医療用医薬品 詳細表示

シロドシン錠2mg「DSEP」/シロドシン錠4mg「DSEP」/シロドシンOD錠2mg「DSEP」/シロドシンOD錠4mg「DSEP」

処方せん医薬品

添付文書番号
企業コード
作成又は改訂年月
日本標準商品分類番号
薬効分類名
承認等
一般的名称
2.禁忌(次の患者には投与しないこと)
3.組成・性状
3.1組成
3.2製剤の性状
4.効能又は効果
5.効能又は効果に関連する注意
6.用法及び用量
8.重要な基本的注意
9.特定の背景を有する患者に関する注意
9.1合併症・既往歴等のある患者
9.2腎機能障害患者
9.3肝機能障害患者
9.8高齢者
10.相互作用
10.2併用注意(併用に注意すること)
11.副作用
11.1重大な副作用
11.2その他の副作用
14.適用上の注意
15.その他の注意
15.1臨床使用に基づく情報
15.2非臨床試験に基づく情報
16.薬物動態
16.1血中濃度
16.2吸収
16.3分布
16.4代謝
16.5排泄
16.6特定の背景を有する患者
16.7薬物相互作用
17.臨床成績
17.1有効性及び安全性に関する試験
18.薬効薬理
18.1作用機序
19.有効成分に関する理化学的知見
20.取扱い上の注意
22.包装
23.主要文献
24.文献請求先及び問い合わせ先
26.製造販売業者等

シロドシン錠2mg「DSEP」/シロドシン錠4mg「DSEP」/シロドシンOD錠2mg「DSEP」/シロドシンOD錠4mg「DSEP」

添付文書番号

2590010F1031_1_06

企業コード

430773

作成又は改訂年月

**2026年2月改訂(第3版)
2021年10月改訂(第2版)

日本標準商品分類番号

87259

薬効分類名

選択的α1A遮断薬/前立腺肥大症に伴う排尿障害改善薬

承認等

シロドシン錠2mg「DSEP」

販売名コード

YJコード

2590010F1031

販売名英語表記

SILODOSIN TABLETS「DSEP」

承認番号等

承認番号

23000AMX00769

販売開始年月

2019年3月

貯法・有効期間

貯法

室温保存

有効期間

3年

基準名

日本薬局方

シロドシン錠

シロドシン錠4mg「DSEP」

販売名コード

YJコード

2590010F2038

販売名英語表記

SILODOSIN TABLETS「DSEP」

承認番号等

承認番号

23000AMX00770

販売開始年月

2019年3月

貯法・有効期間

貯法

室温保存

有効期間

3年

基準名

日本薬局方

シロドシン錠

シロドシンOD錠2mg「DSEP」

販売名コード

YJコード

2590010F3034

販売名英語表記

SILODOSIN OD TABLETS「DSEP」

承認番号等

承認番号

23000AMX00771

販売開始年月

2019年3月

貯法・有効期間

貯法

室温保存

有効期間

3年

基準名

日本薬局方

*シロドシン口腔内崩壊錠

シロドシンOD錠4mg「DSEP」

販売名コード

YJコード

2590010F4030

販売名英語表記

SILODOSIN OD TABLETS「DSEP」

承認番号等

承認番号

23000AMX00772

販売開始年月

2019年3月

貯法・有効期間

貯法

室温保存

有効期間

3年

基準名

日本薬局方

*シロドシン口腔内崩壊錠

一般的名称

シロドシン

2. 禁忌(次の患者には投与しないこと)

本剤の成分に対し過敏症の既往歴のある患者

3. 組成・性状

3.1 組成

シロドシン錠2mg「DSEP」

有効成分1錠中
シロドシン(日局)   2mg
添加剤ヒドロキシプロピルセルロース、トウモロコシデンプン、ステアリン酸マグネシウム、タルク、D-マンニトール、ヒプロメロース、酸化チタン、カルナウバロウ

シロドシン錠4mg「DSEP」

有効成分1錠中
シロドシン(日局)   4mg
添加剤ヒドロキシプロピルセルロース、トウモロコシデンプン、ステアリン酸マグネシウム、タルク、D-マンニトール、ヒプロメロース、酸化チタン、カルナウバロウ

シロドシンOD錠2mg「DSEP」

有効成分1錠中
シロドシン(日局)   2mg
添加剤**ヒドロキシプロピルセルロース、トウモロコシデンプン、フマル酸ステアリルナトリウム、ステアリン酸、タルク、D-マンニトール、ラウリル硫酸ナトリウム、結晶セルロース、アミノアルキルメタクリレートコポリマーE、クロスポビドン、部分アルファー化デンプン、黄色三二酸化鉄、三二酸化鉄、スクラロース、香料、アラビアガム、乳糖、プロピレングリコール、安息香酸ナトリウム、グリセリン脂肪酸エステル、デキストリン

