医療用医薬品 詳細表示

カルベジロール錠1.25mg「DSEP」/カルベジロール錠2.5mg「DSEP」/カルベジロール錠10mg「DSEP」/カルベジロール錠20mg「DSEP」

処方せん医薬品

添付文書番号
企業コード
作成又は改訂年月
日本標準商品分類番号
薬効分類名
承認等
一般的名称
1.警告
2.禁忌(次の患者には投与しないこと)
3.組成・性状
3.1組成
3.2製剤の性状
4.効能又は効果
5.効能又は効果に関連する注意
6.用法及び用量
7.用法及び用量に関連する注意
8.重要な基本的注意
9.特定の背景を有する患者に関する注意
9.1合併症・既往歴等のある患者
9.2腎機能障害患者
9.3肝機能障害患者
9.5妊婦
9.6授乳婦
9.7小児等
9.8高齢者
10.相互作用
10.2併用注意(併用に注意すること)
11.副作用
11.1重大な副作用
11.2その他の副作用
13.過量投与
14.適用上の注意
16.薬物動態
16.1血中濃度
16.2吸収
16.3分布
16.4代謝
16.5排泄
16.6特定の背景を有する患者
17.臨床成績
17.1有効性及び安全性に関する試験
18.薬効薬理
18.1作用機序
19.有効成分に関する理化学的知見
22.包装
23.主要文献
24.文献請求先及び問い合わせ先
26.製造販売業者等

カルベジロール錠1.25mg「DSEP」/カルベジロール錠2.5mg「DSEP」/カルベジロール錠10mg「DSEP」/カルベジロール錠20mg「DSEP」

添付文書番号

2149032F1170_1_06

企業コード

430773

作成又は改訂年月

**2024年4月改訂(第2版)
2023年5月改訂(第1版)

日本標準商品分類番号

872149

薬効分類名

カルベジロール錠1.25mg「DSEP」 慢性心不全治療剤
カルベジロール錠2.5mg「DSEP」 慢性心不全治療剤、頻脈性心房細動治療剤
カルベジロール錠10mg「DSEP」 持続性 高血圧・狭心症治療剤、慢性心不全治療剤、頻脈性心房細動治療剤
カルベジロール錠20mg「DSEP」 持続性 高血圧・狭心症治療剤、頻脈性心房細動治療剤

承認等

カルベジロール錠1.25mg「DSEP」

販売名コード

YJコード

2149032F3121

販売名英語表記

CARVEDILOL TABLETS「DSEP」

承認番号等

承認番号

30300AMX00350

販売開始年月

2021年12月

貯法・有効期間

貯法

室温保存

有効期間

3年

基準名

日本薬局方

カルベジロール錠

カルベジロール錠2.5mg「DSEP」

販売名コード

YJコード

2149032F4128

販売名英語表記

CARVEDILOL TABLETS「DSEP」

承認番号等

承認番号

30300AMX00353

販売開始年月

2021年12月

貯法・有効期間

貯法

室温保存

有効期間

3年

基準名

日本薬局方

カルベジロール錠

カルベジロール錠10mg「DSEP」

販売名コード

YJコード

2149032F1170

販売名英語表記

CARVEDILOL TABLETS「DSEP」

承認番号等

承認番号

30300AMX00351

販売開始年月

2021年12月

貯法・有効期間

貯法

室温保存

有効期間

3年

基準名

日本薬局方

カルベジロール錠

カルベジロール錠20mg「DSEP」

販売名コード

YJコード

2149032F2176

販売名英語表記

CARVEDILOL TABLETS「DSEP」

承認番号等

承認番号

30300AMX00352

販売開始年月

2021年12月

貯法・有効期間

貯法

室温保存

有効期間

3年

基準名

日本薬局方

カルベジロール錠

一般的名称

カルベジロール

1. 警告

  • 〈虚血性心疾患又は拡張型心筋症に基づく慢性心不全〉

    慢性心不全治療の経験が十分にある医師のもとで使用すること。

2. 禁忌(次の患者には投与しないこと)

  1. 2.1 気管支喘息、気管支痙攣のおそれのある患者[気管支筋を収縮させることがあるので喘息症状の誘発、悪化を起こすおそれがある。]
  2. 2.2 糖尿病性ケトアシドーシス、代謝性アシドーシスのある患者[心筋収縮力の抑制が増強されるおそれがある。]
  3. 2.3 高度の徐脈(著しい洞性徐脈)、房室ブロック(Ⅱ、Ⅲ度)、洞房ブロックのある患者[症状が悪化するおそれがある。]
  4. 2.4 心原性ショックの患者[循環不全症が悪化するおそれがある。]
  5. 2.5 強心薬又は血管拡張薬を静脈内投与する必要のある心不全患者[心収縮力抑制作用により、心不全が悪化するおそれがある。]
  6. 2.6 非代償性の心不全患者[心収縮力抑制作用により、心不全が悪化するおそれがある。]
  7. 2.7 肺高血圧による右心不全のある患者[心拍出量が抑制され症状が悪化するおそれがある。]
  8. 2.8 *未治療の褐色細胞腫又はパラガングリオーマの患者,
  9. 2.9 本剤の成分に対し過敏症の既往歴のある患者

3. 組成・性状

3.1 組成

カルベジロール錠1.25mg「DSEP」

有効成分1錠中
カルベジロール(日局)   1.25mg
添加剤乳糖水和物、トウモロコシデンプン、クロスカルメロースナトリウム、ヒドロキシプロピルセルロース、軽質無水ケイ酸、ステアリン酸マグネシウム、ヒプロメロース、酸化チタン、タルク、プロピレングリコール、ジメチルポリシロキサン、二酸化ケイ素、黄色三二酸化鉄、カルナウバロウ

カルベジロール錠2.5mg「DSEP」

有効成分1錠中
カルベジロール(日局)   2.5mg
添加剤乳糖水和物、トウモロコシデンプン、クロスカルメロースナトリウム、ヒドロキシプロピルセルロース、軽質無水ケイ酸、ステアリン酸マグネシウム、ヒプロメロース、酸化チタン、タルク、プロピレングリコール、ジメチルポリシロキサン、二酸化ケイ素、カルナウバロウ

カルベジロール錠10mg「DSEP」

有効成分1錠中
カルベジロール(日局)   10mg
添加剤乳糖水和物、トウモロコシデンプン、低置換度ヒドロキシプロピルセルロース、ポリビニルアルコール(部分けん化物)、軽質無水ケイ酸、ステアリン酸マグネシウム、ヒプロメロース、酸化チタン、タルク、プロピレングリコール、ジメチルポリシロキサン、二酸化ケイ素、黄色三二酸化鉄、カルナウバロウ

