医療用医薬品 詳細表示

ゾルピデム酒石酸塩錠5mg「DSEP」/ゾルピデム酒石酸塩錠10mg「DSEP」

処方せん医薬品

添付文書番号
企業コード
作成又は改訂年月
日本標準商品分類番号
薬効分類名
承認等
一般的名称
1.警告
2.禁忌(次の患者には投与しないこと)
3.組成・性状
3.1組成
3.2製剤の性状
4.効能又は効果
5.効能又は効果に関連する注意
6.用法及び用量
7.用法及び用量に関連する注意
8.重要な基本的注意
9.特定の背景を有する患者に関する注意
9.1合併症・既往歴等のある患者
9.2腎機能障害患者
9.3肝機能障害患者
9.5妊婦
9.6授乳婦
9.7小児等
9.8高齢者
10.相互作用
10.2併用注意(併用に注意すること)
11.副作用
11.1重大な副作用
11.2その他の副作用
13.過量投与
14.適用上の注意
15.その他の注意
15.1臨床使用に基づく情報
16.薬物動態
16.1血中濃度
16.2吸収
16.3分布
16.4代謝
16.5排泄
16.6特定の背景を有する患者
16.7薬物相互作用
17.臨床成績
17.1有効性及び安全性に関する試験
18.薬効薬理
18.1作用機序
19.有効成分に関する理化学的知見
22.包装
23.主要文献
24.文献請求先及び問い合わせ先
25.保険給付上の注意
26.製造販売業者等

ゾルピデム酒石酸塩錠5mg「DSEP」/ゾルピデム酒石酸塩錠10mg「DSEP」

添付文書番号

1129009F1068_1_10

企業コード

430773

作成又は改訂年月

2023年7月改訂(第1版)

日本標準商品分類番号

871129

薬効分類名

入眠剤

承認等

ゾルピデム酒石酸塩錠5mg「DSEP」

販売名コード

YJコード

1129009F1068

販売名英語表記

ZOLPIDEM TARTRATE TABLETS「DSEP」

承認番号等

承認番号

22400AMX00328

販売開始年月

2012年6月

貯法・有効期間

貯法

室温保存

有効期間

3年

基準名

日本薬局方

ゾルピデム酒石酸塩錠

ゾルピデム酒石酸塩錠10mg「DSEP」

販売名コード

YJコード

1129009F2064

販売名英語表記

ZOLPIDEM TARTRATE TABLETS「DSEP」

承認番号等

承認番号

22400AMX00329

販売開始年月

2012年6月

貯法・有効期間

貯法

室温保存

有効期間

3年

基準名

日本薬局方

ゾルピデム酒石酸塩錠

一般的名称

ゾルピデム酒石酸塩錠
Zolpidem Tartrate

1. 警告

本剤の服用後に、もうろう状態、睡眠随伴症状(夢遊症状等)があらわれることがある。また、入眠までの、あるいは中途覚醒時の出来事を記憶していないことがあるので注意すること。,,

2. 禁忌(次の患者には投与しないこと)

  1. 2.1 本剤の成分に対し過敏症の既往歴のある患者
  2. 2.2 重篤な肝障害のある患者,
  3. 2.3 重症筋無力症の患者[筋弛緩作用により症状を悪化させるおそれがある。]
  4. 2.4 急性閉塞隅角緑内障の患者[眼圧が上昇し、症状を悪化させるおそれがある。]
  5. 2.5 本剤により睡眠随伴症状(夢遊症状等)として異常行動を発現したことがある患者[重篤な自傷・他傷行為、事故等に至る睡眠随伴症状を発現するおそれがある。]

3. 組成・性状

3.1 組成

ゾルピデム酒石酸塩錠5mg「DSEP」

有効成分1錠中
ゾルピデム酒石酸塩(日局)   5mg
添加剤乳糖水和物、結晶セルロース、ヒプロメロース、デンプングリコール酸ナトリウム、ステアリン酸マグネシウム、マクロゴール6000、酸化チタン、三二酸化鉄、黄色三二酸化鉄、カルナウバロウ

ゾルピデム酒石酸塩錠10mg「DSEP」

有効成分1錠中
ゾルピデム酒石酸塩(日局)   10mg
添加剤乳糖水和物、結晶セルロース、ヒプロメロース、デンプングリコール酸ナトリウム、ステアリン酸マグネシウム、マクロゴール6000、酸化チタン、三二酸化鉄、黄色三二酸化鉄、カルナウバロウ