シロドシンOD錠4mg「DSEP」

有効成分1錠中
シロドシン(日局)   4mg
添加剤**ヒドロキシプロピルセルロース、トウモロコシデンプン、フマル酸ステアリルナトリウム、ステアリン酸、タルク、D-マンニトール、ラウリル硫酸ナトリウム、結晶セルロース、アミノアルキルメタクリレートコポリマーE、クロスポビドン、部分アルファー化デンプン、黄色三二酸化鉄、三二酸化鉄、スクラロース、香料、アラビアガム、乳糖、プロピレングリコール、安息香酸ナトリウム、グリセリン脂肪酸エステル、デキストリン

3.2 製剤の性状

シロドシン錠2mg「DSEP」

剤形フィルムコート錠
色調白色~微黄白色
外形表面
裏面
側面
大きさ直径6.4mm
厚さ約3.2mm
質量約104mg
識別コードSI 2
EP

シロドシン錠4mg「DSEP」

剤形フィルムコート錠
(割線入)
色調白色~微黄白色
外形表面
裏面
側面
大きさ長径11.0mm
短径6.0mm
厚さ約3.7mm
質量約208mg
識別コードSI 4
EP

シロドシンOD錠2mg「DSEP」

剤形素錠
(口腔内崩壊錠)
色調淡黄赤色
外形表面
裏面
側面
大きさ直径6.4mm
厚さ約3.0mm
質量約100mg
識別コードSI d2
EP

シロドシンOD錠4mg「DSEP」

剤形素錠
(口腔内崩壊錠)
(割線入)
色調淡黄赤色
外形表面
裏面
側面
大きさ直径8.0mm
厚さ約3.8mm
質量約200mg
識別コードSI d4
EP

4. 効能又は効果

前立腺肥大症に伴う排尿障害

5. 効能又は効果に関連する注意

本剤による治療は原因療法ではなく、対症療法であることに留意し、本剤投与により期待する効果が得られない場合は、手術療法など、他の適切な処置を考慮すること。

6. 用法及び用量

通常、成人にはシロドシンとして1回4mgを1日2回朝夕食後に経口投与する。なお、症状に応じて適宜減量する。

8. 重要な基本的注意

  1. 8.1 本剤は副作用の発現率が高く、特徴的な副作用として射精障害が高頻度に認められているため、本剤の使用にあたっては、本剤のリスクを十分に検討の上、患者に対しては副作用の説明を十分に行った上で使用すること。
  2. 8.2 起立性低血圧があらわれることがあるので、体位変換による血圧変化に注意すること。
  3. 8.3 めまいなどがあらわれることがあるので、高所作業、自動車の運転など危険を伴う作業に従事する場合には注意させること。
  4. 8.4 本剤投与開始時に降圧剤投与の有無について問診を行い、降圧剤が投与されている場合には血圧変化に注意し、血圧低下がみられたときには、減量又は中止するなど適切な処置を行うこと。

9. 特定の背景を有する患者に関する注意

9.1 合併症・既往歴等のある患者

  1. 9.1.1 起立性低血圧のある患者

    症状が悪化するおそれがある。

9.2 腎機能障害患者

患者の状態を観察しながら低用量(1回2mg)から投与を開始するなどを考慮すること。シロドシンの血漿中濃度が上昇する。

9.3 肝機能障害患者

患者の状態を観察しながら低用量(1回2mg)から投与を開始するなどを考慮すること。シロドシンの血漿中濃度が上昇するおそれがある。

9.8 高齢者

肝機能又は腎機能が低下している場合は低用量(1回2mg)から投与を開始するなど、患者の状態を十分に観察しながら投与すること。高齢者では一般に生理機能が低下している。,

10. 相互作用

  • シロドシンは主としてチトクロームP450 3A4(CYP3A4)により代謝される。

10.2 併用注意(併用に注意すること)

薬剤名等臨床症状・措置方法機序・危険因子
  • 降圧剤

起立性低血圧があらわれることがあるので、減量するなど注意すること。

降圧剤服用中の患者は起立時の血圧調節力が低下している場合がある。

  • ホスホジエステラーゼ5阻害作用を有する薬剤
    • シルデナフィルクエン酸塩
    • バルデナフィル塩酸塩水和物等

併用により症候性低血圧があらわれるとの報告がある。

本剤はα遮断作用を有するため、併用によりこれらの血管拡張作用による降圧作用を増強するおそれがある。

  • アゾール系抗真菌剤
    • イトラコナゾール等

強力にCYP3A4を阻害するケトコナゾール(経口剤:国内未発売)との併用によりシロドシンの血漿中濃度の上昇が認められている。

アゾール系抗真菌剤との併用により、シロドシンの血漿中濃度が上昇するおそれがあるので、減量するなど注意すること。

アゾール系抗真菌剤はCYP3A4を阻害することから、これらの薬剤との併用時には、シロドシンの血漿中濃度が上昇するおそれがある。

11. 副作用

次の副作用があらわれることがあるので、観察を十分に行い、異常が認められた場合には投与を中止するなど適切な処置を行うこと。

11.1 重大な副作用

  1. 11.1.1 失神・意識喪失(頻度不明)