カルベジロール錠20mg「DSEP」

有効成分1錠中
カルベジロール(日局)   20mg
添加剤乳糖水和物、トウモロコシデンプン、クロスカルメロースナトリウム、ヒドロキシプロピルセルロース、軽質無水ケイ酸、ステアリン酸マグネシウム、ヒプロメロース、酸化チタン、タルク、プロピレングリコール、ジメチルポリシロキサン、二酸化ケイ素、カルナウバロウ

3.2 製剤の性状

カルベジロール錠1.25mg「DSEP」

剤形フィルムコーティング錠
(楕円形・割線入)
色調黄色
外形表面
裏面
側面
大きさ長径10.1mm
短径5.1mm
厚さ約3.1mm
質量約135mg
識別コードcvl
ep

カルベジロール錠2.5mg「DSEP」

剤形フィルムコーティング錠
(楕円形・割線入)
色調白色~微黄白色
外形表面
裏面
側面
大きさ長径10.1mm
短径5.1mm
厚さ約3.1mm
質量約135mg
識別コードcvl
EP

カルベジロール錠10mg「DSEP」

剤形フィルムコーティング錠
(割線入)
色調黄色
外形表面
裏面
側面
大きさ直径8.1mm
厚さ約3.3mm
質量約154mg
識別コードCVL
ep

カルベジロール錠20mg「DSEP」

剤形フィルムコーティング錠
(割線入)
色調白色~微黄白色
外形表面
裏面
側面
大きさ直径8.6mm
厚さ約3.3mm
質量約169mg
識別コードCVL
EP

4. 効能又は効果

  • 本態性高血圧症(軽症~中等症)
  • 腎実質性高血圧症
  • 狭心症
  • 次の状態で、アンジオテンシン変換酵素阻害薬、利尿薬、ジギタリス製剤等の基礎治療を受けている患者
    虚血性心疾患又は拡張型心筋症に基づく慢性心不全
  • 頻脈性心房細動

5. 効能又は効果に関連する注意

  • 〈効能共通〉
    1. 5.1 〈参考〉

      効能又は効果

      錠1.25mg

      錠2.5mg

      錠10mg

      錠20mg

      本態性高血圧症
      (軽症~中等症)

      腎実質性高血圧症

      狭心症

      虚血性心疾患又は拡張型心筋症に基づく慢性心不全

      頻脈性心房細動

      ○:効能あり -:効能なし

  • 〈虚血性心疾患又は拡張型心筋症に基づく慢性心不全〉
    1. 5.2 左室収縮機能障害の原因解明に努めること。可逆的な左室収縮機能障害については、原因除去あるいは他の治療も考慮すること。

6. 用法及び用量

  • 〈本態性高血圧症(軽症~中等症)、腎実質性高血圧症〉

    カルベジロールとして、通常、成人1回10~20mgを1日1回経口投与する。なお、年齢、症状により適宜増減する。

  • 〈狭心症〉

    カルベジロールとして、通常、成人1回20mgを1日1回経口投与する。なお、年齢、症状により適宜増減する。

  • 〈虚血性心疾患又は拡張型心筋症に基づく慢性心不全〉

    カルベジロールとして、通常、成人1回1.25mg、1日2回食後経口投与から開始する。1回1.25mg、1日2回の用量に忍容性がある場合には、1週間以上の間隔で忍容性をみながら段階的に増量し、忍容性がない場合は減量する。用量の増減は必ず段階的に行い、1回投与量は1.25mg、2.5mg、5mg又は10mgのいずれかとし、いずれの用量においても、1日2回食後経口投与とする。通常、維持量として1回2.5~10mgを1日2回食後経口投与する。
    なお、年齢、症状により、開始用量はさらに低用量としてもよい。また、患者の本剤に対する反応性により、維持量は適宜増減する。

  • 〈頻脈性心房細動〉

    カルベジロールとして、通常、成人1回5mgを1日1回経口投与から開始し、効果が不十分な場合には10mgを1日1回、20mgを1日1回へ段階的に増量する。なお、年齢、症状により適宜増減するが、最大投与量は20mgを1日1回までとする。

7. 用法及び用量に関連する注意

  • 〈効能共通〉
    1. 7.1 *褐色細胞腫又はパラガングリオーマの患者では、α遮断薬で初期治療を行った後に本剤を投与し、常にα遮断薬を併用すること。,
  • 〈本態性高血圧症(軽症~中等症)、腎実質性高血圧症、狭心症〉
    1. 7.2 頻脈性心房細動を合併する患者に投与する場合には、頻脈性心房細動の用法及び用量は1日1回5mg投与から開始することに留意した上で、各疾患の指標となる血圧や心拍数、症状等に応じ、開始用量を設定すること。
  • 〈本態性高血圧症(軽症~中等症)、腎実質性高血圧症、狭心症、頻脈性心房細動〉
    1. 7.3 慢性心不全を合併する患者では、慢性心不全の用法及び用量に従うこと。
  • 〈虚血性心疾患又は拡張型心筋症に基づく慢性心不全〉
    1. 7.4 本剤を中止する場合には、急に投与を中止せず、原則として段階的に半量ずつ、2.5mg又は1.25mg、1日2回まで1~2週間かけて減量し中止すること。
    2. 7.5 2週間以上休薬した後、投与を再開する場合には、用法及び用量に従って、低用量から開始し、段階的に増量すること。

