医療用医薬品 詳細表示

エポセリン坐剤125/エポセリン坐剤250

処方せん医薬品

添付文書番号
企業コード
作成又は改訂年月
日本標準商品分類番号
薬効分類名
承認等
一般的名称
2.禁忌(次の患者には投与しないこと)
3.組成・性状
3.1組成
3.2製剤の性状
4.効能又は効果
5.効能又は効果に関連する注意
6.用法及び用量
8.重要な基本的注意
9.特定の背景を有する患者に関する注意
9.1合併症・既往歴等のある患者
9.2腎機能障害患者
9.5妊婦
9.6授乳婦
9.7小児等
10.相互作用
10.2併用注意(併用に注意すること)
11.副作用
11.1重大な副作用
11.2その他の副作用
12.臨床検査結果に及ぼす影響
14.適用上の注意
16.薬物動態
16.1血中濃度
16.3分布
16.5排泄
17.臨床成績
17.1有効性及び安全性に関する試験
18.薬効薬理
18.1作用機序
19.有効成分に関する理化学的知見
20.取扱い上の注意
22.包装
23.主要文献
24.文献請求先及び問い合わせ先
26.製造販売業者等

エポセリン坐剤125/エポセリン坐剤250

添付文書番号

6132700J1022_4_07

企業コード

450064

作成又は改訂年月

2024年9月改訂(第2版)
2023年8月改訂(第1版)

日本標準商品分類番号

876132

薬効分類名

合成セファロスポリン製剤

承認等

エポセリン坐剤125

販売名コード

YJコード

6132700J1022

販売名英語表記

EPOCELIN Suppositories 125

販売名ひらがな

えぽせりんざざい125

承認番号等

承認番号

16100EMZ01723000

販売開始年月

1986年10月

貯法・有効期間

貯法

室温保存

有効期間

2年

エポセリン坐剤250

販売名コード

YJコード

6132700J2029

販売名英語表記

EPOCELIN Suppositories 250

販売名ひらがな

えぽせりんざざい250

承認番号等

承認番号

16100EMZ01724000

販売開始年月

1986年10月

貯法・有効期間

貯法

室温保存

有効期間

2年

一般的名称

セフチゾキシムナトリウム

2. 禁忌(次の患者には投与しないこと)

本剤の成分に対し過敏症の既往歴のある患者

3. 組成・性状

3.1 組成

エポセリン坐剤125

有効成分1個中
日局 セフチゾキシムナトリウム   125mg(力価)
添加剤カプリン酸ナトリウム、ハードファット

エポセリン坐剤250

有効成分1個中
日局 セフチゾキシムナトリウム   250mg(力価)
添加剤カプリン酸ナトリウム、ハードファット

3.2 製剤の性状

エポセリン坐剤125

剤形紡錘形坐剤
色調白色~帯黄白色
外形
大きさ全長21mm
質量750mg
識別コードch1E

エポセリン坐剤250

剤形紡錘形坐剤
色調白色~帯黄白色
外形
大きさ全長25mm
質量1250mg
識別コードch2E

4. 効能又は効果

  • 〈適応菌種〉

    セフチゾキシムに感性のレンサ球菌属、肺炎球菌、大腸菌、シトロバクター属、クレブシエラ属、エンテロバクター属、セラチア属、プロテウス属、モルガネラ・モルガニー、プロビデンシア属、インフルエンザ菌、ペプトストレプトコッカス属、バクテロイデス属、プレボテラ・メラニノジェニカ

  • 〈適応症〉

    急性気管支炎、肺炎、慢性呼吸器病変の二次感染、膀胱炎、腎盂腎炎

5. 効能又は効果に関連する注意

  • 〈急性気管支炎〉

    「抗微生物薬適正使用の手引き」1)を参照し、抗菌薬投与の必要性を判断した上で、本剤の投与が適切と判断される場合に投与すること。

6. 用法及び用量

通常、小児に体重kg当りセフチゾキシムとして1日20~70mg(力価)を、3~4回に分けて肛門内に挿入する。なお、年齢、症状により適宜増減する。

8. 重要な基本的注意

  1. 8.1 本剤の使用にあたっては、耐性菌の発現等を防ぐため、原則として感受性を確認し、疾病の治療上必要な最小限の期間の投与にとどめること。
  2. 8.2 本剤によるショック、アナフィラキシーの発生を確実に予知できる方法がないので、事前に既往歴等について十分な問診を行うこと。なお、抗生物質等によるアレルギー歴は必ず確認すること。,
  3. 8.3 汎血球減少、無顆粒球症、溶血性貧血、血小板減少、肝障害、急性腎障害等の重篤な腎障害があらわれることがあるので、定期的に検査を行うなど観察を十分に行うこと。,,

9. 特定の背景を有する患者に関する注意

9.1 合併症・既往歴等のある患者

  1. 9.1.1 セフェム系又はペニシリン系抗生物質に対し過敏症の既往歴のある患者(ただし、本剤の成分に対し過敏症の既往歴のある患者には使用しないこと)