    血圧低下に伴う一過性の意識喪失等があらわれることがある。

  2. 11.1.2 肝機能障害(頻度不明)、黄疸(頻度不明)

    AST上昇、ALT上昇等を伴う肝機能障害、黄疸があらわれることがある。

11.2 その他の副作用

5%以上

1~5%未満

1%未満

頻度不明

泌尿・

生殖器

射精障害(逆行性射精等)
(17.2%)1)

インポテンス、尿失禁

消化器

口渇

胃不快感、下痢、軟便、便秘

嘔吐、嘔気、食欲不振、胃痛、腹痛、腹部膨満感、上腹部異和感、下腹部痛、胃潰瘍、胃炎、萎縮性胃炎、胸やけ、胃もたれ感、十二指腸潰瘍、放屁増加、排便回数増加、残便感、肛門不快感

口内炎

精神

神経系

めまい、立ちくらみ、ふらつき、頭痛

肩こり、頭がボーとする感じ、眠気、性欲減退、頭重感

しびれ

呼吸器

鼻出血、鼻閉

鼻汁、咳

循環器

心房細動、動悸、頻脈、不整脈、上室性期外収縮、起立性低血圧、血圧低下、血圧上昇

過敏症

発疹、皮疹、湿疹、蕁麻疹、そう痒感

口唇腫脹、舌腫脹、咽頭浮腫、顔面腫脹、眼瞼浮腫

眼の充血、目のかゆみ、結膜出血

術中虹彩緊張低下症候群(IFIS)、かすみ目

肝臓

AST上昇、ALT上昇、γ-GTP上昇、総ビリルビン上昇、Al-P上昇、LDH上昇

腎臓

BUN上昇、クレアチニン上昇

血液

白血球数減少、赤血球数減少、血色素量減少、ヘマトクリット値減少

白血球数増多、血小板数減少

その他

トリグリセリド上昇

倦怠感、CRP上昇、総コレステロール上昇、尿糖上昇、尿沈渣上昇

顔のほてり、耳鳴、苦味、胸痛、腰痛、下肢脱力感、発汗、ほてり、気分不良、血清カリウム値上昇、総蛋白低下、前立腺特異抗原増加、尿酸上昇、尿蛋白上昇

浮腫、女性化乳房

14. 適用上の注意

14.1 薬剤交付時の注意

  • 〈製剤共通〉
    1. 14.1.1 PTP包装の薬剤はPTPシートから取り出して服用するよう指導すること。PTPシートの誤飲により、硬い鋭角部が食道粘膜へ刺入し、更には穿孔をおこして縦隔洞炎等の重篤な合併症を併発することがある。
  • 〈OD錠〉
    1. 14.1.2 本剤は舌の上にのせて唾液を浸潤させると崩壊するため、水なしで服用可能である。また、水で服用することもできる。
    2. 14.1.3 本剤は寝たままの状態では、水なしで服用しないこと。

15. その他の注意

15.1 臨床使用に基づく情報

α1遮断薬を服用中又は過去に服用経験のある患者において、α1遮断作用によると考えられる術中虹彩緊張低下症候群(Intraoperative Floppy Iris Syndrome)があらわれるとの報告がある。

15.2 非臨床試験に基づく情報

  1. 15.2.1 マウスでの104週間投与試験

    20mg/kg/日以上の投与群で精嚢腺拡張の頻度の上昇が認められたとの報告がある1)

  2. 15.2.2 ラットでの受胎能及び着床までの初期胚発生に関する試験

    200mg/kg/日以上の投与群で精細管に精子細胞の脱落が、600mg/kg/日投与群で精細管の萎縮・変性、精子生存率及び精子数の減少が認められたとの報告がある2)

16. 薬物動態

16.1 血中濃度

  1. 16.1.1 生物学的同等性試験(錠、カプセル)

    健康成人男性にシロドシン4mg(錠又はカプセル)を空腹時に単回経口投与したとき注)の血漿中シロドシン濃度及び薬物動態パラメータは下表に示すとおりであり、4mg錠及び4mgカプセルは生物学的に同等であった3)

    健康成人男性に空腹時4mg(錠又はカプセル)単回投与時の薬物動態パラメータ
    (平均値±SD)

    Cmax
    (ng/mL)

