医療用医薬品 詳細表示

セファクロル細粒小児用10%「JG」

処方せん医薬品

添付文書番号
企業コード
作成又は改訂年月
日本標準商品分類番号
薬効分類名
承認等
一般的名称
2.禁忌(次の患者には投与しないこと)
3.組成・性状
3.1組成
3.2製剤の性状
4.効能又は効果
5.効能又は効果に関連する注意
6.用法及び用量
8.重要な基本的注意
9.特定の背景を有する患者に関する注意
9.1合併症・既往歴等のある患者
9.2腎機能障害患者
11.副作用
11.1重大な副作用
11.2その他の副作用
12.臨床検査結果に及ぼす影響
14.適用上の注意
16.薬物動態
16.1血中濃度
16.3分布
16.4代謝
16.5排泄
17.臨床成績
17.1有効性及び安全性に関する試験
18.薬効薬理
18.1作用機序
19.有効成分に関する理化学的知見
20.取扱い上の注意
22.包装
23.主要文献
24.文献請求先及び問い合わせ先
26.製造販売業者等

セファクロル細粒小児用10%「JG」

添付文書番号

6132005C1240_1_07

企業コード

450064

作成又は改訂年月

**2024年9月改訂(第2版)
2024年1月改訂(第1版)

日本標準商品分類番号

876132

薬効分類名

経口用セフェム系抗生物質製剤

承認等

セファクロル細粒小児用10%「JG」

販売名コード

YJコード

6132005C1240

販売名英語表記

Cefaclor Fine Granules for Pediatric

販売名ひらがな

せふぁくろるさいりゅうしょうによう

承認番号等

承認番号

22500AMX01266000

販売開始年月

1990年10月

貯法・有効期間

貯法

室温保存

有効期間

2年

基準名

日本薬局方

セファクロル細粒

一般的名称

セファクロル

2. 禁忌(次の患者には投与しないこと)

本剤の成分に対し過敏症の既往歴のある患者

3. 組成・性状

3.1 組成

セファクロル細粒小児用10%「JG」

有効成分1g中
日局 セファクロル   100mg(力価)
添加剤精製白糖、トウモロコシデンプン、アルギン酸ナトリウム、ヒドロキシプロピルセルロース、アスコルビン酸、シリコーン樹脂、黄色4号(タートラジン)、黄色5号、含水二酸化ケイ素、バニリン、l-メントール、香料

3.2 製剤の性状

セファクロル細粒小児用10%「JG」

色調・剤形うすい黄色の細粒

4. 効能又は効果

  • 〈適応菌種〉

    本剤に感性のブドウ球菌属、レンサ球菌属、肺炎球菌、大腸菌、クレブシエラ属、プロテウス・ミラビリス、インフルエンザ菌

  • 〈適応症〉
    • 表在性皮膚感染症、深在性皮膚感染症、リンパ管・リンパ節炎、慢性膿皮症
    • 外傷・熱傷及び手術創等の二次感染、乳腺炎
    • 咽頭・喉頭炎、扁桃炎、急性気管支炎、肺炎、慢性呼吸器病変の二次感染
    • 膀胱炎、腎盂腎炎
    • 麦粒腫
    • 中耳炎
    • 歯周組織炎、歯冠周囲炎、顎炎
    • 猩紅熱

5. 効能又は効果に関連する注意

  • 〈咽頭・喉頭炎、扁桃炎、急性気管支炎、中耳炎〉

    「抗微生物薬適正使用の手引き」1)を参照し、抗菌薬投与の必要性を判断した上で、本剤の投与が適切と判断される場合に投与すること。

6. 用法及び用量

通常、幼小児にはセファクロルとして体重kgあたり1日20~40mg(力価)を3回に分割して経口投与する。
なお、年齢、体重、症状等に応じ適宜増減する。

8. 重要な基本的注意

  1. 8.1 ショックがあらわれるおそれがあるので、十分な問診を行うこと。
  2. 8.2 本剤の使用にあたっては、耐性菌の発現等を防ぐため、原則として感受性を確認し、疾病の治療上必要な最小限の期間の投与にとどめること。
  3. 8.3 急性腎障害等の重篤な腎障害があらわれることがあるので、定期的に腎機能検査を行うなど観察を十分に行うこと。