3.2 製剤の性状

ゾルピデム酒石酸塩錠5mg「DSEP」

剤形フィルムコーティング錠
(割線入)
色調淡いだいだい色
外形表面
裏面
側面
大きさ直径6.6mm
厚さ2.7mm
質量93mg
識別コードEP
110

ゾルピデム酒石酸塩錠10mg「DSEP」

剤形フィルムコーティング錠
(割線入)
色調淡いだいだい色
外形表面
裏面
側面
大きさ直径8.6mm
厚さ3.3mm
質量185mg
識別コードEP
111

4. 効能又は効果

不眠症(統合失調症及び躁うつ病に伴う不眠症は除く)

5. 効能又は効果に関連する注意

本剤の投与は、不眠症の原疾患を確定してから行うこと。なお、統合失調症あるいは躁うつ病に伴う不眠症には本剤の有効性は期待できない。

6. 用法及び用量

通常、成人にはゾルピデム酒石酸塩として1回5~10mgを就寝直前に経口投与する。なお、高齢者には1回5mgから投与を開始する。年齢、症状、疾患により適宜増減するが、1日10mgを超えないこととする。

7. 用法及び用量に関連する注意

  1. 7.1 本剤に対する反応には個人差があり、また、もうろう状態、睡眠随伴症状(夢遊症状等)は用量依存的にあらわれるので、本剤を投与する場合には少量(1回5mg)から投与を開始すること。やむを得ず増量する場合は観察を十分に行いながら慎重に投与すること。ただし、10mgを超えないこととし、症状の改善に伴って減量に努めること。,,
  2. 7.2 本剤を投与する場合、就寝の直前に服用させること。また、服用して就寝した後、患者が起床して活動を開始するまでに十分な睡眠時間がとれなかった場合、又は睡眠途中において一時的に起床して仕事等を行った場合などにおいて健忘があらわれたとの報告があるので、薬効が消失する前に活動を開始する可能性があるときは服用させないこと。,,
  3. 7.3 高齢者に投与する場合、少量(1回5mg)から投与を開始し、1回10mgを超えないこと。,

8. 重要な基本的注意

  1. 8.1 連用により薬物依存を生じることがあるので、漫然とした継続投与による長期使用を避けること。本剤の投与を継続する場合には、治療上の必要性を十分に検討すること。
  2. 8.2 本剤の影響が翌朝以後に及び、眠気、注意力・集中力・反射運動能力などの低下が起こることがあるので、自動車の運転など危険を伴う機械の操作に従事させないように注意すること。

9. 特定の背景を有する患者に関する注意

9.1 合併症・既往歴等のある患者

  1. 9.1.1 肺性心、肺気腫、気管支喘息及び脳血管障害の急性期などで呼吸機能が高度に低下している患者

    治療上やむを得ないと判断される場合を除き、投与しない。呼吸抑制により炭酸ガスナルコーシスを起こしやすい。

  2. 9.1.2 衰弱患者

    薬物の作用が強くあらわれ、副作用が発現しやすい。

  3. 9.1.3 心障害のある患者

    血圧低下があらわれるおそれがあり、症状の悪化につながるおそれがある。

  4. 9.1.4 脳に器質的障害のある患者

    作用が強くあらわれるおそれがある。

9.2 腎機能障害患者

排泄が遅延し、作用が強くあらわれるおそれがある。

9.3 肝機能障害患者

  1. 9.3.1 重篤な肝障害のある患者

    投与しないこと。代謝機能の低下により血中濃度が上昇し、作用が強くあらわれるおそれがある。,

  2. 9.3.2 肝障害のある患者(重篤な肝障害のある患者を除く)

    代謝機能の低下により血中濃度が上昇し、作用が強くあらわれるおそれがある。

9.5 妊婦

妊婦又は妊娠している可能性のある女性には、治療上の有益性が危険性を上回ると判断される場合にのみ投与すること。本薬はヒトで胎盤を通過することが報告されており、妊娠後期に本剤を投与された患者より出生した児に呼吸抑制、痙攣、振戦、易刺激性、哺乳困難等の離脱症状があらわれることがある。なお、これらの症状は、新生児仮死として報告される場合もある。