8. 重要な基本的注意

  • 〈効能共通〉
    1. 8.1 投与が長期にわたる場合は、心機能検査(脈拍、血圧、心電図、X線等)を定期的に行うこと。また、徐脈となったとき及び低血圧を起こした場合には、ショックに至る例も報告されているので、観察を十分に行い本剤を減量又は中止すること。必要に応じアトロピン硫酸塩、ドブタミン塩酸塩、イソプレナリン塩酸塩、アドレナリン等を使用すること。なお、肝機能、腎機能、血液像等に注意すること。,
    2. 8.2 狭心症などの虚血性心疾患を有する患者において、本剤の投与を急に中止した場合、狭心症発作の頻発・悪化、まれに心筋梗塞及び短時間に過度の突然の血圧上昇を起こす可能性があるので、中止を要する場合は原則として1~2週間かけて段階的に減量し、観察を十分に行うこと。虚血性心疾患以外の患者についても同様の注意をすること(特に高齢者)。また、患者に医師の指示なしに服薬を中止しないよう説明すること。,
    3. 8.3 手術前48時間は投与しないことが望ましい。
    4. 8.4 めまい・ふらつきがあらわれることがあるので、本剤投与中の患者(特に投与初期や増量時)には、自動車の運転等危険を伴う機械の作業をしないように注意させること。
  • 〈虚血性心疾患又は拡張型心筋症に基づく慢性心不全〉
    1. 8.5 重症慢性心不全患者に対する本剤の投与は特に慎重な管理を要するので、本剤の投与初期及び増量時は入院下で行うこと。
    2. 8.6 本剤の投与初期及び増量時は、心不全の悪化、浮腫、体重増加、めまい、低血圧、徐脈、血糖値の変動及び腎機能の悪化が起こりやすいので、観察を十分に行い、忍容性を確認すること。
    3. 8.7 心不全や体液貯留の悪化(浮腫、体重増加等)を防ぐため、本剤の投与前に体液貯留の治療を十分に行うこと。心不全や体液貯留の悪化(浮腫、体重増加等)がみられ、利尿薬増量で改善がみられない場合には本剤を減量又は中止すること。低血圧、めまいなどの症状がみられ、アンジオテンシン変換酵素阻害薬や利尿薬の減量により改善しない場合には本剤を減量すること。高度な徐脈を来たした場合には、本剤を減量すること。また、これら症状が安定化するまで本剤を増量しないこと。

9. 特定の背景を有する患者に関する注意

9.1 合併症・既往歴等のある患者

  1. 9.1.1 特発性低血糖症、コントロール不十分な糖尿病、絶食状態、栄養状態が不良の患者

    血糖値に注意すること。低血糖症状を起こしやすく、かつその症状をマスクしやすい。

  2. 9.1.2 糖尿病を合併した慢性心不全患者

    血糖値が変動するおそれがある。

  3. 9.1.3 心不全を合併した頻脈性心房細動患者

    臨床症状に注意し、心機能検査(脈拍、血圧、心電図、X線等)を行う等、観察を十分に行うこと。心不全を悪化させる可能性がある。

  4. 9.1.4 房室ブロック(Ⅰ度)のある患者

    房室伝導時間が延長し、症状が悪化するおそれがある。

  5. 9.1.5 徐脈のある患者(高度の徐脈(著しい洞性徐脈)のある患者を除く)

    症状が悪化するおそれがある。

  6. 9.1.6 末梢循環障害のある患者(レイノー症候群、間欠性跛行症等)

    末梢血管の拡張を抑制し、症状を悪化させるおそれがある。

  7. 9.1.7 過度に血圧の低い患者

    血圧をさらに低下させるおそれがある。

  8. 9.1.8 *褐色細胞腫又はパラガングリオーマ患者

    本剤の単独投与により急激に血圧が上昇するおそれがある。,

  9. 9.1.9 甲状腺中毒症患者

    本剤の中止を要する場合は原則として1~2週間かけて段階的に減量し、観察を十分に行うこと。急に投与を中止すると、症状を悪化させることがある。

9.2 腎機能障害患者

  1. 9.2.1 重篤な腎機能障害(血清クレアチニン値6mg/dL以上)のある患者

    血中濃度の上昇傾向が報告されている。特に慢性心不全の患者では腎機能が悪化するおそれがある。

9.3 肝機能障害患者

  1. 9.3.1 重篤な肝機能障害のある患者

    投与量を減量するか投与間隔をあけて使用すること。本剤は主として肝臓で代謝される薬剤であり、肝硬変患者において血中濃度の上昇が報告されている。肝機能が悪化するおそれがある。

9.5 妊婦

**妊婦又は妊娠している可能性のある女性には、治療上の有益性が危険性を上回ると判断される場合にのみ投与すること。投与に際しては、母体及び胎児の状態を十分に観察すること。また、出生後も新生児の状態を十分に観察し、新生児の低血糖、徐脈、哺乳不良等の異常が認められた場合には適切な処置を行うこと。

妊婦にβ遮断薬を投与した場合に、胎児の発育不全、新生児の低血糖、徐脈、哺乳不良等が認められたとの報告がある。また、ラットにおける妊娠前及び妊娠初期投与試験において、体表面積換算で臨床用量の約150倍(300mg/kg)で黄体数の減少及び骨格異常(13肋骨の短小)の増加が報告されている。

9.6 授乳婦

治療上の有益性及び母乳栄養の有益性を考慮し、授乳の継続又は中止を検討すること。動物実験(ラット)で乳汁中に移行することが報告されている。

9.7 小児等

小児等を対象とした臨床試験は実施していない。

  1. 9.7.1 重症心不全の幼児及び小児の患者

    重篤な低血糖症状があらわれ、死亡に至った例が報告されている。

9.8 高齢者

低用量から投与を開始するなど、患者の状態を観察しながら慎重に投与することが望ましい。肝機能が低下していることが多いため血中濃度が上昇するおそれがあり、また過度な降圧は好ましくないとされている(脳梗塞等が起こるおそれがある)。

  1. 9.8.1 重症慢性心不全患者

    本剤の副作用が生じやすい。

10. 相互作用

  • 本剤は主にCYP2D6、CYP2C9及びCYP3A4で代謝される。

10.2 併用注意(併用に注意すること)

薬剤名等臨床症状・措置方法機序・危険因子

交感神経系に対し抑制的に作用する他の薬剤

  • レセルピン等

交感神経系に対し、過剰の抑制をきたすことがある。
用量を調節する。

相互に交感神経抑制作用を増強すると考えられている。

血糖降下薬

  • インスリン等

血糖降下作用が増強されることがある。

非選択性β遮断薬はカテコールアミンと競合的に拮抗することにより、肝臓での糖新生を抑制すると考えられている。

カルシウム拮抗薬

  • ベラパミル塩酸塩等

心不全や低血圧を引き起こすことがある。

相互に心収縮力・刺激伝導系の抑制作用、血圧低下作用を増強すると考えられている。

ヒドララジン塩酸塩

本剤の作用が増強されるおそれがある。

ヒドララジン塩酸塩により、本剤の肝初回通過効果が減少し、血中濃度が上昇する可能性がある。

クロニジン塩酸塩

クロニジン塩酸塩中止後のリバウンド現象を増強する可能性がある。
クロニジン塩酸塩から本剤へ変更する場合、クロニジン塩酸塩を中止した数日後から本剤を投与する。また、本剤中止後数日間はクロニジン塩酸塩を中止しない。