9. 特定の背景を有する患者に関する注意

9.1 合併症・既往歴等のある患者

  1. 9.1.1 セフェム系抗生物質に対し過敏症の既往歴のある患者(ただし、本剤に対し過敏症の既往歴のある患者には投与しないこと)

    治療上やむを得ないと判断される場合を除き、投与しない。

  2. 9.1.2 ペニシリン系抗生物質に対し過敏症の既往歴のある患者
  3. 9.1.3 本人又は両親、兄弟に気管支喘息、発疹、蕁麻疹等のアレルギー症状を起こしやすい体質を有する患者
  4. 9.1.4 経口摂取の不良な患者又は非経口栄養の患者、全身状態の悪い患者

    観察を十分に行うこと。ビタミンK欠乏症状があらわれることがある。

9.2 腎機能障害患者

  1. 9.2.1 高度の腎障害のある患者

    投与量を減らすか、投与間隔をあけて使用すること。血中濃度が持続する。

11. 副作用

次の副作用があらわれることがあるので、観察を十分に行い、異常が認められた場合には投与を中止するなど適切な処置を行うこと。

11.1 重大な副作用

  1. 11.1.1 ショック、アナフィラキシー(いずれも0.1%未満)

    ショック、アナフィラキシー(呼吸困難、喘鳴、全身潮紅、浮腫等)を起こすことがある。

  2. 11.1.2 急性腎障害(頻度不明)

    急性腎障害等の重篤な腎障害があらわれることがある。

  3. 11.1.3 汎血球減少、無顆粒球症、血小板減少(いずれも頻度不明)
  4. 11.1.4 偽膜性大腸炎(0.1%未満)

    偽膜性大腸炎等の血便を伴う重篤な大腸炎があらわれることがある。腹痛、頻回の下痢があらわれた場合には、直ちに投与を中止するなど適切な処置を行うこと。

  5. 11.1.5 中毒性表皮壊死融解症(Toxic Epidermal Necrolysis:TEN)、皮膚粘膜眼症候群(Stevens-Johnson症候群)(いずれも頻度不明)
  6. 11.1.6 間質性肺炎、PIE症候群(いずれも頻度不明)

    発熱、咳嗽、呼吸困難、胸部X線異常、好酸球増多等を伴う間質性肺炎、PIE症候群等があらわれることがあるので、このような症状があらわれた場合には投与を中止し、副腎皮質ホルモン剤の投与等の適切な処置を行うこと。

  7. 11.1.7 肝機能障害、黄疸(いずれも頻度不明)

    AST、ALT、Al-Pの著しい上昇等を伴う肝機能障害、黄疸があらわれることがある。

  8. 11.1.8 溶血性貧血

11.2 その他の副作用

0.1~5%未満

0.1%未満

頻度不明

過敏症

発疹

蕁麻疹、紅斑、そう痒、発熱等

リンパ腺腫脹、関節痛

血液

顆粒球減少、貧血(赤血球減少、ヘモグロビン減少、ヘマトクリット減少)、血小板減少、好酸球増多等

肝臓

AST上昇、ALT上昇

Al-P上昇

黄疸

腎臓

BUN上昇、血清クレアチニン上昇

消化器

悪心、下痢、腹痛

嘔吐、胃不快感、胸やけ、食欲不振等

菌交代症

口内炎、カンジダ症

ビタミン欠乏症

ビタミンK欠乏症状(低プロトロンビン血症、出血傾向等)、ビタミンB群欠乏症状(舌炎、口内炎、食欲不振、神経炎等)

その他

頭痛、めまい等

12. 臨床検査結果に及ぼす影響

  1. 12.1 テステープ反応を除くベネディクト試薬、フェーリング試薬による尿糖検査では偽陽性を呈することがあるので注意すること。
  2. 12.2 直接クームス試験陽性を呈することがあるので注意すること。