9.6 授乳婦

授乳を避けさせること。母乳中へ移行することが報告されており、新生児に嗜眠を起こすおそれがある。

9.7 小児等

小児等を対象とした有効性及び安全性を指標とした臨床試験は実施していない。

9.8 高齢者

運動失調が起こりやすい。また、副作用が発現しやすい。,

10. 相互作用

  • 本剤は、主として肝薬物代謝酵素CYP3A4及び一部CYP2C9、CYP1A2で代謝される。

10.2 併用注意(併用に注意すること)

薬剤名等臨床症状・措置方法機序・危険因子
  • 麻酔剤

呼吸抑制があらわれることがあるので、慎重に投与すること。

相加的に呼吸が抑制される可能性がある。

  • 中枢神経抑制剤
    • フェノチアジン誘導体
    • バルビツール酸誘導体

相互に中枢神経抑制作用が増強することがあるので、慎重に投与すること。

本剤及びこれらの薬剤は中枢神経抑制作用を有する。

  • アルコール(飲酒)

精神機能・知覚・運動機能等の低下が増強することがあるので、できるだけ飲酒を控えさせること。

アルコールはGABAA受容体に作用すること等により中枢神経抑制作用を示すため、併用により相互に中枢神経抑制作用を増強することがある。

  • リファンピシン

本剤の血中濃度が低下し、作用が減弱するおそれがある。

薬物代謝酵素CYP3A4が誘導され、本剤の代謝が促進される。

11. 副作用

次の副作用があらわれることがあるので、観察を十分に行い、異常が認められた場合には投与を中止するなど適切な処置を行うこと。

11.1 重大な副作用

  1. 11.1.1 依存性、離脱症状

    連用により薬物依存(頻度不明)を生じることがあるので、観察を十分に行い、用量及び使用期間に注意し慎重に投与すること。また、連用中における投与量の急激な減少ないし投与の中止により、反跳性不眠、いらいら感等の離脱症状(0.1~5%未満)があらわれることがあるので、投与を中止する場合には、徐々に減量するなど慎重に行うこと。

  2. 11.1.2 精神症状、意識障害

    せん妄(頻度不明)、錯乱(0.1~5%未満)、幻覚、興奮、脱抑制(各0.1%未満)、意識レベルの低下(頻度不明)等の精神症状及び意識障害があらわれることがある。

  3. 11.1.3 一過性前向性健忘(0.1~5%未満)、もうろう状態(頻度不明)、睡眠随伴症状(夢遊症状等)(頻度不明)

    服薬後は直ぐ就寝させ、睡眠中に起こさないように注意すること。なお、十分に覚醒しないまま、車の運転、食事等を行い、その出来事を記憶していないとの報告がある。また、死亡を含む重篤な自傷・他傷行為、事故等の報告もある。,,

  4. 11.1.4 呼吸抑制(頻度不明)

    呼吸機能が高度に低下している患者に投与した場合、炭酸ガスナルコーシスを起こすことがあるので、このような場合には気道を確保し、換気をはかるなど適切な処置を行うこと。

  5. 11.1.5 肝機能障害、黄疸

    AST、ALT、γ‐GTP、Al‐Pの上昇等を伴う肝機能障害、黄疸(いずれも頻度不明)があらわれることがある。

11.2 その他の副作用

0.1~5%未満

0.1%未満

頻度不明

精神神経系

ふらつき、眠気、頭痛、残眠感、頭重感、めまい、不安、悪夢、気分高揚

錯視

しびれ感、振戦

血液

白血球増多、白血球減少

肝臓

ALT上昇、γ‐GTP上昇、AST上昇、LDH上昇

腎臓

蛋白尿

消化器

悪心、嘔吐、食欲不振、腹痛

下痢

口の錯感覚、食欲亢進

循環器

動悸

過敏症

発疹、そう痒感

骨格筋

倦怠感、疲労、下肢脱力感

筋痙攣

複視

視力障害、霧視

その他

口渇、不快感

味覚異常、転倒注1)

