医療用医薬品 詳細表示

アニスーマ坐剤

処方せん医薬品以外の医薬品

添付文書番号
企業コード
作成又は改訂年月
日本標準商品分類番号
薬効分類名
承認等
一般的名称
2.禁忌(次の患者には投与しないこと)
3.組成・性状
3.1組成
3.2製剤の性状
4.効能又は効果
6.用法及び用量
8.重要な基本的注意
9.特定の背景を有する患者に関する注意
9.1合併症・既往歴等のある患者
9.2腎機能障害患者
9.5妊婦
9.7小児等
9.8高齢者
10.相互作用
10.1併用禁忌(併用しないこと)
10.2併用注意(併用に注意すること)
11.副作用
11.2その他の副作用
14.適用上の注意
18.薬効薬理
18.1作用機序
19.有効成分に関する理化学的知見
22.包装
23.主要文献
24.文献請求先及び問い合わせ先
26.製造販売業者等

アニスーマ坐剤

添付文書番号

2259800J1030_2_04

企業コード

450064

作成又は改訂年月

2024年9月改訂(第2版)
2023年8月改訂(第1版)

日本標準商品分類番号

872259

薬効分類名

感冒・上気道炎、急性気管支炎治療剤

承認等

アニスーマ坐剤

販売名コード

YJコード

2259800J1030

販売名英語表記

ANYSUMER SUPPOSITORIES

販売名ひらがな

あにすーまざざい

承認番号等

承認番号

21900AMX01470000

販売開始年月

1969年1月

貯法・有効期間

貯法

冷暗所保存

有効期間

3年

一般的名称

ジプロフィリン/dl-メチルエフェドリン塩酸塩

2. 禁忌(次の患者には投与しないこと)

  1. 2.1 キサンチン系薬剤に対し重篤な副作用の既往歴のある患者
  2. 2.2 カテコールアミン製剤(アドレナリン、イソプレナリン等)を投与中の患者

3. 組成・性状

3.1 組成

アニスーマ坐剤

有効成分1個中
ジプロフィリン   100mg
1個中
日局 dl-メチルエフェドリン塩酸塩   10mg
添加剤ハードファット

3.2 製剤の性状

アニスーマ坐剤

剤形円錐形の坐剤
色調白色
外形
大きさ全長25mm
質量1000mg
識別コードAF
においない

4. 効能又は効果

  • 下記疾患に伴う咳嗽及び気道閉塞症状

    小児気管支喘息、喘息性気管支炎

  • 経口投与が困難な場合の下記疾患に伴う咳嗽及び気道閉塞症状

    急性気管支炎、感冒・上気道炎

6. 用法及び用量

通常、体重20kg以上の小児及び成人には1回1~2個を1日1~2回、6~12時間の間隔をおいて、就寝前又は必要時に直腸内に挿入する。
20kg以下の小児には適宜分割して投与する。

8. 重要な基本的注意

  1. 8.1 用法・用量どおり正しく使用しても効果が認められない場合は、本剤が適当でないと考えられるので、投与を中止すること。
  2. 8.2 過度に使用を続けた場合、不整脈、場合によっては心停止を起こすおそれがあるので、使用が過度にならないように注意すること。

9. 特定の背景を有する患者に関する注意

9.1 合併症・既往歴等のある患者

  1. 9.1.1 心疾患のある患者

    心筋刺激作用を有するため、動悸、不整脈等があらわれるおそれがある。

  2. 9.1.2 てんかんの患者

    中枢刺激作用によって発作を起こすおそれがある。

  3. 9.1.3 甲状腺機能亢進症の患者

    甲状腺機能亢進に伴う代謝亢進、カテコールアミンの作用を増強するおそれがある。

9.2 腎機能障害患者

  1. 9.2.1 急性腎炎の患者

    腎臓に対する負荷を高め、尿蛋白が増強するおそれがある。

9.5 妊婦

妊婦又は妊娠している可能性のある女性には、治療上の有益性が危険性を上まわると判断される場合にのみ投与すること。類薬(テオフィリン)の動物実験(マウス)で催奇形性が認められている。

9.7 小児等

過剰投与にならないように十分に注意すること。

9.8 高齢者

減量するなど注意すること。一般に生理機能が低下している。

10. 相互作用

    10.1 併用禁忌(併用しないこと)

    薬剤名等臨床症状・措置方法機序・危険因子

    カテコールアミン製剤

    • アドレナリン
    • イソプレナリン等

    不整脈、場合によっては心停止を起こすおそれがある。

    dl-メチルエフェドリン塩酸塩が配合されているため、相加的に交感神経刺激作用を増強させる。

    10.2 併用注意(併用に注意すること)

