医療用医薬品 詳細表示

ゼローダ錠300

処方せん医薬品

添付文書番号
企業コード
作成又は改訂年月
日本標準商品分類番号
薬効分類名
承認等
一般的名称
1.警告
2.禁忌(次の患者には投与しないこと)
3.組成・性状
3.1組成
3.2製剤の性状
4.効能又は効果
5.効能又は効果に関連する注意
6.用法及び用量
7.用法及び用量に関連する注意
8.重要な基本的注意
9.特定の背景を有する患者に関する注意
9.1合併症・既往歴等のある患者
9.2腎機能障害患者
9.3肝機能障害患者
9.4生殖能を有する者
9.5妊婦
9.6授乳婦
9.7小児等
9.8高齢者
10.相互作用
10.1併用禁忌(併用しないこと)
10.2併用注意(併用に注意すること)
11.副作用
11.1重大な副作用
11.2その他の副作用
14.適用上の注意
15.その他の注意
15.1臨床使用に基づく情報
15.2非臨床試験に基づく情報
16.薬物動態
16.1血中濃度
16.3分布
16.4代謝
16.5排泄
16.6特定の背景を有する患者
16.7薬物相互作用
17.臨床成績
17.1有効性及び安全性に関する試験
18.薬効薬理
18.1作用機序
18.2抗腫瘍効果
19.有効成分に関する理化学的知見
20.取扱い上の注意
22.包装
23.主要文献
24.文献請求先及び問い合わせ先
26.製造販売業者等

ゼローダ錠300

添付文書番号

4223005F1022_2_01

企業コード

450900

作成又は改訂年月

**2024年2月改訂(第3版)
2020年11月改訂

日本標準商品分類番号

874223

薬効分類名

抗悪性腫瘍剤

承認等

ゼローダ錠300

販売名コード

YJコード

4223005F1022

販売名英語表記

XELODA Tablets

販売名ひらがな

ぜろーだじょう300

承認番号等

承認番号

21500AMZ00400

販売開始年月

2003年6月

貯法・有効期間

貯法

室温保存

有効期間

4年

一般的名称

カペシタビン

1. 警告

  1. 1.1 本剤を含むがん化学療法は、緊急時に十分対応できる医療施設において、がん化学療法に十分な知識・経験を持つ医師のもとで、本剤が適切と判断される症例についてのみ実施すること。適応患者の選択にあたっては、本剤及び各併用薬剤の添付文書を参照して十分注意すること。また、治療開始に先立ち、患者又はその家族に有効性及び危険性を十分説明し、同意を得てから投与すること。
  2. 1.2 テガフール・ギメラシル・オテラシルカリウム配合剤との併用により、重篤な血液障害等の副作用が発現するおそれがあるので、併用を行わないこと。,,
  3. 1.3 本剤とワルファリンカリウムとの併用により、血液凝固能検査値異常、出血が発現し死亡に至った例も報告されている。これらの副作用は、本剤とワルファリンカリウムの併用開始数日後から本剤投与中止後1ヶ月以内の期間に発現しているので、併用する場合には血液凝固能検査を定期的に行い、必要に応じて適切な処置を行うこと。,

2. 禁忌(次の患者には投与しないこと)

  1. 2.1 本剤の成分又はフルオロウラシルに対し過敏症の既往歴のある患者
  2. 2.2 テガフール・ギメラシル・オテラシルカリウム配合剤投与中の患者及び投与中止後7日以内の患者,,
  3. 2.3 重篤な腎障害のある患者,
  4. 2.4 妊婦又は妊娠している可能性のある女性

3. 組成・性状

3.1 組成

ゼローダ錠300

有効成分1錠中
カペシタビン300mg  
添加剤無水乳糖、クロスカルメロースナトリウム、ヒプロメロース、結晶セルロース、ステアリン酸マグネシウム、タルク、酸化チタン