注1)転倒により高齢者が骨折する例が報告されている。

13. 過量投与

  1. 13.1 症状

    本剤単独の過量投与では、傾眠から昏睡までの意識障害が報告されているが、さらに中枢神経抑制症状、血圧低下、呼吸抑制、無呼吸等の重度な症状があらわれるおそれがある。

  2. 13.2 処置

    本剤の過量投与が明白又は疑われた場合の処置としてフルマゼニル(ベンゾジアゼピン受容体拮抗剤)を投与する場合には、使用前にフルマゼニルの使用上の注意を必ず読むこと。なお、本剤は血液透析では除去されない。

14. 適用上の注意

14.1 薬剤調製時の注意

錠剤分割後は遮光保存すること。

14.2 薬剤交付時の注意

PTP包装の薬剤はPTPシートから取り出して服用するよう指導すること。PTPシートの誤飲により、硬い鋭角部が食道粘膜へ刺入し、更には穿孔をおこして縦隔洞炎等の重篤な合併症を併発することがある。

15. その他の注意

15.1 臨床使用に基づく情報

投与した薬剤が特定されないままにフルマゼニル(ベンゾジアゼピン受容体拮抗剤)を投与された患者で、新たに本剤を投与する場合、本剤の鎮静、抗痙攣作用が変化、遅延するおそれがある。

16. 薬物動態

16.1 血中濃度

  1. 16.1.1 健康成人

    健康成人6例にゾルピデム酒石酸塩錠2.5~10mg2)を空腹時に単回経口投与したところ、ゾルピデムは速やかに吸収され、投与後0.7~0.9時間に最高血漿中濃度(Cmax)に達した後、消失半減期(t1/2)1.78~2.30時間で速やかに減少した。Cmax及び血漿中濃度-時間曲線下面積(AUC)は投与量に比例して増加した1)。また、健康成人6例にゾルピデム酒石酸塩錠10mgを1日1回7日間朝食後に経口投与したところ、血漿中濃度推移は1日目と7日目でほぼ同じであった1)

    単回経口投与時の薬物速度論的パラメータ

    投与量
    (mg)

    Tmax
    (hr)

    Cmax
    (ng/mL)

    t1/2
    (hr)

    AUC0-∞
    (ng・hr/mL)

    2.5

    5.0

    7.5

    10.0

    0.7±0.3

    0.8±0.3

    0.9±0.6

    0.8±0.3

    32.6±9.6

    76.2±29.7

    102±42

    120±73

    1.78±0.48

    2.06±1.18

    1.86±0.47

    2.30±1.48

    96±58

    259±218

    330±163

    491±474

    (mean±SD)

  2. 16.1.2 生物学的同等性試験

    ゾルピデム酒石酸塩錠5mg「DSEP」ゾルピデム酒石酸塩錠10mg「DSEP」とマイスリー錠5mg、マイスリー錠10mgを、クロスオーバー法によりそれぞれ1錠(ゾルピデム酒石酸塩としてそれぞれ5mg、10mg)健康成人男子に絶食後単回経口投与して血漿中ゾルピデム濃度を測定した。得られた薬物動態パラメータ(AUC、Cmax)について90%信頼区間法にて統計解析を行った結果、log(0.80)~log(1.25)の範囲であり、両剤の生物学的同等性が確認された2)

    • ゾルピデム酒石酸塩錠5mg「DSEP」
      血漿中ゾルピデム濃度の推移
      薬物動態パラメータ

      AUC0-24hr
      (ng・hr/mL)

      Cmax
      (ng/mL)

      Tmax
      (hr)

      t1/2
      (hr)

      ゾルピデム酒石酸塩錠5mg「DSEP」

      310±137

      85.1±31.6

      0.69±0.31

      2.00±0.39

      マイスリー錠5mg

      290±132

      77.8±29.4

      0.98±0.44

      2.10±0.36

      (mean±SD, n=20)

    • ゾルピデム酒石酸塩錠10mg「DSEP」
      血漿中ゾルピデム濃度の推移
      薬物動態パラメータ

      AUC0-24hr
      (ng・hr/mL)

      Cmax
      (ng/mL)

      Tmax
      (hr)

      t1/2
      (hr)

      ゾルピデム酒石酸塩錠10mg「DSEP」

      530±265

      141.6±44.2

      1.23±1.08

      1.86±0.56

      マイスリー錠10mg

      577±309

      158.4±75.2

      1.09±0.85

      1.92±0.66

      (mean±SD, n=20)