クロニジン塩酸塩中止により末梢でのノルアドレナリン遊離が増加するが、β遮断薬併用の場合、ノルアドレナリンの作用のうち、α刺激作用が優位になり、急激な血圧上昇を起こすと考えられている。

クラスⅠ抗不整脈薬

  • ジソピラミド、プロカインアミド塩酸塩等

過度の心機能抑制作用があらわれることがある。
用量を調節する。

相互に心機能抑制作用を増強すると考えられている。

アミオダロン塩酸塩

心刺激伝導抑制障害(徐脈、心停止等)があらわれるおそれがある。定期的な心電図モニターを実施する。

アミオダロン塩酸塩により、本剤の肝初回通過効果が減少し、血中濃度が上昇する可能性がある。

シクロスポリン

シクロスポリンの血中濃度が上昇するおそれがある。
用量を調節する。

機序不明

リファンピシン

本剤の作用が減弱されるおそれがある。

リファンピシンにより、薬物代謝酵素P450(主にCYP3A4)が誘導され、本剤の代謝が亢進し、血中濃度が低下すると考えられている。

シメチジン

本剤の作用が増強されるおそれがある。

これらの薬剤により、薬物代謝酵素P450が阻害され、本剤の代謝が抑制される結果、血中濃度が上昇すると考えられている。

選択的セロトニン再取り込み阻害剤

  • パロキセチン塩酸塩等

本剤の作用が増強されるおそれがある。

これらの薬剤により、薬物代謝酵素P450が阻害され、本剤の代謝が抑制される結果、血中濃度が上昇すると考えられている。

ジギタリス製剤

  • ジゴキシン等

心刺激伝導抑制障害(徐脈、房室ブロック等)があらわれるおそれがある。ジギタリスの濃度が上昇し、中毒症状が発現する可能性もある。
用量を調節する。

相互に刺激伝導抑制作用を増強する可能性がある。
また、ジギタリスの生物学的利用率が上昇し、血中濃度が上昇すると考えられている。

利尿降圧剤

  • フロセミド
  • トリクロルメチアジド
  • スピロノラクトン等

降圧作用が増強することがある。
併用する場合は用量に注意する。

相加的に降圧作用を増強させる。

*交感神経刺激剤

  • アドレナリン等

(1)相互の薬剤の効果が減弱する。
(2)血圧上昇、徐脈があらわれることがある。

(1)本剤のβ遮断作用により、アドレナリンの作用が抑制される。また、アドレナリンのβ刺激作用により本剤のβ遮断作用が抑制される。
(2)本剤のβ遮断作用により、α刺激作用が優位になると考えられている。

非ステロイド性消炎鎮痛剤

  • インドメタシン
  • ロキソプロフェン
  • アスピリン等

本剤の降圧作用が減弱するおそれがある。

非ステロイド性消炎鎮痛剤は、血管拡張作用を有するプロスタグランジンの合成・遊離を阻害する。

11. 副作用

次の副作用があらわれることがあるので、観察を十分に行い、異常が認められた場合には投与を中止するなど適切な処置を行うこと。

11.1 重大な副作用

  1. 11.1.1 高度な徐脈(頻度不明)、ショック(頻度不明)、完全房室ブロック(頻度不明)、心不全(頻度不明)、心停止(頻度不明)

    重大な循環器系の副作用があらわれることがあるので、これらの症状があらわれた場合には減量又は投与を中止し、適切な処置を行うこと。

  2. 11.1.2 肝機能障害(頻度不明)、黄疸(頻度不明)

    AST、ALT、γ-GTPの上昇等を伴う肝機能障害や黄疸があらわれることがある。

  3. 11.1.3 急性腎障害(頻度不明)
  4. 11.1.4 中毒性表皮壊死融解症(Toxic Epidermal Necrolysis:TEN)(頻度不明)、皮膚粘膜眼症候群(Stevens-Johnson症候群)(頻度不明)
  5. 11.1.5 アナフィラキシー(頻度不明)

11.2 その他の副作用

  • 〈本態性高血圧症(軽症~中等症)、腎実質性高血圧症、狭心症、頻脈性心房細動〉

0.1~5%未満

0.1%未満

頻度不明

過敏症

発疹、そう痒感

循環器

徐脈、顔面潮紅

低血圧、動悸、頻脈、心房細動、期外収縮、脚ブロック、血圧上昇、心胸比増大、四肢冷感、房室ブロック、狭心症

呼吸器

喘息様症状

咳嗽、呼吸困難、息切れ、鼻閉

精神神経系

めまい、眠気、頭痛

失神、不眠、抑うつ、注意力低下、異常感覚(四肢のしびれ感等)、幻覚

消化器

胃部不快感、嘔吐

悪心

便秘、下痢、食欲不振、腹痛

代謝

CK上昇

血糖値上昇、尿酸上昇、総コレステロール上昇、ALP上昇、LDH上昇、低血糖、尿糖、トリグリセリド上昇、カリウム上昇、糖尿病悪化、カリウム低下、ナトリウム低下

肝臓

AST上昇、ALT上昇

腎臓・泌尿器

腎機能障害(BUN上昇、クレアチニン上昇等)、尿失禁、頻尿、蛋白尿

血液

貧血、白血球減少、血小板減少

霧視、涙液分泌減少

その他

倦怠感

浮腫、脱力感、勃起不全、耳鳴、疲労感、胸痛、疼痛、発汗、口渇

  • 〈虚血性心疾患又は拡張型心筋症に基づく慢性心不全〉

5%以上

5%未満

頻度不明

過敏症

発疹、そう痒感

循環器

徐脈、動悸、頻脈、心房細動、期外収縮、房室ブロック、脚ブロック、低血圧、血圧上昇、四肢冷感、顔面潮紅

心胸比増大、狭心症

呼吸器

呼吸困難、息切れ

喘息様症状、咳嗽、鼻閉

精神神経系

めまい

不眠、頭痛

眠気、注意力低下、失神、抑うつ、異常感覚(四肢のしびれ感等)、幻覚

消化器

悪心、胃部不快感、便秘、下痢、食欲不振

腹痛、嘔吐

代謝

血糖値上昇、尿糖、LDH上昇、総コレステロール上昇、CK上昇

糖尿病悪化、ALP上昇、尿酸上昇、カリウム上昇、ナトリウム低下、カリウム低下

低血糖、トリグリセリド上昇

肝臓

AST上昇、ALT上昇

腎臓・泌尿器

腎機能障害(BUN上昇、クレアチニン上昇等)

