医療用医薬品 詳細表示

アルファロール内用液0.5μg/mL

処方せん医薬品以外の医薬品

添付文書番号
企業コード
作成又は改訂年月
日本標準商品分類番号
薬効分類名
承認等
一般的名称
3.組成・性状
3.1組成
3.2製剤の性状
4.効能又は効果
6.用法及び用量
8.重要な基本的注意
9.特定の背景を有する患者に関する注意
9.1合併症・既往歴等のある患者
9.5妊婦
9.6授乳婦
9.7小児等
9.8高齢者
10.相互作用
10.2併用注意(併用に注意すること)
11.副作用
11.1重大な副作用
11.2その他の副作用
14.適用上の注意
16.薬物動態
16.1血中濃度
17.臨床成績
17.1有効性及び安全性に関する試験
18.薬効薬理
18.1作用機序
18.2作用・効果
19.有効成分に関する理化学的知見
20.取扱い上の注意
22.包装
23.主要文献
24.文献請求先及び問い合わせ先
26.製造販売業者等

アルファロール内用液0.5μg/mL

添付文書番号

3112001S1045_1_05

企業コード

450045

作成又は改訂年月

2024年2月改訂(第2版)
2022年7月改訂

日本標準商品分類番号

873112

薬効分類名

Ca・骨代謝改善 1α-OH-D3製剤

承認等

アルファロール内用液0.5μg/mL

販売名コード

YJコード

3112001S1045

販売名英語表記

ALFAROL Solution

販売名ひらがな

あるふぁろーるないようえき0.5μg/mL

承認番号等

承認番号

21800AMX10076

販売開始年月

1981年1月

貯法・有効期間

貯法

室温保存

有効期間

5年

規制区分

劇薬

一般的名称

アルファカルシドール

3. 組成・性状

3.1 組成

アルファロール内用液0.5μg/mL

有効成分1mL中
アルファカルシドール   0.5μg
添加剤中鎖脂肪酸トリグリセリド、無水エタノール

3.2 製剤の性状

アルファロール内用液0.5μg/mL

剤形液剤(褐色透明瓶)
性状無色~微黄色澄明のわずかに粘稠な液

4. 効能又は効果

  • 下記疾患におけるビタミンD代謝異常に伴う諸症状(低カルシウム血症、テタニー、骨痛、骨病変等)の改善
    • 慢性腎不全、副甲状腺機能低下症、ビタミンD抵抗性クル病・骨軟化症、未熟児
  • 骨粗鬆症

6. 用法及び用量

  • 〈効能共通〉

    本剤は患者の血清カルシウム濃度の十分な管理のもとに、投与量を調整する。

  • 〈慢性腎不全、骨粗鬆症〉

    通常、成人1日1回アルファカルシドールとして0.5~1.0μgを経口投与する。
    ただし、年齢、症状により適宜増減する。

  • 〈副甲状腺機能低下症、その他のビタミンD代謝異常に伴う疾患〉

    通常、成人1日1回アルファカルシドールとして1.0~4.0μgを経口投与する。
    ただし、疾患、年齢、症状、病型により適宜増減する。
    (小児用量)
    通常、小児に対しては骨粗鬆症の場合には1日1回アルファカルシドールとして0.01~0.03μg/kgを、その他の疾患の場合には1日1回アルファカルシドールとして0.05~0.1μg/kgを、また未熟児には1日1回0.008~0.1μg/kgを経口投与する。
    ただし、疾患、症状により適宜増減する。

8. 重要な基本的注意

  1. 8.1 血清カルシウム上昇を伴った急性腎障害があらわれることがあるので、血清カルシウム値及び腎機能を定期的に観察すること。,,,
  2. 8.2 過量投与を防ぐため、本剤投与中、血清カルシウム値の定期的測定を行い、血清カルシウム値が正常値を超えないよう投与量を調整すること。,,,,
  3. 8.3 高カルシウム血症を起こした場合には、直ちに休薬する。休薬により血清カルシウム値が正常域に達したら、減量して投薬を再開する。,,,

9. 特定の背景を有する患者に関する注意

9.1 合併症・既往歴等のある患者

  1. 9.1.1 高リン血症のある患者

    リン酸結合剤を併用し、血清リン値を下げること。

9.5 妊婦

妊婦又は妊娠している可能性のある女性には、治療上の有益性が危険性を上回ると判断される場合にのみ投与すること。動物実験(ラット)で大量投与の場合、胎児化骨遅延等がみられている。