      血漿中濃度並びにAUC、Cmax等のパラメータは、被験者の選択、血液の採取回数・時間等の試験条件によって異なる可能性がある。

16.2 吸収

  1. 16.2.1 バイオアベイラビリティ

    健康成人にゾルピデム酒石酸塩錠10mgを経口投与又はゾルピデム酒石酸塩8mgを静脈内投与2)して求めたバイオアベイラビリティは66.6%であった3)(外国人データ)。

  2. 16.2.2 食事の影響

    健康成人6例にゾルピデム酒石酸塩錠10mgを朝食後経口投与すると、空腹時投与に比べて最高血漿中濃度到達時間(Tmax)は0.8±0.3時間(mean±SD)から1.8±1.2時間(mean±SD)に遅延する傾向にあったが、Cmax、AUCともに大きな差はなかった1)

16.3 分布

  1. 16.3.1 乳汁中への移行

    授乳中の女性5例にゾルピデム酒石酸塩錠20mg2)を経口投与したとき、未変化体の乳汁中排泄率は投与量の0.004~0.019%であった。投与後3時間目の乳汁中/血漿中濃度比は0.11~0.18であった4)(外国人データ)。

  2. 16.3.2 蛋白結合率

    健康成人にゾルピデム酒石酸塩10mgを経口投与した後の血漿蛋白結合率は96.0~96.3%であり、血漿中濃度50及び500ng/mLでのin vitro蛋白結合率との間に差は認められなかった5)

16.4 代謝

本剤の大部分は肝で代謝され、その主なものは芳香環のメチル基が酸化されてカルボン酸となった薬理活性を有しない代謝物であった6),7)。また、本剤は肝薬物代謝酵素CYP3A4のほかCYP2C9、CYP1A2など複数の分子種により代謝される8),9)

16.5 排泄

健康成人6例にゾルピデム酒石酸塩錠2.5~10mg2)を空腹時に単回経口投与したところ、投与後24時間までの尿中に排泄された未変化体は、いずれの投与量においても投与量の0.5%以下とごくわずかであった1)。また、健康成人6例にゾルピデム酒石酸塩錠10mgを1日1回7日間朝食後に経口投与したところ、投与初日、4及び7日目投与後24時間の尿中未変化体排泄率は単回投与時と同様、投与量の0.5%以下であった1)

16.6 特定の背景を有する患者

  1. 16.6.1 腎機能障害患者

    慢性腎障害を有する患者16例(Ccr:0~47mL/min)にゾルピデム酒石酸塩10mgを20分間静脈内持続注入2)したところ、健康成人に比べβ相での分布容量(Vdβ)のみ有意に大きかった10)(外国人データ)。
    また、透析を受けている慢性腎障害患者9例にゾルピデム酒石酸塩錠10mgを1日1回13~18日間経口投与したときの血漿中濃度は単回投与時とほぼ同じであり、血中での蓄積は認められなかった10)(外国人データ)。

  2. 16.6.2 肝機能障害患者

    肝硬変患者8例にゾルピデム酒石酸塩錠20mg2)を経口投与したところ、同年齢の健康成人に比べてCmaxは2.0倍、AUCは5.3倍大きかった11)(外国人データ)。,,

    肝硬変患者における薬物速度論的パラメータ

    対象

    Tmax
    (hr)

    Cmax
    (ng/mL)

    t1/2
    (hr)

    AUC0-∞
    (ng・hr/mL)

    肝硬変患者

    健康成人

    0.69±0.54

    0.72±0.42

    499±215

    250±57

    9.91±7.571)

    2.15±0.25

    4203±3773

    788±279

    (mean±SD)

    1) のみn=7

  3. 16.6.3 高齢者

    高齢患者7例(67~80歳、平均75歳)にゾルピデム酒石酸塩錠5mgを経口投与したところ、高齢患者の方が健康成人に比べてCmaxで2.1倍、Tmaxで1.8倍、AUCで5.1倍、t1/2で2.2倍大きかった12),

16.7 薬物相互作用

  1. 16.7.1 リファンピシン

    健康成人8例にリファンピシン600mg又はプラセボを1日1回5日間経口投与し、翌日、ゾルピデム酒石酸塩20mg2)を経口投与したとき、リファンピシン併用時におけるゾルピデムのCmax、AUC及びt1/2はプラセボ併用時に比べてそれぞれ58、73及び33%の有意な低下が認められた13)