蛋白尿

尿失禁、頻尿

血液

貧血、血小板減少、白血球減少

霧視、涙液分泌減少

その他

浮腫、倦怠感、疲労感、胸痛

耳鳴、脱力感、勃起不全、疼痛、発汗、口渇

13. 過量投与

  1. 13.1 症状

    重症低血圧、徐脈、心不全、心原性ショック、心停止に至るおそれがある。また、呼吸器障害、気管支痙攣、嘔吐、意識障害、全身の痙攣発作をきたすおそれがある。

  2. 13.2 処置

    本剤を中止し、次のような処置を行う。なお、本剤は血液透析により除去されにくい。

    1. 13.2.1 過度の徐脈

      アトロピン硫酸塩、イソプレナリン塩酸塩等の投与や心臓ペーシングを適用する。

    2. 13.2.2 心不全、低血圧

      強心薬、昇圧薬、輸液等の投与や補助循環を適用する。

    3. 13.2.3 気管支痙攣

      β2刺激薬又はアミノフィリンを静注する。

    4. 13.2.4 痙攣発作

      ジアゼパムを徐々に静注する。

14. 適用上の注意

14.1 薬剤交付時の注意

PTP包装の薬剤はPTPシートから取り出して服用するよう指導すること。PTPシートの誤飲により、硬い鋭角部が食道粘膜へ刺入し、更には穿孔をおこして縦隔洞炎等の重篤な合併症を併発することがある。

16. 薬物動態

16.1 血中濃度

  1. 16.1.1 単回投与

    健康成人男性にカルベジロールを10及び20mg(各投与量5例)を単回経口投与したとき、Cmaxはそれぞれ22.6±4.7、53.1±14.7ng/mLであり、投与量にほぼ比例して上昇した。また、連続経口投与においても蓄積性は認められなかった1)

    単回経口投与時のカルベジロールの血漿中濃度推移
    単回経口投与時のカルベジロールの薬物動態パラメータ

    投与量

    10mg

    20mg

    Tmax(hr)

    0.9±0.3

    0.9±0.1

    Cmax(ng/mL)

    22.6±4.7

    53.1±14.7

    t1/2(hr)

    4.26±1.43

    8.03±1.92

    AUC(ng・hr/mL)

    59.9±12.7

    232.5±68.1

    算術平均値±標準誤差

  2. 16.1.2 本態性高血圧症患者
    1. (1) 単回投与

      本態性高血圧症患者4例にカルベジロール10mgを食後経口投与したとき、投与2時間後の血漿中濃度は25.1±8.0ng/mLであった。健康成人男性4例にカルベジロール10mgを食後経口投与した場合の投与2時間後の血漿中濃度(21.8±5.6ng/mL)と同程度であり、本態性高血圧症患者における血漿中濃度の推移は健康成人と類似していた。

  3. 16.1.3 狭心症患者
    1. (1) 単回投与

      狭心症患者15例にカルベジロール10mgを食後経口投与したとき、投与2時間後の血漿中濃度は18.8±4.1ng/mLであった。健康成人男性4例にカルベジロール10mgを食後経口投与した場合の投与2時間後の血漿中濃度(21.8±5.6ng/mL)と同程度であり、狭心症患者における血漿中濃度の推移は健康成人男性と類似していた。

  4. 16.1.4 慢性心不全患者
    1. (1) 反復投与

      軽症~中等症の慢性心不全患者にカルベジロールを1回2.5、5、10mg(各投与量9例)、1日2回連続食後経口投与し、約1週間後のCmaxはそれぞれ10.1±1.7、25.0±5.0、52.8±10.4ng/mLであり、投与量にほぼ比例して上昇した。また、1回10mg、1日2回連続食後経口投与し、約1週間後の薬物動態パラメータは次のとおりであり、健康成人男性7例に比して慢性心不全ではCmaxが約2倍、AUCが約4倍に上昇する傾向が認められた。

      慢性心不全患者におけるカルベジロールの薬物動態パラメータ

      投与量
      (被験者)

      10mg 1日2回連続投与
      (健康成人男性)

      10mg 1日2回連続投与
      (軽症~中等症慢性心不全患者)

      Tmax(hr)

      2.4±0.4

      2.6±0.4

      Cmax(ng/mL)

      22.9±4.5

      52.8±10.4

      t1/2(hr)

      3.25±0.67

      4.36±0.41

      AUC(ng・hr/mL)

      81.3±9.6

      297.1±64.9

      算術平均値±標準誤差

16.2 吸収

健康成人男性20例(19~45歳)にカルベジロール12.5mg静脈内投与1)(1時間注入)、25及び50mgの経口投与(カプセル)を1~2週間間隔で行い血漿中未変化体濃度を測定した結果、絶対生物学的利用率は22~24%であった2)(外国人データ)。

16.3 分布

  1. 16.3.1 組織分布

    ラットに14C-カルベジロール10mg/kgを単回経口投与した場合、組織内放射能濃度は多くの組織で投与後1~3時間で最高濃度に達した。投与後1時間では消化管、肝、肺、腎、副腎の順に高く、脳、生殖器では低値であった。

  2. 16.3.2 蛋白結合率

    14C-カルベジロールのヒト血清蛋白に対する結合性を50~1,000ng/mLの濃度範囲で平衡透析法を用いて検討したところ、94.2~96.1%の結合率であった(in vitro)。

16.4 代謝

  1. 16.4.1 血漿及び尿中代謝物

    健康成人男性3例に14C-カルベジロール50mgを経口投与した場合、主要代謝物は未変化体のグルクロン酸抱合体[血漿中存在率22%(投与後1.5時間)、尿中存在率32.4%(投与後12時間までの蓄積尿)]であった(外国人データ)。カルベジロールの主要な消失経路は代謝である。

  2. 16.4.2 薬物の肝酸化型代謝に関与するチトクロームP450分子種

    カルベジロールの代謝に関与するチトクロームP450の主な分子種はCYP2D6及びCYP2C9であり、次いでCYP3A4、CYP1A2、CYP2E1が関与した3)

16.5 排泄

健康成人男性3例に14C-カルベジロール50mgを経口投与した場合、放射能排泄率は投与168時間では尿中に15.9%、糞中に59.5%であった(外国人データ)。
健康成人男性5例にカルベジロール20mgを単回経口投与した場合、投与後48時間までの尿中未変化体排泄率は投与量の約0.2%、糞中未変化体排泄率は約22.7%であった1)