9.6 授乳婦

治療上の有益性及び母乳栄養の有益性を考慮し、授乳の継続又は中止を検討すること。動物実験(ラット)で授乳による新生児への移行率は、母動物投与量の1/20に相当する。

9.7 小児等

小児、未熟児に投与する場合には、血清カルシウム値、尿中カルシウム・クレアチニン比値等の観察を十分に行いながら少量から投与を開始し、漸増投与するなど、過量投与にならぬよう慎重に投与すること。幼若ラット経口投与における急性毒性は成熟ラットに比べ強くあらわれている。

9.8 高齢者

用量に注意すること。一般に生理機能が低下している。

10. 相互作用

    10.2 併用注意(併用に注意すること)

    薬剤名等臨床症状・措置方法機序・危険因子

    *マグネシウムを含有する製剤

    • 酸化マグネシウム、炭酸マグネシウム等

    高マグネシウム血症が起きたとの報告がある。

    他のビタミンD誘導体と同様に腸管でのマグネシウムの吸収を促進させると考えられる。

    * マグネシウムを含有する製剤

    • 酸化マグネシウム、炭酸マグネシウム等

    ミルク・アルカリ症候群(高カルシウム血症、高窒素血症、アルカローシス等)があらわれるおそれがある。

    血中マグネシウムの増加により代謝性アルカローシスが持続するため、尿細管でのカルシウム再吸収が増加する。

    ジギタリス製剤

    • ジゴキシン等

    ,,

    不整脈があらわれるおそれがある。

    本剤により高カルシウム血症が発症した場合、ジギタリス製剤の作用が増強される。

    カルシウム製剤

    • 乳酸カルシウム水和物、炭酸カルシウム等

    ,,

    高カルシウム血症があらわれるおそれがある。

    本剤は腸管でのカルシウムの吸収を促進させる。

    ビタミンD及びその誘導体

    • カルシトリオール等

    ,,

    高カルシウム血症があらわれるおそれがある。

    相加作用による。

    *PTH製剤

    • テリパラチド等

    PTHrP製剤

    • アバロパラチド酢酸塩

    ,,

    高カルシウム血症があらわれるおそれがある。

    相加作用による。

    11. 副作用

    次の副作用があらわれることがあるので、観察を十分に行い、異常が認められた場合には投与を中止するなど適切な処置を行うこと。

    11.1 重大な副作用

    1. 11.1.1 急性腎障害(頻度不明)

      血清カルシウム上昇を伴った急性腎障害があらわれることがある。,,

    2. 11.1.2 肝機能障害、黄疸(いずれも頻度不明)

      AST、ALT、Al-Pの上昇等を伴う肝機能障害、黄疸があらわれることがある。

    11.2 その他の副作用

    0.1~5%未満

    0.1%未満

    消化器

    食欲不振、悪心・嘔気、下痢、便秘、胃痛

    嘔吐、腹部膨満感、胃部不快感、消化不良、口内異和感、口渇等

    精神神経系

    頭痛・頭重、不眠・いらいら感、脱力・倦怠感、めまい、しびれ感、眠気、記憶力・記銘力の減退、耳鳴り、老人性難聴、背部痛、肩こり、下肢のつっぱり感、胸痛等

    循環器

    軽度の血圧上昇、動悸

    肝臓

    AST、ALTの上昇

    LDH、γ-GTPの上昇

    腎臓

    BUN、クレアチニンの上昇(腎機能の低下)

    腎結石

    皮膚

    そう痒感

    発疹、熱感

    結膜充血

    関節周囲の石灰化(化骨形成)

    その他

    嗄声、浮腫

    注)副作用の発現頻度は使用成績調査を含む

    14. 適用上の注意

    14.1 薬剤投与時の注意

    投与量は、添付のスポイトを使用し、目盛(目盛0.5、1.0はそれぞれ約0.25μg、0.5μgに相当)により正確に量るか、滴数(通常本剤1滴はアルファカルシドール約0.01μgに相当)を正確に量ること。

    16. 薬物動態

    16.1 血中濃度

    1. 16.1.1 単回投与

      健康成人にアルファカルシドールとして5μg注)単回経口投与した場合、血漿中1α,25-(OH)2D濃度は速やかに上昇し9時間後に最高値(141.9pg/mL)となり以後漸減した。その半減期は17.6時間であった1)

    2. 16.1.2 反復投与

      慢性腎不全患者に30日間連続経口投与(1μg/日)した時の血漿中1α,25-(OH)2D濃度は26.1pg/mLで投与中止により14日後21.3pg/mL、18日後3.1pg/mLに減少した2)
      注)本剤の承認された最大用量は、1回4.0μgである。