  2. 9.1.2 本人又は両親、兄弟に気管支喘息、発疹、蕁麻疹等のアレルギー症状を起こしやすい体質を有する患者
  3. 9.1.3 経口摂取の不良な患者又は非経口栄養の患者、全身状態の悪い患者

    観察を十分に行うこと。ビタミンK欠乏症状があらわれることがある。

9.2 腎機能障害患者

  1. 9.2.1 高度の腎障害のある患者

    腎障害の程度に応じて投与量を減量し、投与の間隔をあけて使用すること。血中濃度が持続する。

9.5 妊婦

妊婦又は妊娠している可能性のある女性には、治療上の有益性が危険性を上回ると判断される場合にのみ投与すること。

9.6 授乳婦

治療上の有益性及び母乳栄養の有益性を考慮し、授乳の継続又は中止を検討すること。

9.7 小児等

低出生体重児、新生児を対象とした臨床試験は実施していない。

10. 相互作用

    10.2 併用注意(併用に注意すること)

    薬剤名等臨床症状・措置方法機序・危険因子

    ワルファリンカリウム

    ワルファリンカリウムの作用が増強されるおそれがある。ただし、本剤に関する症例報告はない。

    腸内細菌によるビタミンKの産生を抑制することがある。

    利尿剤

    • フロセミド等

    腎障害が増強されるおそれがある。

    機序は明らかではないが、他のセフェム系抗生物質で、腎障害が増強されるとの報告がある。

    11. 副作用

    次の副作用があらわれることがあるので、観察を十分に行い、異常が認められた場合には投与を中止するなど適切な処置を行うこと。

    11.1 重大な副作用

    1. 11.1.1 ショック(0.1%未満)

      不快感、口内異常感、喘鳴、眩暈、便意、耳鳴、発汗等があらわれた場合には投与を中止し、適切な処置を行うこと。

    2. 11.1.2 アナフィラキシー(0.1%未満)

      呼吸困難、全身潮紅、血管浮腫、蕁麻疹等があらわれることがある。

    3. 11.1.3 血液障害(0.1%未満)

      汎血球減少、無顆粒球症(初期症状:発熱、咽頭痛、頭痛、倦怠感等)、溶血性貧血(初期症状:発熱、ヘモグロビン尿、貧血症状等)、血小板減少(初期症状:点状出血、紫斑等)があらわれることがある。

    4. 11.1.4 肝障害

      黄疸(0.1%未満)、AST、ALT、Al-Pの上昇(各0.1~5%未満)等があらわれることがある。

    5. 11.1.5 腎障害

      急性腎障害等の重篤な腎障害(0.1%未満)があらわれることがある。

    6. 11.1.6 大腸炎

      偽膜性大腸炎等の血便を伴う重篤な大腸炎(0.1%未満)があらわれることがある。腹痛、頻回の下痢があらわれた場合には直ちに投与を中止し、適切な処置を行うこと。

    7. 11.1.7 間質性肺炎、PIE症候群

      発熱、咳嗽、呼吸困難、胸部X線異常、好酸球増多等を伴う間質性肺炎(0.1%未満)、PIE症候群(0.1%未満)等があらわれることがあるので、このような症状があらわれた場合には投与を中止し、副腎皮質ホルモン剤の投与等の適切な処置を行うこと。

    8. 11.1.8 皮膚障害(頻度不明)

      中毒性表皮壊死融解症(Toxic Epidermal Necrolysis:TEN)、皮膚粘膜眼症候群(Stevens-Johnson症候群)があらわれることが報告されているので、観察を十分に行い、発熱、頭痛、関節痛、皮膚や粘膜の紅斑・水疱、皮膚の緊張感・灼熱感・疼痛等が認められた場合には投与を中止し、適切な処置を行うこと。

    11.2 その他の副作用

    0.1~5%未満

    0.1%未満

    過敏症

    発疹、蕁麻疹、紅斑、そう痒、発熱

    リンパ腺腫脹、しびれ

    血液

    顆粒球減少、好酸球増多

    貧血

    消化器

    下痢、排便感、腹痛

    悪心、嘔吐

    菌交代症

    口内炎、カンジダ症

    ビタミン欠乏症

    ビタミンK欠乏症状(低プロトロンビン血症、出血傾向等)、ビタミンB群欠乏症状(舌炎、口内炎、食欲不振、神経炎等)

    その他

    投与局所の疼痛

    投与局所のびらん、頭痛

    12. 臨床検査結果に及ぼす影響

    1. 12.1 テステープ反応を除くベネディクト試薬、フェーリング試薬による尿糖検査では偽陽性を呈することがあるので注意すること。
    2. 12.2 直接クームス試験陽性を呈することがあるので注意すること。