    AUC0-48hr2)
    (ng・hr/mL)

    Tmax
    (hr)

    t1/2
    (hr)

    評価例数

    27

    27

    27

    27

    4mg錠

    29.309±13.856

    122.91±39.34

    0.89±0.66

    5.772±3.417

    4mgカプセル

    28.919±14.685

    125.44±40.05

    1.30±0.89

    5.850±3.963

    2) 27例中1例の被験者についてはAUC0-10hrをAUC0-48hrとして集計した。

  2. 16.1.2 単回投与

    健康成人男性(各群6例)にシロドシン0.5mgから12mg(カプセル)を単回経口投与したとき注)、血漿中シロドシン濃度は投与量の増加に伴って上昇し、Cmax及びAUC0-∞は線形性を示した4)。シロドシン2mg又は4mg(カプセル)を単回経口投与したときの血漿中シロドシン濃度推移は下図に示すとおりであった5),6)

    健康成人男性に空腹時2mg又は4mg単回投与時の血漿中シロドシン濃度推移
    6例の平均値+SDを示す
  3. 16.1.3 生物学的同等性試験(錠、OD錠)

    シロドシン4mgOD錠(水なし又は水で服用)とシロドシン4mg錠(標準製剤、水で服用)をクロスオーバー法によりそれぞれを1錠(シロドシンとして4mg)健康成人男性に絶食単回経口投与して注)、血漿中シロドシン濃度を測定して得られた薬物動態パラメータ(AUC0-48hr,Cmax)について、90%信頼区間法にて統計解析を行った結果、log(0.8)~log(1.25)の範囲内であり、両剤の生物学的同等性が確認された7)。薬物動態パラメータは下表に、血漿中濃度推移は下図に示すとおりであった。

    健康成人男性に空腹時4mgOD錠(水なしで服用)又は4mg錠(水で服用)単回投与時の薬物動態パラメータ
    (n=25,平均値±SD)

    薬剤名(用法)

    Cmax
    (ng/mL)

    AUC0-48hr
    (ng・hr/mL)

    Tmax
    (hr)

    t1/2
    (hr)

    4mgOD錠
    (水なしで服用)

    31.58±21.57

    126.73±44.54

    1.46±0.88

    6.60±3.64

    4mg錠
    (水で服用)

    27.25±7.70

    115.08±33.72

    1.18±1.00

    6.41±2.66

    健康成人男性に空腹時4mgOD錠(水なしで服用)又は4mg錠(水で服用)単回投与時の血漿中シロドシン濃度推移
    健康成人男性に空腹時4mgOD錠(水で服用)又は4mg錠(水で服用)単回投与時の薬物動態パラメータ
    (n=27,平均値±SD)

    薬剤名(用法)

    Cmax
    (ng/mL)

    AUC0-48hr
    (ng・hr/mL)

    Tmax
    (hr)

    t1/2
    (hr)

    4mgOD錠
    (水で服用)

    24.90±12.02

    121.31±52.25

    1.04±0.88

    7.02±2.54

    4mg錠
    (水で服用)

    26.31±13.88

    123.46±53.39

    1.54±1.33

    6.02±2.39

    健康成人男性に空腹時4mgOD錠(水で服用)又は4mg錠(水で服用)単回投与時の血漿中シロドシン濃度推移
  4. 16.1.4 反復投与

    健康成人男性5例にシロドシン4mg(カプセル)を1日2回7日間反復経口投与したとき(1日目及び7日目は1日1回投与)、血漿中シロドシン濃度は投与3日後には定常状態に達し、初回投与からの累積率は1.1倍であった4)

    健康成人男性における食後4mg投与時の薬物動態パラメータ
    (平均値±SD)

    Cmax
    (ng/mL)

    AUC0-∞
    (ng・hr/mL)

    Tmax
    (hr)

    t1/2
    (hr)

    単回

    26.8±9.2

    143.9±57.1

    2.2±0.5

    6.9±3.1

    反復

    28.7±7.6

    134.3±39.0

    2.0±0.0

    10.4±4.6

    反復投与時のパラメータは、6日目までの積み重なり濃度を差し引いた7日目の濃度推移から得た結果を示した。

  5. 16.1.5 前立腺肥大症に伴う排尿障害患者での薬物動態

    前立腺肥大症に伴う排尿障害患者を対象とした長期投与試験(カプセル)における探索的な母集団薬物動態解析(258例)の結果、定常状態時の投与2時間後及び12時間後の推定血漿中シロドシン濃度(平均値±SD)はそれぞれ24.8±8.0ng/mL及び7.4±3.3ng/mLであった。血漿中シロドシン濃度に対する変動要因について検討した結果、シロドシンのクリアランスは体重、年齢、CRP、ALT及び血清クレアチニンによって、分布容積は体重、年齢、CRP及びALTによって影響を受けることが示唆された。これら影響因子のうち、ALTについて、シロドシンの血漿中濃度に対する影響が大きいことが推察され、ALTの上昇(23→83IU/L)によりシロドシンのクリアランス及び分布容積はそれぞれ約47%及び約27%低下する可能性が示唆された8),