2) 本剤の承認された用法及び用量は「通常、成人にはゾルピデム酒石酸塩として1回5~10mgを就寝直前に経口投与する。なお、高齢者には1回5mgから投与を開始する。年齢、症状、疾患により適宜増減するが、1日10mgを超えないこととする。」である。

17. 臨床成績

17.1 有効性及び安全性に関する試験

  1. 17.1.1 国内後期第Ⅱ相用量検索二重盲検群間比較試験

    不眠を主訴とし、常時睡眠薬の投与を必要とする慢性不眠症患者を対象に、ゾルピデム酒石酸塩錠(5mg、10mg、15mg3))又はプラセボを1日1回就寝直前に14日間投与した。主治医の評価による睡眠症状全般改善度の「中等度改善」以上の改善率はプラセボ群で27.8%(10例/36例)、5mg群で52.6%(20例/38例)、10mg群で60.0%(24例/40例)、15mg群3)で55.3%(21例/38例)であった。改善率の検定で10mg群、15mg群3)がプラセボ群に有意に優り(いずれもp<0.05)、順位和検定では5mg、10mg、15mg群3)のすべてがプラセボ群に有意に優った(いずれもp<0.01)。
    副作用発現率は、プラセボ群で14.6%(7例/48例)、内訳はふらつき、頭痛、頭重感、悪夢、倦怠感各2件など、5mg群で12.2%(6例/49例)、内訳は眠気3件、倦怠感、倦怠感の悪化、疲労感の悪化各2件など、10mg群で14.9%(7例/47例)、内訳は頭痛、倦怠感各3件、ふらつき、頭重感、疲労感各2件など、15mg群3)で16.0%(8例/50例)、内訳は眠気2件などであった14)

  2. 17.1.2 国内第Ⅲ相二重盲検群間比較試験(Nitrazepam対照)

    常時睡眠薬の投与を必要とする不眠症患者を対象に、ゾルピデム酒石酸塩錠10mg又はNitrazepam 5mgを1日1回就寝直前に14日間投与した。睡眠症状全般改善度の「中等度改善」以上の改善率はゾルピデム酒石酸塩群で65.6%(42例/64例)、Nitrazepam群で52.2%(35例/67例)であり、U検定でゾルピデム酒石酸塩群が有意に優った(p<0.05)。
    副作用発現率は、ゾルピデム酒石酸塩群で16.5%(13例/79例)、内訳はふらつき、倦怠感各5件、眠気、残眠感各4件、めまい3件、記憶障害、頭痛各2件などであり、Nitrazepam群で18.8%(15例/80例)、内訳はふらつき5件、眠気3件、めまい、倦怠感、頭痛、悪心各2件などで両群の間に差は認められなかった15)

  3. 17.1.3 国内第Ⅲ相二重盲検群間比較試験(Triazolam対照)

    常時睡眠薬の投与を必要とする不眠症患者を対象に、ゾルピデム酒石酸塩錠10mg又はTriazolam 0.25mgを1日1回就寝直前に14日間投与した。睡眠症状全般改善度の「中等度改善」以上の改善率はゾルピデム酒石酸塩群で63.5%(40例/63例)、Triazolam群で75.0%(51例/68例)であり、両群間に有意な差は認められなかった。また、改善率の差の90%信頼区間は-26.2%~3.2%であり、Δ=10%とした時の同等性推論では、ゾルピデム酒石酸塩群のTriazolam群に対する同等性(非劣性)は証明されなかった。
    副作用発現率は、ゾルピデム酒石酸塩群で9.7%(7例/72例)、内訳は頭痛2件など、Triazolam群で4.1%(3例/74例)で、両群間に有意差は認められなかった16)

  4. 17.1.4 国内第Ⅲ相二重盲検群間比較試験(同等性検証試験)(Zopiclone対照)

