、尿閉、頭蓋内圧の亢進、脱力

    1) 増量により痛みが増悪する。

    13. 過量投与

    1. 13.1 症状

      呼吸抑制、意識不明、痙攣、錯乱、血圧低下、重篤な脱力感、重篤なめまい、嗜眠、心拍数の減少、神経過敏、不安、縮瞳、皮膚冷感等を起こすことがある。

    2. 13.2 処置

      麻薬拮抗剤投与を行い、患者に退薬症候又は麻薬拮抗剤の副作用が発現しないよう慎重に投与する。なお、麻薬拮抗剤の作用持続時間はモルヒネのそれより短いので、患者のモニタリングを行うか又は患者の反応に応じて初回投与後は注入速度を調節しながら持続静注する。

    14. 適用上の注意

    14.1 薬剤調製時の注意

    低温下では結晶が析出することがあるので、このような場合には体温付近まで加温し、溶解後使用する。

    14.2 薬剤投与時の注意

    1. 14.2.1 モルヒネ製剤のがん疼痛における臨床使用方法としては経口投与又は直腸内投与が不可能なとき、初めて注射を用いる。
    2. 14.2.2 急速静注により、アナフィラキシー、重篤な呼吸抑制、低血圧、末梢循環虚脱、心停止が起こるおそれがあるので、静注する場合には緩徐に行うことが望ましい。

    14.3 薬剤交付時の注意

    本剤が不要となった場合には、病院又は薬局へ返却するなどの処置について適切に指導すること。

    15. その他の注意

    15.1 臨床使用に基づく情報

    **本剤は添加剤として亜硫酸塩を含有している。喘息患者では非喘息患者よりも亜硫酸塩に対する過敏症が多く認められるとの報告がある。

    18. 薬効薬理

    18.1 作用機序

    オピオイド受容体は末梢神経や脳脊髄の神経細胞体および神経終末に広く分布しており、モルヒネはオピオイド受容体のうち主としてμ受容体に作用し、一部κ受容体にも作用する1)

    18.2 薬理作用

    1. 18.2.1 中枢神経系に対する作用

      運動中枢や知覚にほとんど影響を及ぼさない用量で、すでに痛覚を低下させ、また呼吸及び咳嗽中枢を強く抑制し、さらにより大量では催眠作用をあらわす。これらの作用により鎮痛、鎮静、鎮咳の目的に用いられる2)

    2. 18.2.2 消化管に対する作用

      消化管の平滑筋を収縮させ、胃及び腸管の運動を抑制し、また胃液、胆汁、膵液の分泌を減少させ、また肛門括約筋の緊張を高める。
      これらの作用により強い止瀉作用をもたらす2)

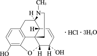
    19. 有効成分に関する理化学的知見

    一般的名称

    モルヒネ塩酸塩水和物(Morphine Hydrochloride Hydrate)

    化学名

    (5R,6S)-4, 5-Epoxy-17-methyl-7, 8-didehydromorphinan-3, 6-diol monohydrochloride trihydrate

    分子式

    C17H19NO3・HCl・3H2O

    分子量

    375.84

    性状

    白色の結晶又は結晶性の粉末である。
    ギ酸に溶けやすく、水にやや溶けやすく、メタノールにやや溶けにくく、エタノール(95)に溶けにくい。
    光によって徐々に黄褐色を帯びる。

    化学構造式

    20. 取扱い上の注意

    外箱開封後は遮光して保存すること。

    22. 包装

    5mL 5アンプル

    24. 文献請求先及び問い合わせ先

    第一三共株式会社 製品情報センター

    〒103-8426 東京都中央区日本橋本町3-5-1

    TEL:0120-065-132(がん・医療用麻薬専用)

    25. 保険給付上の注意

    本剤は厚生労働省告示第75号(平成24年3月5日付)に基づき、1回30日分を限度として投与する。

    26. 製造販売業者等

    26.1 *製造販売元

    第一三共株式会社

    東京都中央区日本橋本町3-5-1

    〒100-0013 東京都千代田区霞が関3-3-2 新霞が関ビル

    画面を閉じる

    Copyright © Pharmaceuticals and Medical Devices Agency, All Rights reserved.