16.6 特定の背景を有する患者

  1. 16.6.1 腎機能障害患者

    腎実質性高血圧患者9例にカルベジロール5mgを単回及び連続経口投与したとき、血清クレアチニン値が6mg/dL以下の腎機能障害患者では、Cmaxの上昇はみられず、連続投与においても健康成人と同様、蓄積性は認められなかったが、血清クレアチニン値が6mg/dL以上の腎機能障害患者では、健康成人に比べCmaxが上昇する傾向が認められた4)

  2. 16.6.2 透析患者

    透析患者6例にカルベジロール10mgを透析直前に単回経口投与し、投与5時間まで透析を実施したときの血漿中未変化体濃度推移は、健康成人に比してTmaxがやや遅延したが、Cmaxには差がなかった5)

  3. 16.6.3 肝機能障害患者

    肝硬変患者6例にカルベジロール25mgを空腹時単回経口投与したとき、全身クリアランスが健康成人の64%に低下し、Cmaxは4.4倍に上昇した。

1) 本剤の承認された投与経路は、経口投与である。

17. 臨床成績

17.1 有効性及び安全性に関する試験

  • 〈本態性高血圧症(軽症~中等症)〉
    1. 17.1.1 国内臨床試験

      二重盲検を含む試験において、本態性高血圧症に対する有効率(下降以上)は、70.9%(502/708例)であった6),7),8),9)

    2. 17.1.2 国内第Ⅲ相試験

      軽・中等度本態性高血圧症患者を対象とした二重盲検比較試験において、カルベジロール5~20mg2)を114例に、ラベタロール150~450mgを115例に12週間経口投与した。著明下降あるいは下降の降圧効果(下降以上)を示したのは、カルベジロール群で52.3%(56/107例)、ラベタロール群で62.5%(70/112例)であった。また、12週間投与された完了例において、投与終了時の平均血圧降下度が13mmHg以上の下降症例はそれぞれ、63.3%(50/79例)、66.3%(53/80例)であった。副作用発現率はカルベジロール群で8.4%(9/107例、11件)であり、主なものは徐脈、ふらつきが各2件であった。

    3. 17.1.3 国内臨床試験(長期)

      本態性高血圧症患者94例に対して、カルベジロール単独(5~20mg2))又は利尿薬との併用で1年以上投与したとき、著明下降あるいは下降の降圧効果を示したのは66.3%(59/89例)であった。副作用発現率は11.7%(11/94例、16件)であり、主なものは徐脈3件、めまい、全身倦怠感が各2件であった9)

    2) 本剤の本態性高血圧症に対する承認用量は10~20mgである。

  • 〈腎実質性高血圧症〉
    1. 17.1.4 国内臨床試験

      腎実質性高血圧症に対して、カルベジロール5~20mg3)を投与したときの有効率(下降以上)は、68.2%(45/66例)であった10)

    2. 17.1.5 国内臨床試験(長期)

      腎実質性高血圧症19例に対して、カルベジロール単独(5~20mg3))又は利尿薬との併用で1年以上投与したとき、著明下降あるいは下降の降圧効果を示したのは66.7%(12/18例)であった。単独群では副作用は認められず、併用群で1例にふらつきが発現した。

    3) 本剤の腎実質性高血圧症に対する承認用量は10~20mgである。

  • 〈狭心症〉
    1. 17.1.6 国内臨床試験

      狭心症に対する有効率(中等度改善以上)は、71.1%(118/166例)であった11),12)

    2. 17.1.7 国内第Ⅱ相試験(用量設定試験)

      狭心症患者75例を対象とした二重盲検比較試験において、カルベジロールの3用量(5、10、20mg4))を2週間経口投与した。全般改善度において、著明改善を示したのは5mg群で0%(0/21例)、10mg群で4.5%(1/22例)、20mg群で23.8%(5/21例)であり、用量依存性が認められた。副作用は5mg群、20mg群に各1例、10mg群に2例発現した。

    3. 17.1.8 国内第Ⅲ相試験

      狭心症患者を対象とした二重盲検比較試験において、カルベジロール20mgを56例に、アテノロール50mgを56例に4週間経口投与した。全般改善度において、著明改善を示したのはカルベジロール群で21.7%(10/46例)、アテノロール群で13.3%(6/45例)であり、中等度改善以上はそれぞれ、73.9%(34/46例)、55.6%(25/45例)であった。副作用発現率はカルベジロール群で3.7%(2/54例、5件)であり、頭痛及び耳鳴が各2件、脱力感が1件認められた12)

    4. 17.1.9 国内第Ⅲ相試験

      狭心症患者を対象とした二重盲検比較試験において、カルベジロール20mgを27例に、アテノロール50mgを26例に2週間経口投与した。運動耐容能を主指標とした全般改善度において、著明改善を示したのはカルベジロール群で17.4%(4/23例)、アテノロール群で12.5%(3/24例)であり、中等度改善以上はそれぞれ、60.9%(14/23例)、62.5%(15/24例)であった。副作用発現率はカルベジロール群で12.0%(3/25例、4件)であり、眠気、頭のふらつき、手足のしびれ、胃部不快感が各1件認められた。

    5. 17.1.10 国内臨床試験(長期)

      狭心症患者19例に対して、カルベジロール5~20mg4)を6ヵ月以上投与したとき、全般改善度で中等度改善以上を示したのは94.1%(16/17例)であった。副作用は認められなかった。

    4) 本剤の狭心症に対する承認用量は20mgである。

  • 〈虚血性心疾患又は拡張型心筋症に基づく慢性心不全〉
    1. 17.1.11 国内臨床試験(血行動態に及ぼす影響)

      軽症~中等症の慢性心不全患者28例を対象とし、カルベジロール10~30mg/日(1日2回)6)を26~52週間投与した。全般改善率(中等度改善以上)は、37.5%(9/24例)であった。副作用発現率は51.9%(14/27例)であり、主なものは立ちくらみが14.8%(4/27例)、めまいが11.1%(3/27例)であった。

    2. 17.1.12 国内臨床試験(慢性心不全患者を対象とした薬物動態試験)

      軽症~中等症の慢性心不全患者10例を対象とし、カルベジロール20mg/日(1日2回)を12~16週間投与した。全般改善率(中等度改善以上)は、33.3%(3/9例)であった。副作用発現率は40.0%(4/10例)であり、主なものはめまい及び動悸が各20.0%(2/10例)であった。

    3. 17.1.13 国内臨床試験(神経体液性因子に及ぼす影響)

