医療用医薬品 詳細表示

トリモール錠2mg/トリモール細粒2%

処方せん医薬品

添付文書番号
企業コード
作成又は改訂年月
日本標準商品分類番号
薬効分類名
承認等
一般的名称
2.禁忌(次の患者には投与しないこと)
3.組成・性状
3.1組成
3.2製剤の性状
4.効能又は効果
5.効能又は効果に関連する注意
6.用法及び用量
7.用法及び用量に関連する注意
8.重要な基本的注意
9.特定の背景を有する患者に関する注意
9.1合併症・既往歴等のある患者
9.2腎機能障害患者
9.3肝機能障害患者
9.5妊婦
9.6授乳婦
9.7小児等
9.8高齢者
10.相互作用
10.2併用注意(併用に注意すること)
11.副作用
11.1重大な副作用
11.2その他の副作用
14.適用上の注意
16.薬物動態
16.3分布
16.5排泄
17.臨床成績
17.1有効性及び安全性に関する試験
18.薬効薬理
18.1作用機序
19.有効成分に関する理化学的知見
20.取扱い上の注意
22.包装
23.主要文献
24.文献請求先及び問い合わせ先
26.製造販売業者等

トリモール錠2mg/トリモール細粒2%

添付文書番号

1169003C1035_3_08

企業コード

450064

作成又は改訂年月

**2024年9月改訂(第3版)
2023年10月改訂(第2版)

日本標準商品分類番号

871169

薬効分類名

パーキンソン症候群治療剤

承認等

トリモール錠2mg

販売名コード

YJコード

1169003F1031

販売名英語表記

TRIMOL Tablets 2mg

販売名ひらがな

とりもーるじょう2mg

承認番号等

承認番号

21900AMX01284000

販売開始年月

1974年2月

貯法・有効期間

貯法

室温保存

有効期間

5年

トリモール細粒2%

販売名コード

YJコード

1169003C1035

販売名英語表記

TRIMOL Fine Granules 2%

販売名ひらがな

とりもーるさいりゅう2%

承認番号等

承認番号

21900AMX01239000

販売開始年月

1974年2月

貯法・有効期間

貯法

室温保存

有効期間

3年

一般的名称

ピロヘプチン塩酸塩製剤

2. 禁忌(次の患者には投与しないこと)

  1. 2.1 閉塞隅角緑内障の患者
  2. 2.2 本剤の成分に対し過敏症の既往歴のある患者
  3. 2.3 重症筋無力症の患者[抗コリン作用のため、筋緊張の低下がみられ、症状を悪化させるおそれがある。]
  4. 2.4 前立腺肥大等尿路に閉塞性疾患のある患者[抗コリン作用のため、排尿筋の弛緩と膀胱括約筋の収縮がみられ、排尿障害を悪化させるおそれがある。]

3. 組成・性状

3.1 組成

トリモール錠2mg

有効成分1錠中
ピロヘプチン塩酸塩   2.24mg
(ピロヘプチンとして   2mg )
添加剤乳糖水和物、低置換度ヒドロキシプロピルセルロース、トウモロコシデンプン、ヒドロキシプロピルセルロース、ステアリン酸マグネシウム、ヒプロメロース、ヒプロメロースフタル酸エステル、トリアセチン、マクロゴール6000、酸化チタン、タルク

トリモール細粒2%

有効成分1g中
ピロヘプチン塩酸塩   22.4mg
(ピロヘプチンとして   20mg )
添加剤乳糖水和物、トウモロコシデンプン、軽質無水ケイ酸、デキストリン、マクロゴール6000

3.2 製剤の性状

トリモール錠2mg

剤形フィルムコート錠
色調白色~微黄白色
外形表面
裏面
側面
大きさ直径6.1mm
厚さ3.0mm
質量93mg
識別コードch411

トリモール細粒2%

剤形細粒剤
色調白色

4. 効能又は効果

パーキンソン症候群

5. 効能又は効果に関連する注意

抗パーキンソン剤はフェノチアジン系薬剤、レセルピン誘導体等による口周部等の不随意運動(遅発性ジスキネジア)を通常軽減しない。場合によってはこのような症状を増悪顕性化させることがあるので注意すること。

6. 用法及び用量

  • 〈錠〉

    通常成人には1日量として3~6錠を1日3回に分けて食後に経口投与する。なお、年齢、症状に応じて適宜増減する。

  • 〈細粒〉

    通常成人には1日量として0.3~0.6gを1日3回に分けて食後に経口投与する。なお、年齢、症状に応じて適宜増減する。

7. 用法及び用量に関連する注意

本剤の投与は、少量から開始し、観察を十分に行い慎重に維持量まで増量すること。また、他剤から本剤に切り替える場合には、他剤を徐々に減量しながら本剤を増量するのが原則である。