3.2 製剤の性状

ゼローダ錠300

剤形フィルムコーティング錠
色調白色
外形平面
側面
長径約13.4mm
短径約7.1mm
厚さ約4.8mm
質量約385mg
識別コードゼローダ300

4. 効能又は効果

  • 手術不能又は再発乳癌
  • 結腸・直腸癌
  • 胃癌

5. 効能又は効果に関連する注意

  • 〈手術不能又は再発乳癌〉
    1. 5.1 本剤の術後補助化学療法における有効性及び安全性は確立していない。
    2. 5.2 単剤投与を行う場合には、アントラサイクリン系抗悪性腫瘍剤を含む化学療法の増悪若しくは再発例に限る。
    3. 5.3 併用療法に関して、初回化学療法における有効性及び安全性は確立していない。

6. 用法及び用量

*手術不能又は再発乳癌にはA法又はB法を使用し、ラパチニブトシル酸塩水和物と併用する場合にはC法を使用する。結腸・直腸癌における補助化学療法にはB法を使用し、オキサリプラチンと併用する場合にはC法を使用する。治癒切除不能な進行・再発の結腸・直腸癌には他の抗悪性腫瘍剤との併用でC法又はE法を使用する。直腸癌における補助化学療法で放射線照射と併用する場合にはD法を使用する。胃癌には白金製剤との併用でC法を使用する。

A法:体表面積にあわせて次の投与量を朝食後と夕食後30分以内に1日2回、21日間連日経口投与し、その後7日間休薬する。
これを1コースとして投与を繰り返す。

体表面積

1回用量

1.31m2未満

900mg

1.31m2以上1.64m2未満

1,200mg

1.64m2以上

1,500mg

B法:体表面積にあわせて次の投与量を朝食後と夕食後30分以内に1日2回、14日間連日経口投与し、その後7日間休薬する。
これを1コースとして投与を繰り返す。なお、患者の状態により適宜減量する。

体表面積

1回用量

1.33m2未満

1,500mg

1.33m2以上1.57m2未満

1,800mg

1.57m2以上1.81m2未満

2,100mg

1.81m2以上

2,400mg

C法:体表面積にあわせて次の投与量を朝食後と夕食後30分以内に1日2回、14日間連日経口投与し、その後7日間休薬する。
これを1コースとして投与を繰り返す。なお、患者の状態により適宜減量する。

体表面積

1回用量

1.36m2未満

1,200mg

1.36m2以上1.66m2未満

1,500mg

1.66m2以上1.96m2未満

1,800mg

1.96m2以上

2,100mg

D法:体表面積にあわせて次の投与量を朝食後と夕食後30分以内に1日2回、5日間連日経口投与し、その後2日間休薬する。
これを繰り返す。なお、患者の状態により適宜減量する。

体表面積

1回用量

1.31m2未満

900mg

1.31m2以上1.64m2未満

1,200mg

1.64m2以上

1,500mg

E法:体表面積にあわせて次の投与量を朝食後と夕食後30分以内に1日2回、14日間連日経口投与し、その後7日間休薬する。
これを1コースとして投与を繰り返す。なお、患者の状態により適宜減量する。

体表面積

1回用量

1.31m2未満

900mg

1.31m2以上1.69m2未満

1,200mg

1.69m2以上2.07m2未満

1,500mg

2.07m2以上

1,800mg

7. 用法及び用量に関連する注意

  • 〈効能共通〉
    1. 7.1 各用法の開始用量(1回用量)は以下の体表面積あたりの用量から算出している。
      • A法:825mg/m2
      • B法:1,250mg/m2
      • C法:1,000mg/m2
      • D法:825mg/m2
      • *E法:800mg/m2
    2. 7.2 休薬・減量について
      1. 7.2.1 B法及びC法において副作用が発現した場合には、以下の規定を参考にして休薬・減量を行うこと。なお、胃癌における術後補助化学療法においてGrade2の非血液毒性が発現した場合には、以下のGrade3の休薬・減量規定を参考にして休薬・減量を考慮すること。
        休薬・減量の規定

        NCIによる毒性のGrade判定注)