14. 適用上の注意

14.1 薬剤交付時の注意

牛乳、ジュース等に懸濁したまま放置しないように注意すること。

16. 薬物動態

16.1 血中濃度

  1. 16.1.1 生物学的同等性試験

    セファクロル細粒小児用10%「JG」とケフラール細粒小児用100mgを、クロスオーバー法によりそれぞれ2.5g(セファクロルとして250mg(力価))健康成人男子に空腹時単回経口投与して血漿中セファクロル濃度を測定し、得られた薬物動態パラメータ(AUC、Cmax)について統計解析を行った結果、両剤の生物学的同等性が確認された2)

    判定パラメータ

    参考パラメータ

    AUC0-24
    (μg(力価)・hr/mL)

    Cmax
    (μg(力価)/mL)

    Tmax
    (hr)

    セファクロル細粒小児用10%「JG」

    9.86±0.35

    7.86±0.40

    0.63±0.06

    ケフラール細粒小児用100mg

    9.94±0.47

    7.53±0.36

    0.65±0.04

    (Mean±S.E.,n=10)

    血漿中濃度並びにAUC、Cmax等のパラメータは、被験者の選択、体液の採取回数・時間等の試験条件によって異なる可能性がある。

16.3 分布

  1. 16.3.1 扁桃・上顎洞粘膜3)、肺組織4)、口腔組織5)(歯肉、嚢胞壁、顎骨)、乳汁中6)に移行が認められた。(成人でのデータ)
  2. 16.3.2 限外ろ過法にて測定された血漿蛋白結合率は23.1%であった7)

16.4 代謝

ラット、マウス、ウサギ、イヌに経口投与後、大部分が未変化体のまま尿中に排泄された7)

16.5 排泄

小児患者(6~10歳)に10mg(力価)/kg(n=10)空腹時単回経口投与後6時間以内の尿中回収率は約66%であった8),9),10),11)

17. 臨床成績

17.1 有効性及び安全性に関する試験

  1. 17.1.1 二重盲検比較試験

    セファレキシンを対照薬とし、急性化膿性中耳炎を対象とした二重盲検比較試験12)において、セファクロルの有用性が確認された。臨床成績を表17-1に示す。

    表17-1 臨床成績

    セファクロル

    セファレキシン

    有効例数/有効性評価対象例数

    有効率(%)

    有効例数/有効性評価対象例数

    有効率(%)

    58/65

    89.2

    50/59

    84.7

    副作用発現例は両薬剤群ともにみられなかった。

18. 薬効薬理

18.1 作用機序

細菌の細胞壁合成を阻害することにより抗菌作用を発揮し、作用は殺菌的である。セファレキシンより低濃度・短時間で殺菌に至らしめる13),14)

18.2 抗菌作用

試験管内で好気性グラム陽性菌のブドウ球菌属、レンサ球菌属、肺炎球菌、グラム陰性菌の大腸菌、クレブシエラ属、プロテウス・ミラビリス、インフルエンザ菌に対して抗菌力を示す13),14),15)

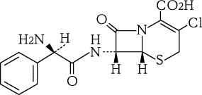
19. 有効成分に関する理化学的知見

一般的名称

セファクロル(Cefaclor)

化学名

(6R,7R)-7-[(2R)-2-Amino-2-phenylacetylamino]-3-chloro-8-oxo-5-thia-1-azabicyclo[4.2.0]oct-2-ene-2-carboxylic acid

分子式

C15H14ClN3O4S

分子量

367.81

性状

白色~黄白色の結晶性の粉末である。
水又はメタノールに溶けにくく、NN-ジメチルホルムアミド又はエタノール(99.5)にほとんど溶けない。

化学構造式

20. 取扱い上の注意

外箱開封後は遮光して保存すること。

22. 包装

*100g[瓶、バラ、乾燥剤入り]

24. 文献請求先及び問い合わせ先

日本ジェネリック株式会社 お客さま相談室

**〒108-0014 東京都港区芝五丁目33番11号

TEL 0120-893-170 FAX 0120-893-172

26. 製造販売業者等

26.1 製造販売元

長生堂製薬株式会社

徳島市国府町府中92番地

26.2 **販売元

日本ジェネリック株式会社

東京都港区芝五丁目33番11号

〒100-0013 東京都千代田区霞が関3-3-2 新霞が関ビル

画面を閉じる

Copyright © Pharmaceuticals and Medical Devices Agency, All Rights reserved.