8. 重要な基本的注意

  1. 8.1 本剤投与中は定期的に隅角検査及び眼圧検査を行うことが望ましい。
  2. 8.2 眠気、視調節障害及び注意力・集中力・反射運動能力等の低下が起こることがあるので、本剤投与中の患者には自動車の運転等危険を伴う機械の操作に従事させないように注意すること。

9. 特定の背景を有する患者に関する注意

9.1 合併症・既往歴等のある患者

  1. 9.1.1 開放隅角緑内障の患者

    抗コリン作用により眼圧が上昇し、症状を悪化させることがある。

  2. 9.1.2 不整脈又は頻拍傾向のある患者

    抗コリン作用のため、心機能亢進を来し症状を悪化させるおそれがある。

  3. 9.1.3 高温環境にある患者

    抗コリン作用のため発汗抑制が起こりやすい。

  4. 9.1.4 三環系抗うつ剤に対し過敏症の既往歴のある患者
  5. 9.1.5 胃腸管に閉塞性疾患のある患者

    抗コリン作用のため、消化管の緊張を低下させ症状を悪化させるおそれがある。

  6. 9.1.6 脱水・栄養不良状態等を伴う身体的疲弊のある患者

    悪性症候群が起こりやすい。

9.2 腎機能障害患者

代謝・排泄機能が低下しているため、副作用が起こりやすい。

9.3 肝機能障害患者

代謝・排泄機能が低下しているため、副作用が起こりやすい。

9.5 妊婦

妊婦又は妊娠している可能性のある女性には、治療上の有益性が危険性を上回ると判断される場合にのみ投与すること。

9.6 授乳婦

治療上の有益性及び母乳栄養の有益性を考慮し、授乳の継続又は中止を検討すること。

9.7 小児等

治療上の有益性が危険性を上回ると判断される場合にのみ投与すること。小児等を対象とした臨床試験は実施していない。

9.8 高齢者

せん妄、不安等の精神症状及び抗コリン作用による口渇、排尿困難、便秘等があらわれやすい。

10. 相互作用

    10.2 併用注意(併用に注意すること)

    薬剤名等臨床症状・措置方法機序・危険因子

    抗コリン作用を有する薬剤

    • フェノチアジン系薬剤
    • 三環系抗うつ剤等

    腸管麻痺(食欲不振、悪心・嘔吐、著しい便秘、腹部の膨満あるいは弛緩及び腸内容物のうっ滞等の症状)を来し、麻痺性イレウスに移行するおそれがある。
    腸管麻痺があらわれた場合には投与を中止すること。
    なお、この悪心・嘔吐は、フェノチアジン系化合物等の制吐作用により不顕性化することもあるので注意すること。

    本剤及びこれらの薬剤は抗コリン作用を有するため、併用により相互に抗コリン作用を増強させる。

    中枢神経抑制剤

    • フェノチアジン系薬剤
    • 三環系抗うつ剤
    • モノアミン酸化酵素阻害剤
    • バルビツール酸誘導体等

    眠気、精神運動機能低下、精神錯乱等があらわれるおそれがある。

    本剤及びこれらの薬剤は中枢神経抑制作用を有するため、併用により相互に中枢神経抑制作用を増強させる。

    ノルアドレナリン遊離抑制作用を有する血圧降下剤

    • グアネチジン等

    本剤がグアネチジンの作用を減弱させ、降圧効果が低下するおそれがある。

    本剤が、アドレナリン作動性ニューロンへのグアネチジンの取り込みを抑制し、グアネチジンの作用を減弱させる可能性がある。

    11. 副作用

    次の副作用があらわれることがあるので、観察を十分に行い、異常が認められた場合には投与を中止するなど適切な処置を行うこと。

    11.1 重大な副作用

    1. 11.1.1 悪性症候群(頻度不明)

      他の抗パーキンソン剤(ビペリデン等)で、抗精神病薬、抗うつ剤及びドパミン作動系抗パーキンソン剤との併用において、他の抗パーキンソン剤(ビペリデン等)及び併用薬の減量又は中止により、発熱、無動緘黙、意識障害、強度の筋強剛、不随意運動、嚥下困難、頻脈、血圧の変動、発汗等があらわれることが報告されている。このような症状があらわれた場合には、体冷却、水分補給などの全身管理及び本剤の投与量をいったん元に戻した後慎重に漸減する等の適切な処置を行う。本症発症時には、白血球の増加や血清CKの上昇があらわれることが多く、また、ミオグロビン尿を伴う腎機能の低下があらわれることがある。

    11.2 その他の副作用

    0.1~5%未満

    0.1%未満

    精神神経系

    せん妄、眠気、めまい、頭痛、倦怠感、不眠、脱力感

    消化器

    口渇、悪心・嘔吐、便秘、食欲不振、胃部不快感

    泌尿器

    排尿困難

    過敏症

    発疹、そう痒感

    調節障害

    肝臓1)