16.2 吸収

  1. 16.2.1 食事の影響

    健康成人男性11例にシロドシン4mg(カプセル)を食後30分及び空腹時に単回経口投与したとき注)、食後投与及び空腹時投与でそれぞれ、Cmaxは23.0及び28.0ng/mL、AUC0-48hrは128.8及び135.9ng・hr/mL、Tmaxは2.1及び1.4時間、t1/2は6.0及び4.7時間であった4)

    健康成人男性における4mg投与時の薬物動態パラメータ
    (平均値±SD)

    Cmax
    (ng/mL)

    AUC0-48hr
    (ng・hr/mL)

    Tmax
    (hr)

    t1/2
    (hr)

    食後

    23.0±10.8

    128.8±64.1

    2.1±0.7

    6.0±4.8

    空腹時

    28.0±9.6

    135.9±55.4

    1.4±1.1

    4.7±3.7

  2. 16.2.2 生物学的利用率

    シロドシン4mg(カプセル)を単回経口投与したときの生物学的利用率は32.2%であった9)

16.3 分布

健康成人男性11例にシロドシン2mg(溶液)を4時間静脈内点滴投与時注)のクリアランス及び分布容積はそれぞれ167.0±33.8mL/min及び49.5±17.3Lであった9)。シロドシンのヒト血漿タンパクに対する結合率は、95.6%(100ng/mL添加時)であり、主な結合タンパクはα1-酸性糖タンパクであった4)in vitro)。

16.4 代謝

シロドシンは主としてCYP3A4、UDP-グルクロン酸転移酵素、アルコール脱水素酵素及びアルデヒド脱水素酵素により代謝され、血漿中の主な代謝物はシロドシンのグルクロン酸抱合体及び酸化代謝物であった4)。健康男性(外国人)6例に「14C」標識シロドシン8mg(溶液)を単回経口投与したとき注)、血漿中の総放射能AUC0-12hrに対して、血漿中のシロドシン、シロドシンのグルクロン酸抱合体及び酸化代謝物のAUC0-12hrは、それぞれ24.0、21.9及び34.9%であった。その他の代謝物の割合は、いずれも5%以下であった4)

16.5 排泄

健康男性(外国人)6例に「14C」標識シロドシン8mg(溶液)を単回経口投与したとき注)、投与後240時間までに、投与放射能の33.5%が尿中に、54.9%が糞中に排泄された4)

16.6 特定の背景を有する患者

  1. 16.6.1 腎機能障害患者

    腎機能低下者(クレアチニンクリアランス27~49mL/min)6例及び腎機能正常者(クレアチニンクリアランス125~176mL/min)7例にシロドシン4mg(カプセル)を単回経口投与したとき注)、腎機能低下者では腎機能正常者に比べて、シロドシンの血漿中総薬物濃度の上昇がみられた(Cmax3.1倍、AUC0-∞3.2倍)。この血漿中総薬物濃度の上昇は血清中α1-酸性糖タンパクとのタンパク結合による可能性があり、血漿中総薬物濃度と血清中α1-酸性糖タンパク濃度の間には高い相関が認められた。なお、シロドシンの薬効及び副作用発現に直接関与すると考えられる血漿中非結合形シロドシン濃度の上昇は総薬物濃度より小さかった(Cmax1.5倍、AUC0-∞2.0倍)4),

    腎機能低下者及び腎機能正常者に空腹時4mg単回投与時の薬物動態パラメータ
    (平均値±SD)

    Cmax
    (ng/mL)

    AUC0-∞
    (ng・hr/mL)

    Tmax
    (hr)

    t1/2
    (hr)

    腎機能低下者

    72.22±44.12
    (1.48±1.30)

    305.76±115.38
    (6.34±3.43)

    0.67±0.26
    (0.83±0.26)

    7.55±1.50
    (8.71±3.94)

    腎機能正常者

    21.51±8.52
    (0.71±0.13)

    94.75±41.28
    (2.96±1.09)

    0.86±0.56
    (0.86±0.56)

    3.94±1.57
    (4.39±1.34)

    (  )内の値は血漿中非結合形シロドシン

  2. 16.6.2 高齢者

    高齢男性(65~75歳)12例にシロドシン4mg(カプセル)を食後に単回経口投与したとき、非高齢男性(21~31歳)9例との薬物動態に明らかな違いはみられなかった4)
    また、投与後48時間までの尿中累積排泄率は高齢男性、非高齢男性でそれぞれシロドシンが2.3及び2.4%、シロドシンのグルクロン酸抱合体が1.6及び1.8%、酸化代謝物が4.5及び4.9%であった4)