    週3回以上の不眠を有する慢性不眠症患者(ICD-10を参考として診断)を対象に、ゾルピデム酒石酸塩錠10mg又はZopiclone 7.5mgを1日1回就寝直前に14日間投与した。睡眠症状全般改善度の「中等度改善」以上の改善率はゾルピデム酒石酸塩群で67.9%(142例/209例)、Zopiclone群で61.6%(135例/219例)であった。また、改善率の差の90%信頼区間は-1.7%~14.3%であり、臨床的に許容できると考えられる改善率の差Δ=10%とした時の同等性推論では、ゾルピデム酒石酸塩群のZopiclone群に対する同等性(非劣性)が検証された。
    副作用発現率は、ゾルピデム酒石酸塩群で31.3%(66例/211例)、内訳は頭痛15件、眠気13件、ふらつき9件、悪心、口渇各8件、苦味6件、残眠感5件など、Zopiclone群で45.3%(102例/225例)、内訳は苦味69件、残眠感12件、眠気、頭痛各9件、ふらつき8件、悪心6件、頭重感、倦怠感各5件などで、Zopiclone群が有意に高かった(p<0.01)17),18)

3) 本剤の承認された用法及び用量は「通常、成人にはゾルピデム酒石酸塩として1回5~10mgを就寝直前に経口投与する。なお、高齢者には1回5mgから投与を開始する。年齢、症状、疾患により適宜増減するが、1日10mgを超えないこととする。」である。

18. 薬効薬理

18.1 作用機序

ゾルピデム酒石酸塩は、ω1(BZD1)受容体に対して選択的な親和性を示し、GABAA系の抑制機構を増強するものと考えられる19)

18.2 夜間睡眠に及ぼす影響

ゾルピデム酒石酸塩錠10mgを健康成人に就寝前に投与すると、睡眠潜時を短縮し20)、睡眠後はREM睡眠に影響することなく徐波睡眠を増加させ、翌朝への持ち越し効果、反跳現象はみられなかった20),21),22),23),24)

18.3 記憶機能に対する作用

健康成人にゾルピデム酒石酸塩錠10mgを投与した1時間後には明らかな催眠作用がみられたが、翌朝の記憶検査では影響はみられなかった25),26),27),28)

18.4 動物の脳波に対する作用

ゾルピデム酒石酸塩は、サル、ネコ及びラットにおいて、より選択的に徐波睡眠を増加させた29),30),31)。ネコ及びラットの覚醒-睡眠パターンに対する影響は少なかった32),33)。ラットにおいて、作用発現は速やかで、持続は短かった31)

18.5 その他の中枢作用

ゾルピデム酒石酸塩は、マウスにおいて、鎮静作用の他に、抗痙攣作用、筋弛緩作用等を示すが、鎮静作用が最も少量であらわれた34)。また、ラットにおいて、抗不安作用を示した35)

18.6 反復投与の影響

ゾルピデム酒石酸塩は、マウスにおいて、反復投与しても耐性の形成は弱かった36)

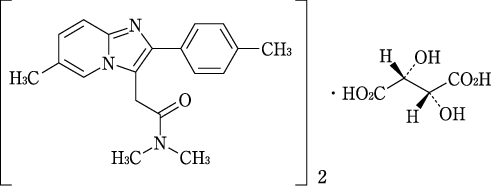
19. 有効成分に関する理化学的知見

一般的名称

ゾルピデム酒石酸塩(Zolpidem Tartrate)

化学名

N,N,6-Trimethyl-2-(4-methylphenyl)imidazo[1,2-a]-pyridine-3-acetamide hemi-(2R,3R)-tartrate

分子式

(C19H21N3O)2・C4H6O6

分子量

764.87

性状

白色の結晶性の粉末である。酢酸(100)に溶けやすく、N,N-ジメチルホルムアミド又はメタノールにやや溶けやすく、水にやや溶けにくく、エタノール(99.5)又は無水酢酸に溶けにくい。0.1mol/L塩酸試液に溶ける。光によって徐々に黄色となる。

化学構造式

旋光度

[α]20D:約+1.8°(1g、N,N-ジメチルホルムアミド、20mL、100mm)

22. 包装

  • ゾルピデム酒石酸塩錠5mg「DSEP」
    • (PTP) 100錠(10錠×10) 500錠(10錠×50)
  • ゾルピデム酒石酸塩錠10mg「DSEP」
    • (PTP) 100錠(10錠×10) 500錠(10錠×50)

23. 主要文献

1) 工藤義雄ほか:臨床医薬 1990;6(4):651-675

2) 社内資料:生物学的同等性に関する資料

3) 健常人における成績(マイスリー錠:2002年9月22日承認、申請資料概要へ.総括.2.1))

