医療用医薬品 詳細表示

トリヘキシフェニジル塩酸塩散1%「CH」

処方せん医薬品

添付文書番号
企業コード
作成又は改訂年月
日本標準商品分類番号
薬効分類名
承認等
一般的名称
2.禁忌(次の患者には投与しないこと)
3.組成・性状
3.1組成
3.2製剤の性状
4.効能又は効果
5.効能又は効果に関連する注意
6.用法及び用量
7.用法及び用量に関連する注意
8.重要な基本的注意
9.特定の背景を有する患者に関する注意
9.1合併症・既往歴等のある患者
9.2腎機能障害患者
9.3肝機能障害患者
9.5妊婦
9.6授乳婦
9.7小児等
9.8高齢者
10.相互作用
10.2併用注意(併用に注意すること)
11.副作用
11.1重大な副作用
11.2その他の副作用
13.過量投与
16.薬物動態
16.2吸収
16.5排泄
17.臨床成績
17.1有効性及び安全性に関する試験
18.薬効薬理
18.1作用機序
19.有効成分に関する理化学的知見
22.包装
23.主要文献
24.文献請求先及び問い合わせ先
26.製造販売業者等

トリヘキシフェニジル塩酸塩散1%「CH」

添付文書番号

1169002B1116_1_05

企業コード

450064

作成又は改訂年月

2024年9月改訂(第2版)
2024年1月改訂(第1版)

日本標準商品分類番号

871169

薬効分類名

パーキンソン症候群治療剤

承認等

トリヘキシフェニジル塩酸塩散1%「CH」

販売名コード

YJコード

1169002B1116

販売名英語表記

Trihexyphenidyl Hydrochloride Powder

販売名ひらがな

とりへきしふぇにじるえんさんえんさん

承認番号等

承認番号

22500AMX00678000

販売開始年月

1971年3月

貯法・有効期間

貯法

室温保存

有効期間

3年

一般的名称

トリヘキシフェニジル塩酸塩

2. 禁忌(次の患者には投与しないこと)

  1. 2.1 閉塞隅角緑内障の患者[抗コリン作用により眼圧が上昇し、症状を悪化させることがある。]
  2. 2.2 本剤の成分に対し過敏症の既往歴のある患者
  3. 2.3 重症筋無力症の患者[抗コリン作用により症状を増悪させるおそれがある。]

3. 組成・性状

3.1 組成

トリヘキシフェニジル塩酸塩散1%「CH」

有効成分1g中
日局 トリヘキシフェニジル塩酸塩   10mg
添加剤乳糖水和物、トウモロコシデンプン、軽質無水ケイ酸

3.2 製剤の性状

トリヘキシフェニジル塩酸塩散1%「CH」

剤形散剤
色調白色

4. 効能又は効果

  • 特発性パーキンソニズム
  • その他のパーキンソニズム(脳炎後、動脈硬化性)
  • 向精神薬投与によるパーキンソニズム・ジスキネジア(遅発性を除く)・アカシジア

5. 効能又は効果に関連する注意

抗パーキンソン病薬はフェノチアジン系薬剤、レセルピン誘導体等による口周部等の不随意運動(遅発性ジスキネジア)を通常軽減しない。場合によってはこのような症状を増悪顕性化させることがある。

6. 用法及び用量

  • 〈特発性パーキンソニズム及びその他のパーキンソニズム(脳炎後、動脈硬化性)〉

    通常成人トリヘキシフェニジル塩酸塩として、第1日目1mg、第2日目2mg、以後1日につき2mgずつ増量し、1日量6~10mgを維持量として3~4回に分割経口投与する。
    なお、年齢、症状により適宜増減する。

  • 〈向精神薬投与によるパーキンソニズム・ジスキネジア(遅発性を除く)・アカシジア〉

    通常成人トリヘキシフェニジル塩酸塩として、1日量2~10mgを3~4回に分割経口投与する。
    なお、年齢、症状により適宜増減する。

7. 用法及び用量に関連する注意

本剤の投与は、少量から開始し、観察を十分に行い慎重に維持量まで増量すること。また、他剤から本剤に切り替える場合には、他剤を徐々に減量しながら本剤を増量するのが原則である。

8. 重要な基本的注意

  1. 8.1 本剤投与中は定期的に隅角検査及び眼圧検査を行うことが望ましい。
  2. 8.2 眠気、眼の調節障害及び注意力・集中力・反射機能等の低下が起こることがあるので、本剤投与中の患者には自動車の運転等危険を伴う機械の操作には従事させないよう注意すること。