    高齢男性及び非高齢男性における食後4mg単回投与時の薬物動態パラメータ
    (平均値±SD)

    Cmax
    (ng/mL)

    AUC0-∞
    (ng・hr/mL)

    Tmax
    (hr)

    t1/2
    (hr)

    高齢男性

    21.8±11.6

    142.4±54.7

    2.5±1.4

    10.5±4.0

    非高齢男性

    20.5±6.5

    121.5±38.1

    2.3±0.5

    8.7±3.1

16.7 薬物相互作用

  1. 16.7.1 ケトコナゾール(経口剤:国内未発売)併用

    健康男性(外国人)16例にケトコナゾール200mgを1日1回4日間経口投与し、2日目にシロドシン4mg(カプセル)を単回経口投与した場合注)、併用時のシロドシンのCmax及びAUC0-∞は、シロドシン単独投与時に比べてそれぞれ3.7及び2.9倍に増加した4)

注)本剤の承認されている用法・用量は「1回4mgを1日2回朝夕食後に経口投与する。なお、症状に応じて適宜減量する。」である。

17. 臨床成績

17.1 有効性及び安全性に関する試験

  1. 17.1.1 国内第Ⅱ相二重盲検比較試験

    前立腺肥大症に伴う排尿障害患者を対象に、シロドシンカプセル1回2mg注)、4mg又はプラセボを、1日2回、4週間経口投与した結果、シロドシンカプセル1回4mg投与はプラセボと比較して自覚症状(I-PSSトータルスコア)を有意に改善した。副作用発現割合は、15.6%(42/270例)であった。用量別の副作用発現割合は、プラセボ群7.9%(7/89例)、4mg/日群16.9%(15/89例)、8mg/日群21.7%(20/92例)であった。主な副作用は、射精障害0%(0/89例)、11.2%(10/89例)、6.5%(6/92例)(プラセボ、4mg/日、8mg/日の順、以下同様)、口渇1.1%(1/89例)、0%(0/89例)、5.4%(5/92例)であった。副作用(臨床検査値)発現割合は、6.7%(18/270例)であった。用量別の副作用(臨床検査値)発現割合は、プラセボ群5.6%(5/89例)、4mg/日群6.7%(6/89例)、8mg/日群7.6%(7/92例)であった。主な副作用(臨床検査値)は、トリグリセリド上昇2.3%(2/86例)、3.7%(3/82例)、2.4%(2/84例)(プラセボ群、4mg/日群、8mg/日群)であった10)

    I-PSS3)トータルスコアの投与前後の変化

    投与群

    投与開始時測定値

    投与4週後変化量

    プラセボ群との群間比較

    Dunnett型多重比較検定

    プラセボ

    18.1±5.6(88)

    -3.0±5.8(88)

    2mg×2/日

    18.3±6.5(84)

    -5.7±6.1(84)

    P=0.013

    4mg×2/日

    18.7±6.0(87)

    -6.6±5.5(86)

    P=0.000

    単位:点  平均値±SD (  ):症例数

    3) I-PSS:国際前立腺症状スコア(軽症:0-7、中等症:8-19、重症:20-35)

  2. 17.1.2 国内第Ⅲ相二重盲検比較試験

    前立腺肥大症に伴う排尿障害患者を対象に、シロドシンカプセル1回4mg 1日2回又はプラセボを12週間経口投与した結果、終了時のI-PSSトータルスコアは投与開始時に比較して、シロドシンで8.3及びプラセボで5.3それぞれ低下した。また、投与開始時に比較してI-PSSトータルスコアが25%以上改善した症例の割合は、シロドシン76.4%(133/174例)及びプラセボ50.6%(45/89例)であり、重症度が軽症(I-PSSトータルスコア8未満)まで改善した症例の割合は、シロドシン47.7%(83/174例)及びプラセボ31.5%(28/89例)であった。シロドシンでは自覚症状は投与1週後の早期から改善し、重症例に対しても改善効果が認められた。副作用発現割合は、シロドシン群54.9%(96/175例)、プラセボ群22.5%(20/89例)であった。主な副作用は、シロドシン群で射精障害22.3%(39/175例)、軟便及び口渇各8.6%(15/175例)、尿失禁5.7%(10/175例)、下痢4.6%(8/175例)、鼻閉4.0%(7/175例)、プラセボ群で軟便、口渇及び頭痛各4.5%(4/89例)であった。副作用(臨床検査値)発現割合は、シロドシン群31.4%(55/175例)、プラセボ群21.6%(19/88例)であった。主な副作用(臨床検査値)は、シロドシン群ではトリグリセリド上昇12.0%(21/175例)、CRP上昇5.7%(10/175例)、γ-GTP上昇3.4%(6/175例)、プラセボ群ではトリグリセリド上昇10.2%(9/88例)、LDH上昇及びCRP上昇各3.4%(3/88例)であった11)