    薬剤名等臨床症状・措置方法機序・危険因子

    他のキサンチン系薬剤

    • テオフィリン
    • アミノフィリン水和物
    • カフェイン水和物等

    中枢神経興奮薬

    • エフェドリン塩酸塩
    • マオウ等

    過度の中枢神経刺激作用があらわれることがある。異常が認められた場合には、減量又は投与を中止するなど適切な処置を行うこと。

    併用により、中枢神経刺激作用が増強される。

    MAO阻害剤
    甲状腺製剤

    • チロキシン
    • リオチロニン等

    本剤の作用が増強されるおそれがあるので、減量するなど慎重に投与すること。

    機序不明

    11. 副作用

    次の副作用があらわれることがあるので、観察を十分に行い、異常が認められた場合には投与を中止するなど適切な処置を行うこと。

    11.2 その他の副作用

    0.1~5%未満

    頻度不明

    循環器

    頻脈、心悸亢進、顔面蒼白

    精神神経系

    頭痛、不眠、めまい、神経過敏、熱感、疲労感

    消化器

    悪心・嘔吐、食欲不振、下痢、腹痛、胃部膨満感、口渇

    過敏症

    発疹

    投与部位

    便意、局所の不快感、かゆみ

    14. 適用上の注意

    14.1 薬剤投与時の注意

    1. 14.1.1 坐剤の取り出し方

      坐剤の1つを切り離し、上の合わせ目を2枚に剝ぎ破り坐剤を取り出してください。

    2. 14.1.2 坐剤の入れ方
      1. (1) お子さまの場合は坐剤を肛門内に深く入れ、2~3分肛門に紙などをあてて押えておいてください。
      2. (2) 自然排便後又は浣腸排便後に使用すると薬はすみやかに吸収され効果がはやくあらわれます。便がたまっている状態で使用すると坐剤が便とともに排出されることがあります。

    18. 薬効薬理

    18.1 作用機序

    ジプロフィリンはフォスフォジエステラーゼ活性を阻害し、細胞中のcyclic3', 5'-AMPを増加させ、気管支拡張作用をあらわす1),2),3)。dl-メチルエフェドリン塩酸塩は、α及びβ受容体を刺激するが、作用の一部は交感神経終末からのノルアドレナリン遊離を介する間接的なものである。臨床的にはβ2受容体刺激による気管支拡張作用が利用される4)

    18.2 鎮咳作用

    dl-メチルエフェドリン塩酸塩の亜硫酸ガス吸入によるモルモット実験咳に対する鎮咳作用(ED50)は皮下投与24mg/kgで、エフェドリンの0.7倍、コデインの0.6倍である。また機械的刺激に対しては腹腔内投与35.2mg/kgで、コデインの0.4倍である5)

    18.3 気管支拡張作用

    アセチルコリン-塩酸、ヒスタミン-塩酸による摘出気管支収縮に対し、ジプロフィリン、dl-メチルエフェドリン塩酸塩各単独使用に比し、アニスーマ坐剤の気管支拡張率が大となり気管支拡張作用の相乗効果が認められた6)。(ラット)

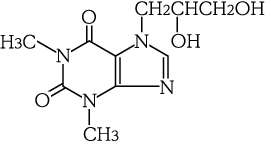
    19. 有効成分に関する理化学的知見

    19.1 ジプロフィリン

    一般的名称

    ジプロフィリン(Diprophylline)

    化学名

    7-(2, 3-Dihydroxypropyl)theophylline

    分子式

    C10H14N4O4

    分子量

    254.25

    性状

    白色の粉末又は粒で、においはなく、味は苦い。水に溶けやすく、エタノール(95)に溶けにくく、ジエチルエーテルにほとんど溶けない。

    化学構造式

    融点

    160~164℃

    19.2 dl-メチルエフェドリン塩酸塩

    一般的名称

    dl-メチルエフェドリン塩酸塩(dl-Methylephedrine Hydrochloride)

    化学名

    (1RS,2SR)-2-Dimethylamino-1-phenylpropan-1-ol monohydrochloride

    分子式

    C11H17NO・HCl

    分子量

    215.72

    性状

    無色の結晶又は白色の結晶性の粉末である。水に溶けやすく、エタノール(99.5)にやや溶けにくく、酢酸(100)に溶けにくく、無水酢酸にほとんど溶けない。水溶液(1→20)は旋光性を示さない。

    化学構造式

    融点

    207~211℃

    22. 包装

    100個(5個×20)

    24. 文献請求先及び問い合わせ先

    日本ジェネリック株式会社 お客さま相談室

    *〒108-0014 東京都港区芝五丁目33番11号

    TEL 0120-893-170 FAX 0120-893-172

    26. 製造販売業者等

    26.1 製造販売元

    長生堂製薬株式会社

    徳島市国府町府中92番地

    26.2 *販売元

    日本ジェネリック株式会社

    東京都港区芝五丁目33番11号

    〒100-0013 東京都千代田区霞が関3-3-2 新霞が関ビル

    画面を閉じる

    Copyright © Pharmaceuticals and Medical Devices Agency, All Rights reserved.