    17. 臨床成績

    17.1 有効性及び安全性に関する試験

    1. 17.1.1 国内臨床試験

      二重盲検法により、慢性腎不全、副甲状腺機能低下症及び骨粗鬆症に対する比較試験が行われ、いずれも有用性が認められた3),4),5)

    18. 薬効薬理

    18.1 作用機序

    1. 18.1.1 作用の発現(アルファカルシドールの25位水酸化)

      経口投与後、血中に吸収され、肝の25-hydroxylaseによって側鎖の25位が水酸化され、速やかに1α,25-(OH)2D3に代謝される6)。この肝での25位水酸化反応は四塩化炭素又はガラクトサミン投与の肝障害時にも保持されている(ラット)7)。1α,25-(OH)2D3は骨、小腸に作用し、骨形成促進作用、骨代謝改善作用、小腸からのCa吸収促進作用等を発現する。

    18.2 作用・効果

    1. 18.2.1 骨石灰化促進作用

      ビタミンD欠乏あるいは低リン・高Ca食飼育ラットに対し、抗クル病作用、骨石灰化前線形成の促進作用を示す8)

    2. 18.2.2 骨吸収作用・再構成作用

      アルファカルシドールの活性型代謝産物1α,25-(OH)2D3は骨吸収作用及び骨再構成作用(軟骨細胞の骨細胞への増殖・分化)を有する(in vitro9)

    3. 18.2.3 骨形成促進作用

      骨形態計測においてアルファロール投与により、骨芽細胞を有する類骨面比率が増加し、骨芽細胞に直接作用して骨形成を促進することが示唆されている(ヒト骨粗鬆症)10)

    4. 18.2.4 腸管におけるCa吸収作用

      連日投与により、血清1α,25-(OH)2D値の上昇とともに低下している小腸でのCa吸収率を改善する(ヒト骨粗鬆症)11)

    5. 18.2.5 血清Ca上昇作用

      低Ca血症に対し、小腸からのCa吸収促進作用(ヒト慢性腎不全、副甲状腺機能低下症)と骨塩溶出作用(腎あるいは副甲状腺摘出ラット)により血清Caを上昇させる8),12),13),14)。投与中止後の血清Ca値は速やかな低下を示し、血清Caの推移による半減期は3.4日と報告されている(ヒト)15)

    6. 18.2.6 腎不全時の骨代謝改善作用

      腎性骨ジストロフィーの骨吸収窩面、肥厚した類骨層を改善する(ヒト慢性腎不全12)、柴田腎炎ラット16),17))。また、肥大した副甲状腺重量及び血中副甲状腺ホルモンを低下させ、続発性の副甲状腺機能亢進を抑制する12),16),17)

    7. 18.2.7 1α,25-(OH)2Dとの作用比較

      経口投与されたアルファカルシドールの働きは、1α,25-(OH)2D3のそれと同等、ないしそれ以上であることが示唆されている(ヒト、柴田腎炎ラット)16),17),18)

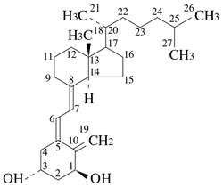
    19. 有効成分に関する理化学的知見

    一般的名称

    アルファカルシドール(Alfacalcidol)(JAN)

    化学名

    (5Z,7E)-9,10-Secocholesta-5,7,10(19)-triene-1α,3β-diol

    分子式

    C27H44O2

    分子量

    400.64

    性状

    白色の結晶又は結晶性の粉末である。
    メタノール、エタノール(99.5)、クロロホルム又はジクロロメタンに溶けやすく、アセトン又はジエチルエーテルにやや溶けやすく、水又はヘキサンにはほとんど溶けない。
    空気又は光によって変化する。

    化学構造式

    融点(一部分解)

    135~138℃(日局 一般試験法)
    137~142℃(日局 ビタミンD2測定法)

    20. 取扱い上の注意

    外箱開封後は遮光して保存すること。

    22. 包装

    10mL(褐色透明瓶)

    24. 文献請求先及び問い合わせ先

    中外製薬株式会社 メディカルインフォメーション部

    〒103-8324 東京都中央区日本橋室町2-1-1

    電話:0120-189706
    Fax:0120-189705
    https://www.chugai-pharm.co.jp/

    26. 製造販売業者等

    26.1 製造販売元

    中外製薬株式会社

    東京都中央区日本橋室町2-1-1

    〒100-0013 東京都千代田区霞が関3-3-2 新霞が関ビル

    画面を閉じる

    Copyright © Pharmaceuticals and Medical Devices Agency, All Rights reserved.