      軽症~中等症の慢性心不全患者11例を対象とし、カルベジロール5~30mg/日(1日2回)6)を48~52週間投与した。全般改善率(中等度改善以上)は、0%(0/10例)であった。副作用発現率は54.5%(6/11例)であり、心不全が45.5%(5/11例)、血圧低下が9.1%(1/11例)であった。

    4. 17.1.14 国内第Ⅱ相試験

      軽症~中等症の慢性心不全患者を対象とした二重盲検比較試験において、プラセボ群(49例)、カルベジロール5mg/日(1日2回)群(47例)、カルベジロール20mg/日(1日2回)群(78例)の3群に、24~48週間投与した。左室駆出率の用量依存的(P=0.018)な改善(観察期からの変化:プラセボ群+6.6%(37例)、5mg/日群+8.7%(40例)、20mg/日群+13.2%(66例))、並びに心血管系の理由による入院率の用量依存的(P<0.001)な低下(入院率:プラセボ群24.5%(12/49例)、5mg/日群4.3%(2/47例)、20mg/日群3.9%(3/77例))が認められた。全般改善率(中等度改善以上)はプラセボ群36.7%(18/49例)、5mg/日群44.7%(21/47例)、20mg/日群59.7%(46/77例)であり、用量依存性(P=0.010)が認められた。副作用発現率は5mg/日群で36.2%(17/47例)、20mg/日群で46.8%(36/77例)であった。主なものは、5mg/日群では突然死が4.3%(2/47例)、20mg/日群では心不全が11.7%(9/77例)であった13)

    5. 17.1.15 海外第Ⅲ相試験

      軽症~中等症の慢性心不全患者を対象とした4つのプラセボ対照大規模二重盲検比較試験において、カルベジロール12.5~100mg/日(1日2回)6)を24~48週間投与した結果、全死亡率はプラセボ群で7.8%(31/398例)、カルベジロール群で3.0%(21/696例)であり、カルベジロール投与によりプラセボ群と比較して死亡率の有意な低下が認められた(P<0.001)。各試験の死亡率は次のとおりであった14)

      試験

      プラセボ群
      死亡例数/評価例数(%)

      カルベジロール群
      死亡例数/評価例数(%)

      相対危険度
      (95%信頼区間)

      P5)

      220

      13/84(15.5)

      11/261(4.2)

      0.25(0.11~0.55)

      P<0.001

      221

      11/145(7.6)

      6/133(4.5)

      0.57(0.21~1.54)

      P=0.261

      239

      2/35(5.7)

      2/70(2.9)

      0.54(0.08~3.85)

      P=0.533

      240

      5/134(3.7)

      2/232(0.9)

      0.22(0.04~1.14)

      P=0.048

      合計

      31/398(7.8)

      21/696(3.0)

      0.33(0.19~0.59)

      P<0.001

      5) log-rank検定

    6. 17.1.16 海外第Ⅲ相試験(重症)

      重症の慢性心不全2,289例を対象としたプラセボ対照大規模二重盲検試験において、カルベジロール6.25~50mg/日(1日2回)6)を投与した。死亡率はプラセボ群で16.8%(190/1,133例)、カルベジロール群で11.2%(130/1,156例)であり、カルベジロール投与によりプラセボ群と比較して死亡率の有意な低下が認められた(P=0.00013)。カルベジロール群における副作用発現率は44.1%(510/1,156例)であり、主なものは無力症5.5%(64/1,156例)等の一般的全身症状、低血圧9.3%(107/1,156例)、徐脈8.3%(96/1,156例)、うっ血性心不全4.2%(49/1,156例)、失神3.7%(43/1,156例)等の循環器症状、めまい16.4%(190/1,156例)、頭痛2.1%(24/1,156例)等の精神神経系症状、呼吸困難3.6%(42/1,156例)等の呼吸器症状等であった15)

      6) 本剤の慢性心不全に対する承認用量は、1回1.25mg、1日2回投与から開始し、維持量として1回2.5~10mgの1日2回投与である。

  • 〈頻脈性心房細動〉
    1. 17.1.17 国内第Ⅲ相試験

      持続性又は永続性心房細動に対する心拍数減少効果を、ホルター心電図の24時間平均心拍数を指標とした二重盲検比較試験において5mg固定群、10mg漸増群又は20mg漸増群で比較した(5mg 1日1回投与から開始し、2週ごとに増量の要否を判断し、5mg維持、あるいは10mg又は20mg 1日1回投与まで段階的に増量し6週まで投与)。
      5mg/日投与(2週時)により投与前値からの有意な心拍数減少が認められた[6.6拍/分(算術平均値)、t検定:P<0.0001]。4週時には5mg固定群(5mg/日)で6.3拍/分(最小二乗平均値、以下同様)、漸増群(5~10mg/日投与)で8.6拍/分の心拍数減少が、6週時には5mg固定群で7.7拍/分、20mg漸増群(5~20mg/日投与)で10.7拍/分の心拍数減少が認められ、漸増時の心拍数減少効果がより大きかった。また、6週時には用量依存的な心拍数減少効果の増大傾向(5mg固定群で7.6拍/分、10mg漸増群で8.9拍/分、20mg漸増群で10.6拍/分)がみられた。副作用発現率は7.9%(10/127例)で、主なものは慢性心不全1.6%(2/127例)、LDH上昇1.6%(2/127例)、γ-GTP上昇1.6%(2/127例)であった16)

18. 薬効薬理

18.1 作用機序

カルベジロールは、β受容体遮断作用に加え、α1受容体遮断作用を主とした血管拡張作用をも有し、総末梢血管抵抗及び主要臓器の血管抵抗を維持、減少させる。

18.2 交感神経β受容体遮断作用

無麻酔犬におけるイソプレナリン頻脈に対して持続的な非選択的β受容体遮断作用を示した。また、狭心症患者で運動負荷時の心拍数増加を単回投与後24時間においても抑制した。

18.3 降圧作用

高血圧自然発症ラット、腎性高血圧ラット17)において速やかで持続的な降圧作用を示した。本態性高血圧症患者に1日1回投与した場合、血圧日内変動に影響を与えず、24時間にわたって安定した降圧作用を示した7)

18.4 血管拡張作用

各種実験において血管拡張作用が認められ、作用機序にはα1受容体遮断作用が主に関与していると考えられている18)。健康成人においてもα及びβ受容体遮断作用を示し、その作用比はおよそ1:8であった19)