    I-PSSトータルスコア測定値の推移
    I-PSSトータルスコアの測定値、変化量及び群間差

    投与群

    例数

    投与開始時測定値4)

    終了時測定値4)

    変化量4)

    変化量群間差

    両側95%
    信頼区間

    シロドシン

    174

    17.1±5.7

    8.8±5.9

    -8.3±6.4

    -3.0

    -4.6、-1.3

    プラセボ

    89

    17.1±6.1

    11.8±7.1

    -5.3±6.7

    4) 平均値±SD

  3. 17.1.3 国内長期投与試験

    前立腺肥大症に伴う排尿障害患者364例を対象としたシロドシンカプセル1回4mg1日2回52週間による長期投与試験では、持続的な改善効果と安全性が確認され、安定した自覚症状(I-PSSトータルスコア)及び最大尿流率の改善が認められた。副作用発現割合は、65.4%(238/364例)であった。主な副作用は、射精障害25.0%(91/364例)、下痢7.4%(27/364例)、口渇7.1%(26/364例)、立ちくらみ6.6%(24/364例)、鼻閉5.8%(21/364例)、ふらつき(感)5.2%(19/364例)であった。副作用(臨床検査値)発現割合は、31.1%(112/360例)であった。主な副作用(臨床検査値)は、トリグリセリド上昇9.2%(33/359例)、ALT上昇4.2%(15/360例)、白血球数減少3.9%(14/358例)、ヘモグロビン量減少3.6%(13/357例)、ヘマトクリット値減少3.6%(13/357例)、AST上昇3.6%(13/360例)、赤血球数減少3.4%(12/358例)及びCRP上昇3.1%(11/359例)であった12)

注)本剤の承認されている用法・用量は「1回4mgを1日2回朝夕食後に経口投与する。なお、症状に応じて適宜減量する。」である。

18. 薬効薬理

18.1 作用機序

下部尿路組織である前立腺、尿道及び膀胱三角部に分布するα1A-アドレナリン受容体サブタイプを介する交感神経系を遮断することにより、下部尿路組織平滑筋の緊張を緩和し、尿道内圧の上昇を抑制し、前立腺肥大症に伴う排尿障害を改善する。

18.2 ヒト組織での作用

  1. 18.2.1 交感神経系α-アドレナリン受容体に対する親和性

    ヒトα1-アドレナリン受容体に対する受容体結合試験において、α1A-アドレナリン受容体サブタイプへの高い親和性を示した13)in vitro)。

  2. 18.2.2 前立腺に対する作用

    ヒト前立腺膜標本を用いた受容体結合試験において、α1A-アドレナリン受容体サブタイプへの高い親和性を示した14)
    ノルアドレナリンによるヒト前立腺平滑筋の収縮を抑制した14)in vitro)。

18.3 動物での作用

  1. 18.3.1 下部尿路組織(前立腺、尿道及び膀胱三角部)に対する作用

    摘出ウサギ前立腺、尿道及び膀胱三角部において、ノルアドレナリンによる収縮に対して強い拮抗作用を示した13)in vitro)。

  2. 18.3.2 尿道内圧に対する作用

    麻酔雄性ラットにおいて、血圧低下作用を示すよりも低い用量で、フェニレフリンによる前立腺部尿道内圧上昇を選択的に抑制した15)
    麻酔雄性イヌにおいても、血圧低下作用を示すよりも低い用量で、下腹神経の電気刺激による前立腺部尿道内圧上昇を選択的に抑制した16)

  3. 18.3.3 前立腺肥大モデルに対する作用

    性ホルモン投与にて作製した雄性ラット前立腺肥大モデルにおいて、蓄尿時に生じた膀胱刺激症状を抑制した17)

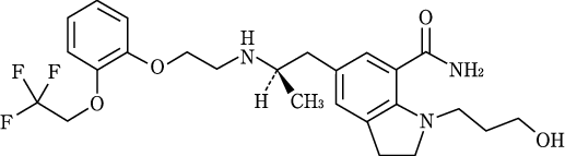
19. 有効成分に関する理化学的知見

一般的名称

シロドシン(Silodosin)

化学名

1-(3-Hydroxypropyl)-5-[(2R)-2-({2-[2-(2,2,2-trifluoroethoxy)phenoxy]ethyl}amino)propyl]-2,3-dihydro-1H-indole-7-carboxamide