    AST上昇、ALT上昇

    その他

    鼻閉

    熱感、眼瞼浮腫

    1) 投与中は定期的に肝機能検査を行うことが望ましい。

    14. 適用上の注意

    14.1 薬剤交付時の注意

    PTP包装の薬剤はPTPシートから取り出して服用するよう指導すること。PTPシートの誤飲により、硬い鋭角部が食道粘膜へ刺入し、更には穿孔をおこして縦隔洞炎等の重篤な合併症を併発することがある。

    16. 薬物動態

    16.3 分布

    ラットに3Hで標識したピロへプチンを経口投与した試験では、脳内未変化体濃度は血清中濃度より高く、ピロへプチンが容易に脳に移行することが示されている1)

    16.5 排泄

    ラットに14Cで標識したピロへプチンを経口投与した試験では、消化管から速やかに吸収され、主として胆汁中に排泄されることが認められており、尿中への未変化体の排泄はわずかであった1)

    17. 臨床成績

    17.1 有効性及び安全性に関する試験

    1. 17.1.1 国内/海外臨床試験

      一般臨床試験278例によるパーキンソン症候群に対する総合効果は、66.9%(186/278例)であった。(本剤単独投与例、有効以上、社内集計)

    18. 薬効薬理

    18.1 作用機序

    線条体シナプトゾームへのドパミンの取り込みを特異的に阻止する。

    18.2 振戦に対する抑制作用

    ピロヘプチンはトレモリン及びオキソトレモリンによるマウスの振戦並びにピロカルピンによるラットの振戦に対していずれも強い抑制作用を示し、特にトレモリン振戦に対してはピロヘプチンは皮下投与でアトロピンの約3倍、トリヘキシフェニジルの約6倍、プロメタジンの約12倍の強さである。
    このことはピロヘプチンが強い中枢性抗コリン作用を有することを示している2)

    18.3 カタトニーに対する抑制作用

    パーフェナジンによって起こるラット及びサルのカタトニー並びにハロペリドールによるラットのカタトニーに対してピロヘプチンは強い抑制作用を示し、特にパーフェナジンに対してはアトロピンの約4倍、トリヘキシフェニジル及びプロメタジンとはほぼ同等の作用を示している2)

    18.4 レボドパ(L-Dopa)の作用の増強

    正常なマウス又はレセルピン前処置を行ったマウスの自発運動量を指標とした場合、ピロヘプチンはレボドパの作用を明らかに増強している2)

    18.5 末梢性抗コリン作用

    トレモリン、オキソトレモリン又はピロカルピンによってマウスやラットで起こる流涎や流涙等の末梢性の作用に対してもピロヘプチンは拮抗作用を示す。しかしこれらの作用を中枢性の抗振戦作用と比較した場合、アトロピンが中枢よりも末梢に対しより選択的であり、トリヘキシフェニジルが両者に対して同等の作用を示すのに対し、ピロヘプチンは末梢よりも中枢においてより強い抗コリン作用を示すことが判明している。
    また、ピロヘプチンは、イヌの唾液分泌、モルモットの摘出腸管の攣縮に対しても拮抗作用を示しているが、これらの作用もアトロピンやトリヘキシフェニジルよりも明らかに弱いことが示されている2),3)

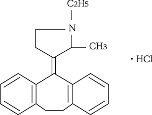
    19. 有効成分に関する理化学的知見

    一般的名称

    ピロヘプチン塩酸塩(Piroheptine Hydrochloride)

    化学名

    3-(10,11-Dihydro-5H-dibenzo[ad]cyclohepten-5-ylidene)-1-ethyl-2-methylpyrrolidine hydrochloride

    分子式

    C22H25N・HCl

    分子量

    339.90

    性状

    白色~微黄白色の結晶又は結晶性の粉末で、においはない。メタノール、酢酸(100)、エタノール(95)又はクロロホルムに溶けやすく、水にやや溶けにくく、アセトンに溶けにくく、ジエチルエーテルにほとんど溶けない。光により徐々に着色する。

    化学構造式

    融点

    約253℃(分解)

    分配係数

    1.26×10-1(1-オクタノール/水系)

    20. 取扱い上の注意

    • 〈細粒〉

      外箱開封後は、遮光して保存すること。

    22. 包装

    • *トリモール錠2mg

      100錠[10錠(PTP)×10]

    • トリモール細粒2%

      100g[瓶、バラ]

    24. 文献請求先及び問い合わせ先

    日本ジェネリック株式会社 お客さま相談室

    **〒108-0014 東京都港区芝五丁目33番11号

    TEL 0120-893-170 FAX 0120-893-172

    26. 製造販売業者等

    26.1 製造販売元

    長生堂製薬株式会社

    徳島市国府町府中92番地

    26.2 **販売元

    日本ジェネリック株式会社

    東京都港区芝五丁目33番11号

    〒100-0013 東京都千代田区霞が関3-3-2 新霞が関ビル

    画面を閉じる

    Copyright © Pharmaceuticals and Medical Devices Agency, All Rights reserved.