9. 特定の背景を有する患者に関する注意

9.1 合併症・既往歴等のある患者

  1. 9.1.1 開放隅角緑内障の患者

    抗コリン作用により眼圧が上昇し、症状を悪化させることがある。

  2. 9.1.2 前立腺肥大等尿路に閉塞性疾患のある患者

    抗コリン作用により症状を増悪させるおそれがある。

  3. 9.1.3 不整脈又は頻拍傾向のある患者

    抗コリン作用により症状を増悪させるおそれがある。

  4. 9.1.4 高血圧の患者

    抗コリン作用により症状を増悪させるおそれがある。

  5. 9.1.5 高温環境にある患者

    抗コリン作用により発汗抑制が起こりやすい。

  6. 9.1.6 胃腸管に閉塞性疾患のある患者

    抗コリン作用により症状を増悪させるおそれがある。

  7. 9.1.7 動脈硬化性パーキンソン症候群の患者

    精神神経系の副作用が起こりやすい。

  8. 9.1.8 脱水・栄養不良状態等を伴う身体的疲弊のある患者

    悪性症候群が起こりやすい。

9.2 腎機能障害患者

副作用が強くあらわれるおそれがある。

9.3 肝機能障害患者

副作用が強くあらわれるおそれがある。

9.5 妊婦

妊婦又は妊娠している可能性のある女性には投与しないことが望ましい。

9.6 授乳婦

治療上の有益性及び母乳栄養の有益性を考慮し、授乳の継続又は中止を検討すること。

9.7 小児等

治療上の有益性が危険性を上回ると判断される場合にのみ投与すること。小児等を対象とした臨床試験は実施していない。

9.8 高齢者

せん妄、不安等の精神症状及び抗コリン作用による口渇、排尿困難、便秘等があらわれやすい。

10. 相互作用

    10.2 併用注意(併用に注意すること)

    薬剤名等臨床症状・措置方法機序・危険因子

    抗コリン作用を有する薬剤(フェノチアジン系薬剤、三環系抗うつ剤等)

    腸管麻痺(食欲不振、悪心、嘔吐、著しい便秘、腹部の膨満あるいは弛緩及び腸内容物のうっ滞等の症状)を来し、麻痺性イレウスに移行することがある。
    腸管麻痺があらわれた場合には投与を中止し、適切な処置を行うこと。
    なお、この悪心、嘔吐はフェノチアジン系薬剤等の制吐作用により不顕性化することもある。

    相互に抗コリン作用が増強されるためと考えられている。

    中枢神経抑制剤(フェノチアジン系薬剤、三環系抗うつ剤、モノアミン酸化酵素阻害剤等)

    本剤の作用が増強されることがある。
    また、三環系抗うつ剤との併用では、精神錯乱、興奮、幻覚等の副作用が増強されることがある。
    このような症状があらわれた場合には減量又は休薬するなど適切な処置を行うこと。

    相互に中枢神経抑制作用が増強されるためと考えられている。

    他の抗パーキンソン病薬
    (レボドパ、アマンタジン等)

    精神神経系の副作用が増強されることがある。
    このような場合には減量又は休薬するなど適切な処置を行うこと。

    作用機序は明らかでない。

    11. 副作用

    次の副作用があらわれることがあるので、観察を十分に行い、異常が認められた場合には投与を中止するなど適切な処置を行うこと。

    11.1 重大な副作用

    1. 11.1.1 悪性症候群(頻度不明)

      抗精神病薬、抗うつ薬及びドパミン作動系抗パーキンソン病薬との併用において、本剤及び併用薬の減量又は中止により、発熱、無動緘黙、強度の筋強剛、嚥下困難、頻脈、血圧の変動、発汗等があらわれることがある。このような症状があらわれた場合には、体冷却、水分補給等の全身管理とともに適切な処置を行うこと。本症発症時には、白血球の増加や血清CKの上昇があらわれることが多く、また、ミオグロビン尿を伴う腎機能の低下があらわれることがある。

    2. 11.1.2 精神錯乱(頻度不明)、幻覚(頻度不明)、せん妄(頻度不明)
    3. 11.1.3 閉塞隅角緑内障(頻度不明)