分子式

C25H32F3N3O4

分子量

495.53

性状

白色~微黄白色の粉末である。メタノール又はエタノール(99.5)に溶けやすく、水に極めて溶けにくい。光によって徐々に黄白色となる。旋光度〔α〕20D:-13~-17°(脱水物に換算したもの0.2g、メタノール、20mL、100mm)。結晶多形が認められる。

化学構造式

融点

105~109℃

分配係数

pH

2.8

6.0

9.7

分配比
(1-オクタノール/緩衝液)

4.1×10-3

1.7

5.0×102

20. 取扱い上の注意

  • 〈製剤共通〉
    1. 20.1 アルミピロー包装開封後は遮光して保存すること。
  • 〈OD錠〉
    1. 20.2 製剤の特性上、吸湿により錠剤表面がざらつくことがある。
    2. 20.3 錠剤表面に使用色素による茶色、赤色及び黄色の斑点がみられることがある。
    3. 20.4 アルミピロー包装開封後は湿気を避けて保存すること。

22. 包装

  • シロドシン錠2mg「DSEP」
    • (PTP) 100錠(10錠×10) 140錠(14錠×10) 500錠(10錠×50) 700錠(14錠×50)
      (プラスチックボトル:バラ) 500錠
  • シロドシン錠4mg「DSEP」
    • (PTP) 100錠(10錠×10) 140錠(14錠×10) 500錠(10錠×50) 700錠(14錠×50)
      (プラスチックボトル:バラ) 500錠
  • シロドシンOD錠2mg「DSEP」
    • (PTP) 100錠(10錠×10) 140錠(14錠×10) 500錠(10錠×50) 700錠(14錠×50)
      (プラスチックボトル:バラ:乾燥剤入り) 500錠
  • シロドシンOD錠4mg「DSEP」
    • (PTP) 100錠(10錠×10) 140錠(14錠×10) 500錠(10錠×50) 700錠(14錠×50)
      (プラスチックボトル:バラ:乾燥剤入り) 500錠

23. 主要文献

1) マウスでの104週間投与試験(ユリーフカプセル:2006年1月23日承認、CTD2.6.6.5)

2) ラットでの受胎能及び着床までの初期胚発生に関する試験(ユリーフカプセル:2006年1月23日承認、CTD2.6.6.6)

3) 社内資料:錠剤及びカプセル剤間における生物学的同等性試験

4) 清水智司ほか:薬学雑誌 2006;126(S):257-263

5) 健康成人を対象とした第Ⅰ相臨床試験(ユリーフカプセル:2006年1月23日承認、CTD2.7.2.2)

6) 健康成人を対象とした第Ⅰ相臨床試験(ユリーフカプセル:2006年1月23日承認、CTD2.7.2.2)

7) 社内資料:口腔内崩壊錠及び市販錠間における生物学的同等性試験

8) 前立腺肥大症に伴う排尿障害患者を対象とした長期投与試験(ユリーフカプセル:2006年1月23日承認、CTD2.7.2.2)

9) 健康成人を対象とした臨床薬理試験(ユリーフカプセル:2006年1月23日承認、CTD2.7.1.2)

10) 前立腺肥大症に伴う排尿障害患者を対象とした後期第Ⅱ相臨床試験(ユリーフカプセル:2006年1月23日承認、CTD2.7.6.3)

11) 前立腺肥大症に伴う排尿障害患者を対象とした第Ⅲ相臨床試験(ユリーフカプセル:2006年1月23日承認、CTD2.7.6.3)

12) 前立腺肥大症に伴う排尿障害患者を対象とした第Ⅲ相長期投与試験(ユリーフカプセル:2006年1月23日承認、CTD2.7.6.3)

13) 立道 聡ほか:薬学雑誌 2006;126(S):209-216

14) Murata S, et al.:J Urol. 2000;164(2):578-583

15) 立道 聡ほか:薬学雑誌 2006;126(S):217-223

16) イヌ下腹神経刺激誘発尿道内圧上昇モデルにおける作用(ユリーフカプセル:2006年1月23日承認、CTD2.6.2.2)

17) ラット前立腺肥大モデルにおける作用(ユリーフカプセル:2006年1月23日承認、CTD2.6.2.2)

24. 文献請求先及び問い合わせ先

第一三共エスファ株式会社 お客様相談室

〒103-0027 東京都中央区日本橋2-13-12

TEL:0120-100-601

26. 製造販売業者等

26.1 製造販売元

第一三共エスファ株式会社

東京都中央区日本橋本町3-5-1

26.2 販売提携

第一三共株式会社

東京都中央区日本橋本町3-5-1

26.3 技術提携

キッセイ薬品工業株式会社

〒100-0013 東京都千代田区霞が関3-3-2 新霞が関ビル

画面を閉じる

Copyright © Pharmaceuticals and Medical Devices Agency, All Rights reserved.