        治療期間中の処置

        治療再開時の投与量

        Grade1

        休薬・減量不要

        減量不要

        Grade2 初回発現
        2回目発現
        3回目発現
        4回目発現

        Grade0-1に軽快するまで休薬
        Grade0-1に軽快するまで休薬
        Grade0-1に軽快するまで休薬
        投与中止・再投与不可

        減量不要
        減量段階1
        減量段階2

        Grade3 初回発現
        2回目発現
        3回目発現

        Grade0-1に軽快するまで休薬
        Grade0-1に軽快するまで休薬
        投与中止・再投与不可

        減量段階1
        減量段階2

        Grade4 初回発現

        投与中止・再投与不可
        あるいは治療継続が患者にとって望ましいと判定された場合は、Grade0-1に軽快するまで投与中断

        減量段階2


        上記の休薬・減量の規定に応じて減量を行う際、以下の用量を参考にすること。

        • 1,250mg/m2相当量で投与を開始した場合の減量時の投与量

          体表面積

          1回用量

          減量段階1

          減量段階2

          1.13m2未満

          900mg

          600mg

          1.13m2以上1.21m2未満

          1,200mg

          1.21m2以上1.45m2未満

          900mg

          1.45m2以上1.69m2未満

          1,500mg

          1.69m2以上1.77m2未満

          1,200mg

          1.77m2以上

          1,800mg

        • 1,000mg/m2相当量で投与を開始した場合の減量時の投与量

          体表面積

          1回用量

          減量段階1

          減量段階2

          1.41m2未満

          900mg

          600mg

          1.41m2以上1.51m2未満

          1,200mg

          1.51m2以上1.81m2未満

          900mg

          1.81m2以上2.11m2未満

          1,500mg

          2.11m2以上

          1,200mg

      2. 7.2.2 一旦減量した後に増量は行わないこと。

        • 注)B法による国内臨床試験においてはNCI-CTC(Ver.2.0)によりGradeを判定した。手足症候群は以下の判定基準に従った。また、C法による国内臨床試験においては手足症候群も含めてCTCAE v3.0又はCTCAE v4.03によりGradeを判定した。

          Grade

          臨床領域

          機能領域

          1

          しびれ、皮膚知覚過敏、ヒリヒリ・チクチク感、無痛性腫脹、無痛性紅斑

          日常生活に制限を受けることはない症状

          2

          腫脹を伴う有痛性皮膚紅斑

          日常生活に制限を受ける症状

          3

          湿性落屑、潰瘍、水疱、強い痛み

          日常生活を遂行できない症状

          該当する症状のGradeが両基準(臨床領域、機能領域)で一致しない場合は、より適切と判断できるGradeを採用する

  • 〈治癒切除不能な進行・再発の結腸・直腸癌〉
    1. 7.3 *本剤と併用する他の抗悪性腫瘍剤は、「17.臨床成績」の項の内容を熟知し、国内外の最新のガイドライン等を参考にした上で、患者の状態やがん化学療法歴に応じて選択すること。,,
  • 〈胃癌における術後補助化学療法〉
    1. 7.4 本剤と併用する他の抗悪性腫瘍剤は、「17.臨床成績」の項の内容を熟知した上で、患者の状態やがん化学療法歴に応じて選択すること。
  • 〈結腸癌及び胃癌における術後補助化学療法〉
    1. 7.5 投与期間が8コースを超えた場合の有効性及び安全性は確立していない。

8. 重要な基本的注意

  1. 8.1 テガフール・ギメラシル・オテラシルカリウム配合剤投与中止後、本剤の投与を行う場合は、少なくとも7日以上の間隔をあけること。,,
  2. 8.2 本剤投与中は定期的(特に投与初期は頻回)に臨床検査(血液検査、肝機能・腎機能検査等)を行うなど、患者の状態を十分に観察すること。,,,,,
  3. 8.3 *感染症・出血傾向の発現又は悪化に十分注意すること。
  4. 8.4 治癒切除不能な進行・再発の胃癌、直腸癌における補助化学療法に本剤を使用する際には、関連文献(「医療上の必要性の高い未承認薬・適応外薬検討会議 公知申請への該当性に係る報告書」1),2) 等)を熟読すること。