      長期投与により閉塞隅角緑内障があらわれることがある。

    11.2 その他の副作用

    頻度不明

    精神神経系

    興奮、神経過敏、気分高揚、多幸症、見当識障害、眠気、運動失調、眩暈、頭痛、倦怠感

    消化器

    悪心、嘔吐、食欲不振、口渇、便秘

    泌尿器

    排尿困難、尿閉

    過敏症

    発疹

    循環器

    心悸亢進

    調節障害、散瞳

    13. 過量投与

    1. 13.1 症状

      アトロピン様の口内乾燥(口渇)、呼吸抑制、顔面紅潮、悪心、嘔吐、意識混濁(精神錯乱)、精神障害、残尿感、痙攣、筋の不協調等の症状があらわれる。また、急性器質性神経症(激興、見当識障害、記憶減退を伴う幻覚等)があらわれる。これは服用数時間のうちに症状が最高となる。中毒症状は通常2~3日で消失するが、精神症状の場合、ときには数ヵ月続くこともある1),2),3)

    2. 13.2 処置

      特異的な解毒剤としてサリチルフィゾスチグミン注)がある。治療は次のように行なう。

      • 1~2mgのサリチルフィゾスチグミンを直ちに筋注する。サリチルフィゾスチグミンは血液脳関門を通過するので本剤による精神症状は注射後5~10分後に消失する。
      • サリチルフィゾスチグミン注射は90分毎に必要に応じて繰返す。その他推奨できる治療法として、抑うつに対する興奮剤、興奮に対する鎮静剤、大量流涎に対するピロカルピン又はメタコリン散瞳又は毛様筋麻痺に対する縮瞳剤等の使用がある。
        注)国内では多くはネオスチグミンメチル硫酸塩が代用されている。

    16. 薬物動態

    16.2 吸収

    経口投与時の主な吸収部位は小腸である。

    16.5 排泄

    健常成人男子にトリヘキシフェニジル塩酸塩水溶液(トリヘキシフェニジル塩酸塩5mg含有)を経口投与したときの尿中排泄率は、72時間で約56%であった4)(外国人データ)。

    17. 臨床成績

    17.1 有効性及び安全性に関する試験

    1. 17.1.1 国内臨床試験

      トリヘキシフェニジル塩酸塩を投与したパーキンソニズム患者において振戦、筋強剛、無動等の神経症状に対し改善が認められている。副作用は口渇が31.0%(9/29例)で最も多く、ついで食思不振24.1%(7/29例)、リビドー亢進24.1%(7/29例)が多かった5)

    18. 薬効薬理

    18.1 作用機序

    パーキンソン病患者は線条体におけるドパミン欠損によって線条体内のコリン作動系の興奮作用が強化される。トリヘキシフェニジル塩酸塩は黒質線条体路におけるアセチルコリンの作用に拮抗して、運動機能の興奮を抑制するものと考えられる6),7)

    18.2 薬効を裏付ける試験成績

    1. 18.2.1 トリヘキシフェニジル塩酸塩を腹腔内に投与した雄性マウスにおけるtremorine、oxotremorine誘発振戦に対する効果(ED50)は、それぞれ1.5、10.7mg/kgであった8)
    2. 18.2.2 トリヘキシフェニジル塩酸塩をThiry-Vella瘻管をほどこしたイヌに静脈内投与した実験では、furmethide誘発の痙攣を完全に抑制し、その持続時間は20~30分間であった9)

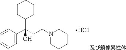
    19. 有効成分に関する理化学的知見

    一般的名称

    トリヘキシフェニジル塩酸塩(Trihexyphenidyl Hydrochloride)

    化学名

    (1RS)-1-Cyclohexyl-1-phenyl-3-(piperidin-1-yl)propan-1-ol monohydrochloride

    分子式

    C20H31NO・HCl

    分子量

    337.93

    性状

    白色の結晶性の粉末で、においはなく、味は苦い。
    エタノール(95)にやや溶けやすく、酢酸(100)にやや溶けにくく、水に溶けにくく、無水酢酸に極めて溶けにくく、ジエチルエーテルにほとんど溶けない。

    化学構造式

    融点

    約250℃(分解)

    22. 包装

    500g[瓶、バラ]

    24. 文献請求先及び問い合わせ先

    日本ジェネリック株式会社 お客さま相談室

    *〒108-0014 東京都港区芝五丁目33番11号

    TEL 0120-893-170 FAX 0120-893-172

    26. 製造販売業者等

    26.1 製造販売元

    長生堂製薬株式会社

    徳島市国府町府中92番地

    26.2 *販売元

    日本ジェネリック株式会社

    東京都港区芝五丁目33番11号

    〒100-0013 東京都千代田区霞が関3-3-2 新霞が関ビル

    画面を閉じる

    Copyright © Pharmaceuticals and Medical Devices Agency, All Rights reserved.