    14. 適用上の注意

    14.1 薬剤交付時の注意

    本剤はできるだけ排便後に用いるよう指導すること。

    16. 薬物動態

    16.1 血中濃度

    患児に本剤125mg(平均11.1mg/kg)、250mg(平均15.8mg/kg)を直腸内に投与したとき、血清中濃度ピーク値はそれぞれ6.01μg/mL(投与15分後)、8.59μg/mL(投与30分後)を示した。また、血清中濃度半減期は1.21時間(125mg投与時)、1.33時間(250mg投与時)であった2)

    エポセリン坐剤の血清中濃度

    16.3 分布

    1. 16.3.1 組織内移行

      患児に本剤250mg(平均10.4mg/kg)を直腸内投与したときの扁桃組織内濃度は2.73μg/g(投与30分後)であった3)

    16.5 排泄

    1. 16.5.1 尿中排泄

      患児に本剤125mg(平均5.2mg/kg)、250mg(平均9.2mg/kg)を直腸内投与したときの尿中回収率(投与後6時間まで)は、それぞれ31.4%、32.2%であった。また、投与後2時間までの尿中濃度は270.8μg/mL(125mg投与時)、622.7μg/mL(250mg投与時)であった4)

    17. 臨床成績

    17.1 有効性及び安全性に関する試験

    • 〈急性気管支炎、肺炎、慢性呼吸器病変の二次感染〉
      1. 17.1.1 国内一般臨床試験

        肺炎球菌、インフルエンザ菌等による気管支炎、肺炎に対する有効率はそれぞれ94.3%(50/53例)、96.1%(74/77例)であった2),5)

      2. 17.1.2 国内比較臨床試験

        小児細菌性肺炎を対象としてセフチゾキシムナトリウム静注剤を対照薬にした比較試験で、本剤は静注剤と同等の有効性が確認された2),5)

    • 〈膀胱炎、腎盂腎炎〉
      1. 17.1.3 国内一般臨床試験

        大腸菌、クレブシエラ属等による尿路感染症(腎盂腎炎、膀胱炎)に対する有効率は92.2%(47/51例)であった2),5)

    18. 薬効薬理

    18.1 作用機序

    作用機序は細菌細胞壁の合成阻害であり、ペニシリン結合蛋白(PBP)の1bに最も強い親和性を有し、次いで1a、3である。また、グラム陰性菌の外膜透過性は良好である6),7),8)

    18.2 抗菌作用

    1. 18.2.1 抗菌スペクトルはグラム陽性菌、グラム陰性菌の広範囲にわたっており、特にグラム陽性球菌ではレンサ球菌属、肺炎球菌、グラム陰性桿菌では大腸菌、クレブシエラ属、プロテウス属、モルガネラ・モルガニー、プロビデンシア属、インフルエンザ菌等に対して強い抗菌力を示すほか、シトロバクター属、エンテロバクター属、セラチア属、ペプトストレプトコッカス属、バクテロイデス属及びプレボテラ・メラニノジェニカを含む嫌気性菌に対しても優れた抗菌力を示す。作用形式は殺菌的である9),10),11),12)in vitro)。
    2. 18.2.2 各種細菌の産生するβ-lactamaseに安定で、β-lactamase産生菌にも優れた抗菌力を示す9),13),14)in vitro)。

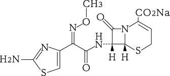
    19. 有効成分に関する理化学的知見

    一般的名称

    セフチゾキシムナトリウム(Ceftizoxime Sodium)

    化学名

    Monosodium(6R,7R)-7-[(Z)-2-(2-aminothiazol-4-yl)-2-(methoxyimino)acetylamino]-8-oxo-5-thia-1-azabicyclo[4.2.0]oct-2-ene-2-carboxylate

    分子式

    C13H12N5NaO5S2

    分子量

    405.38

    性状

    白色~淡黄色の結晶又は結晶性の粉末である。水に極めて溶けやすく、メタノールに溶けにくく、エタノール(95)にほとんど溶けない。

    化学構造式

    20. 取扱い上の注意

    1. 20.1 15℃以下で保存することが望ましい。
    2. 20.2 アルミ袋開封後は、光及び湿気により黄変することがあるため、冷暗所で保存することが望ましい。

    22. 包装

    • エポセリン坐剤125

      20個[5個(プラスチックコンテナ)×4]

    • エポセリン坐剤250

      20個[5個(プラスチックコンテナ)×4]

    24. 文献請求先及び問い合わせ先

    日本ジェネリック株式会社 お客さま相談室

    *〒108-0014 東京都港区芝五丁目33番11号

    TEL 0120-893-170 FAX 0120-893-172

    26. 製造販売業者等

    26.1 製造販売元

    長生堂製薬株式会社

    徳島市国府町府中92番地

    26.2 *販売元

    日本ジェネリック株式会社

    東京都港区芝五丁目33番11号

    〒100-0013 東京都千代田区霞が関3-3-2 新霞が関ビル

    画面を閉じる

    Copyright © Pharmaceuticals and Medical Devices Agency, All Rights reserved.