9. 特定の背景を有する患者に関する注意

9.1 合併症・既往歴等のある患者

  1. 9.1.1 冠動脈疾患の既往歴のある患者

    心障害があらわれるおそれがある。

  2. 9.1.2 骨髄抑制のある患者

    骨髄抑制が増強するおそれがある。,

  3. 9.1.3 消化管潰瘍又は出血のある患者

    症状が悪化するおそれがある。

9.2 腎機能障害患者

  1. 9.2.1 重篤な腎障害のある患者

    投与しないこと。,

  2. 9.2.2 腎障害のある患者(重篤な腎障害のある患者を除く)

    副作用が重症化又は発現率が上昇するおそれがある。,,

9.3 肝機能障害患者

  1. 9.3.1 肝機能障害患者

9.4 生殖能を有する者

  1. 9.4.1 生殖可能な年齢の患者に投与する必要がある場合には、性腺に対する影響を考慮すること。
  2. 9.4.2 *妊娠可能な女性患者には、本剤投与中及び投与終了後一定期間は適切な避妊を行うよう指導すること。
  3. 9.4.3 *パートナーが妊娠する可能性のある男性患者には、本剤投与中及び投与終了後一定期間は適切な避妊を行うよう指導すること。

9.5 妊婦

妊婦又は妊娠している可能性のある女性には投与しないこと。動物実験で胚致死作用及び催奇形作用が報告されている。マウスにおいて、早期胚死亡、脳室拡張、骨格変異の増加、化骨遅延(198mg/kg/日以上 反復投与)、サルにおいて、流産、胚死亡(90mg/kg/日以上 反復投与)が報告されている。,

9.6 授乳婦

授乳しないことが望ましい。動物実験(マウス)において、乳汁への移行(198mg/kg 単回投与)が報告されている。

9.7 小児等

小児等を対象とした臨床試験は実施していない。

9.8 高齢者

患者の状態を観察しながら慎重に投与すること。一般に生理機能が低下していることが多い。特に80歳以上の高齢者において、重症の下痢、嘔気、嘔吐等の発現率が上昇したとの報告がある。

10. 相互作用

  • 本剤が肝チトクロームP450(CYP2C9)の酵素蛋白合成系に影響し、酵素活性が低下する可能性があるので、CYP2C9で代謝を受ける薬剤と併用する場合に併用薬剤の血中濃度が上昇するおそれがある。

10.1 併用禁忌(併用しないこと)

薬剤名等臨床症状・措置方法機序・危険因子

テガフール・ギメラシル・オテラシルカリウム配合剤(ティーエスワン)
,,

早期に重篤な血液障害や下痢、口内炎等の消化管障害等が発現するおそれがあるので、テガフール・ギメラシル・オテラシルカリウム配合剤投与中及び投与中止後7日以内は本剤を投与しないこと。

ギメラシルがフルオロウラシルの異化代謝を阻害し、血中フルオロウラシル濃度が著しく上昇する。

10.2 併用注意(併用に注意すること)

薬剤名等臨床症状・措置方法機序・危険因子

ワルファリンカリウム
,

併用開始数日後から本剤投与中止後1ヶ月以内の期間に血液凝固能検査値異常、出血の発現が報告されている。定期的に血液凝固能検査(プロトロンビン時間、INR等)を行い、必要に応じて適切な処置を行うこと。

本剤が肝チトクロームP450(CYP2C9)の酵素蛋白合成系に影響し、酵素活性が低下している可能性が考えられている。

フェニトイン

フェニトインの血中濃度が上昇したとの報告があるので、フェニトインの血中濃度の変化に注意すること。

本剤が肝チトクロームP450(CYP2C9)の酵素蛋白合成系に影響し、酵素活性が低下している可能性が考えられている。

トリフルリジン・チピラシル塩酸塩配合剤

副作用が増強するおそれがある。

フッ化ピリミジン系抗悪性腫瘍剤の代謝に影響を及ぼす可能性がある。

11. 副作用

次の副作用があらわれることがあるので、観察を十分に行い、異常が認められた場合には投与を中止するなど適切な処置を行うこと。

11.1 重大な副作用

  1. 11.1.1 脱水症状(頻度不明注1)