4) Pons G, et al.:Eur J Clin Pharmacol. 1989;37(3):245-248

5) 石橋光治ほか:薬物動態 1993;8(4):445-455

6) ラット及びマウスでの代謝物及び類縁物質の薬理作用(マイスリー錠:2002年9月22日承認、申請資料概要ホ.1.5))

7) 海外健康成人・薬物動態(マイスリー錠:2002年9月22日承認、申請資料概要へ.2.3).(1)、ヘ.2.3).(2))

8) Pichard L, et al.:Drug Metab Dispos. 1995;23(11):1253-1262

9) Moltke LL, et al.:Br J Clin Pharmacol. 1999;48(1):89-97

10) 海外慢性腎障害患者・薬物動態(マイスリー錠:2002年9月22日承認、申請資料概要ヘ.3.2).(3))

11) 海外肝硬変患者・薬物動態(マイスリー錠:2002年9月22日承認、申請資料概要ヘ.3.2).(2))

12) 高齢不眠症患者・薬物動態(マイスリー錠:2002年9月22日承認、申請資料概要ヘ.3.2).(1))

13) Villikka K, et al.:Clin Pharmacol Ther. 1997;62(6):629-634

14) 工藤義雄ほか:臨床医薬 1993;9(Suppl.2):57-79

15) 工藤義雄ほか:臨床医薬 1993;9(1):79-105

16) 筒井末春ほか:臨床医薬 1993;9(2):387-413

17) 筒井末春ほか:臨床医薬 2000;16(5):649-669

18) Zopicloneを対照とした試験(マイスリー錠:2002年9月22日承認、申請資料概要ト.1.4).(3))

19) 作用機序(マイスリー錠:2002年9月22日承認、申請資料概要ホ.1.3).(1)、ホ.1.3).(2))

20) 延原健二ほか:神経精神薬理 1992;14(2):137-144

21) 菅野 道ほか:神経精神薬理 1993;15(9):589-602

22) 中込和幸ほか:神経精神薬理 1993;15(9):603-615

23) Nakajima T, et al.:Psychiatry Clin Neurosci. 2000;54(1):37-40

24) Nakajima T, et al.:Life Sci. 2000;67(1):81-90

25) 鈴木牧彦ほか:神経精神薬理 1993;15(6):375-389

26) 内海光朝ほか:神経精神薬理 1994;16(1):45-56

27) Isawa S, et al.:日本神経精神薬理学雑誌 2000;20(2):61-69

28) Uchiumi M, et al.:日本神経精神薬理学雑誌 2000;20(3):123-130

29) 佐藤 壽ほか:ブレインサイエンス 1994;5(3):309-320

30) ネコ・薬理作用(マイスリー錠:2002年9月22日承認、申請資料概要ホ.1.1).(1).ⅱ)

31) ラット・薬理作用(マイスリー錠:2002年9月22日承認、申請資料概要ホ.1.1).(1).ⅲ)

32) ネコ・薬理作用(マイスリー錠:2002年9月22日承認、申請資料概要ホ.1.1).(2).ⅰ)

33) ラット・薬理作用(マイスリー錠:2002年9月22日承認、申請資料概要ホ.1.1).(2).ⅱ)

34) マウス・薬理作用(マイスリー錠:2002年9月22日承認、申請資料概要ホ.1.2).(1))

35) ラット・薬理作用(マイスリー錠:2002年9月22日承認、申請資料概要ホ.1.2).(2))

36) マウス・薬理作用(マイスリー錠:2002年9月22日承認、申請資料概要ホ.1.2).(5).ⅰ)

24. 文献請求先及び問い合わせ先

第一三共エスファ株式会社 お客様相談室

〒103-0027 東京都中央区日本橋2-13-12

TEL:0120-100-601

25. 保険給付上の注意

本剤は厚生労働省告示第97号(平成20年3月19日付)に基づき、1回30日分を限度として投薬する。

26. 製造販売業者等

26.1 製造販売元

第一三共エスファ株式会社

東京都中央区日本橋本町3-5-1

26.2 販売提携

第一三共株式会社

東京都中央区日本橋本町3-5-1

〒100-0013 東京都千代田区霞が関3-3-2 新霞が関ビル

画面を閉じる

Copyright © Pharmaceuticals and Medical Devices Agency, All Rights reserved.