18.5 血行動態改善作用

高血圧自然発症ラットにおいて、脳、心、腎などの主要臓器血流を維持し、良好な循環動態を示した。本態性高血圧症患者では、総頸動脈血流量、四肢動脈血流量の増加、また狭心症患者20)では、左室拡張末期容積の減少及び安静時の左室駆出分画の増加が認められた。

18.6 腎機能への影響

腎障害合併高血圧モデルにおいて降圧作用、腎血流量増加作用を示し21)、血清クレアチニン上昇・尿蛋白増加の抑制を示した17)
麻酔犬を用いた実験により、腎輸入細動脈を選択的に拡張し、腎血流量を増加し、糸球体濾過量を維持することが明らかにされた22)

18.7 抗狭心症作用

イヌ及び健康成人でイソプレナリン負荷、あるいは運動負荷による心拍数の増加を抑制し、心筋酸素消費量を減少させた。
また、狭心症患者で、長時間心電図上、心拍数の減少及びST下降、特に無症候性ST下降の抑制を示し23)、また運動負荷による血圧上昇、心拍数の増加及びST変化の抑制が認められた。

18.8 虚血心筋保護作用

ラット摘出虚血再灌流心においてATP、ATP/ADP比、エネルギーチャージ[(ATP+1/2ADP)/(ATP+ADP+AMP)]の減少を有意に抑制した。また、ブタ、イヌ虚血再灌流心ではその梗塞サイズをプロプラノロールに比し有意に減少した24)

18.9 抗心不全作用

冠動脈結紮心不全モデルラットにおいて、本剤投与群(結紮の翌日より投与)は溶媒投与群に比べ左室機能(左室駆出率、左室拡張末期圧)の改善を示した。Dahl食塩感受性ラットにおいて、本剤投与群(心不全発症前より投与)は溶媒投与群に比べ左室機能(左室拡張末期圧)及び生存率の改善を示した。また、冠動脈塞栓心不全モデルイヌにおいて、本剤投与群は無投与群に比べ左室機能(左室駆出率)の改善ならびに左室リモデリングの進展抑制(左室収縮末期容積及び左室拡張末期容積の縮小)を示した25)

18.10 その他の薬理作用

ラット、ウサギにおいて膜安定化作用が認められた。また、内因性交感神経刺激作用は認められなかった。
さらにラット脳ホモジネートにおいて脂質過酸化抑制作用が認められた26)in vitro)。

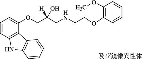
19. 有効成分に関する理化学的知見

一般的名称

カルベジロール(Carvedilol)

化学名

(2RS)-1-(9H-Carbazol-4-yloxy)-3-{[2-(2-methoxyphenoxy)ethyl]amino}propan-2-ol

分子式

C24H26N2O4

分子量

406.47

性状

白色~微黄白色の結晶又は結晶性の粉末である。
酢酸(100)に溶けやすく、メタノールにやや溶けにくく、エタノール(99.5)に溶けにくく、水にほとんど溶けない。
メタノール溶液(1→100)は旋光性を示さない。

化学構造式

融点

114~119℃

分配係数

n-オクタノール-水(pH7.1);184.2

22. 包装

  • カルベジロール錠1.25mg「DSEP」
    • (PTP) 100錠(10錠×10)
  • カルベジロール錠2.5mg「DSEP」
    • (プラスチックボトル:バラ) 500錠
    • (PTP) 100錠(10錠×10) 420錠(14錠×30) 500錠(10錠×50)
  • カルベジロール錠10mg「DSEP」
    • (プラスチックボトル:バラ) 500錠
    • (PTP) 100錠(10錠×10) 420錠(14錠×30) 500錠(10錠×50)
  • カルベジロール錠20mg「DSEP」
    • (PTP) 100錠(10錠×10)

23. 主要文献

1) 藤巻正慶ほか:臨床薬理 1990;21(2):415-424

2) Möllendorff EV, et al.:Eur J Clin Pharmacol. 1987;33(5):511-513

3) Oldham HG, et al.:Drug Metab Dispos. 1997;25(8):970-977

4) Hakusui H, et al.:Drugs 1988;36(S-6):144-147

5) 三木茂裕ほか:日本透析医学会雑誌 1991;24(4):515-521

6) 荻原俊男ほか:臨床と研究 1989;66(5):1660-1666

7) 吉永 馨ほか:臨床と研究 1989;66(11):3684-3692

8) 熊原雄一ほか:臨床と研究 1989;66(12):3968-3982

9) 五島雄一郎ほか:臨床と研究 1990;67(3):965-984

10) 武田忠直ほか:臨床と研究 1990;67(1):312-324

11) 早川弘一ほか:診断と治療 1990;78(7):1799-1815

12) 加藤和三ほか:臨床と研究 1990;67(2):618-631

13) Hori M, et al.:Am Heart J. 2004;147(2):324-330

14) Packer M, et al.:N Engl J Med. 1996;334(21):1349-1355

15) Packer M, et al.:N Engl J Med. 2001;344(22):1651-1658

16) Inoue H, et al.:J Cardiol. 2017;69(1):293-301

17) Nakamoto H, et al.:Drugs 1988;36(S-6):160-164

18) Seki N, et al.:J Pharmacol Exp Ther. 1988;246(3):1116-1122

19) Tomlinson B, et al.:Drugs 1988;36(S-6):37-47

20) Lahiri A, et al.:Am J Cardiol. 1987;59(8):769-774

21) Kohno M, et al.:Drugs 1988;36(S-6):165-168

22) Tamaki T, et al.:Drugs 1988;36(S-6):155-159

23) 岸田 浩ほか:診断と治療 1989;77(11):3024-3032

24) Feuerstein GZ, et al.:J Cardiovasc Pharmacol. 1992;19(S-1):S138-S141

25) Mishima T, et al.:Circulation 2000;102(18):534-534

26) Yue TL, et al.:J Pharmacol Exp Ther. 1992;263(1):92-98

24. 文献請求先及び問い合わせ先

第一三共エスファ株式会社 お客様相談室

〒103-0027 東京都中央区日本橋2-13-12

TEL:0120-100-601

26. 製造販売業者等

26.1 製造販売元

第一三共エスファ株式会社

東京都中央区日本橋本町3-5-1

26.2 販売提携

第一三共株式会社

東京都中央区日本橋本町3-5-1

〒100-0013 東京都千代田区霞が関3-3-2 新霞が関ビル

画面を閉じる

Copyright © Pharmaceuticals and Medical Devices Agency, All Rights reserved.