    激しい下痢(初期症状:腹痛、頻回の軟便等)があらわれ脱水症状まで至ることがある。このような症状があらわれた場合には、投与を中止し補液、電解質投与等の適切な処置を行うこと。

  2. 11.1.2 手足症候群(Hand-foot syndrome)(頻度不明注1)

    手掌及び足底に湿性落屑、皮膚潰瘍、水疱、疼痛、知覚不全、有痛性紅斑、腫脹等の手足症候群があらわれることがある。

  3. 11.1.3 心障害(頻度不明注1)

    心筋梗塞、狭心症、律動異常、心停止、心不全、突然死、心電図異常(心房性不整脈、心房細動、心室性期外収縮等)等の心障害があらわれることがある。

  4. 11.1.4 肝障害、黄疸(頻度不明注1)

    肝機能検査値異常、黄疸を伴う肝障害があらわれ、肝不全に至った症例も報告されている。なお、肝機能検査値異常を伴わない黄疸があらわれることが報告されている。

  5. 11.1.5 腎障害(頻度不明)

    腎機能検査値異常を伴う腎障害があらわれることがある。

  6. 11.1.6 骨髄抑制(頻度不明注1)

    *汎血球減少、顆粒球減少等の骨髄抑制が、また、骨髄抑制の持続により易感染症、敗血症等があらわれることがある。,

  7. 11.1.7 口内炎(頻度不明注1)

    口内炎(粘膜炎、粘膜潰瘍、口腔内潰瘍等)があらわれることがある。有痛性の紅斑、口内潰瘍、舌潰瘍等が認められた場合には、投与を中止し適切な処置を行うこと。

  8. 11.1.8 間質性肺炎(頻度不明)

    間質性肺炎(初期症状:咳嗽、息切れ、呼吸困難、発熱等)があらわれることがある。異常が認められた場合には投与を中止し、胸部X線等の検査を行い、副腎皮質ホルモン剤を投与するなど適切な処置を行うこと。

  9. 11.1.9 重篤な腸炎(頻度不明)

    出血性腸炎、虚血性腸炎、壊死性腸炎等があらわれることがある。激しい腹痛・下痢・血便等の症状があらわれた場合には投与を中止し、適切な処置を行うこと。

  10. 11.1.10 重篤な精神神経系障害(白質脳症等)(頻度不明)

    歩行障害、麻痺、錐体外路症状、失調、協調運動障害、平衡障害、構音障害、意識障害、嗜眠、錯乱、健忘、指南力低下、知覚障害、尿失禁等があらわれることがある。また、このような症状が白質脳症等の初期症状としてあらわれることがある。

  11. 11.1.11 血栓塞栓症(頻度不明)

    深部静脈血栓症、脳梗塞、肺塞栓症等があらわれることがある。

  12. 11.1.12 皮膚粘膜眼症候群(Stevens-Johnson症候群)(頻度不明)
  13. 11.1.13 溶血性貧血(頻度不明)

11.2 その他の副作用

  • 単剤療法における報告

10%以上注2)

10%未満注2)

頻度不明注1)

精神
神経系

味覚異常、頭痛、浮動性めまい

不眠症、うつ病、錯感覚

消化器

悪心(33.2%)、食欲不振(30.5%)、嘔吐

便秘、腹痛、上腹部痛、口唇炎

消化不良、鼓腸、食道炎、十二指腸炎、胃腸出血、胃炎、口内乾燥、軟便、口渇、胃不快感

循環器

胸痛、下肢浮腫、心筋症、心筋虚血、頻脈

呼吸器

咳嗽

呼吸困難

血液

赤血球数減少(26.2%)、白血球数減少(24.8%)、リンパ球数減少(21.5%)、ヘモグロビン減少

ヘマトクリット減少、血小板数減少、単球数増加、プロトロンビン時間延長、好中球数減少

貧血

皮膚

色素沈着障害

発疹、脱毛症

爪の異常(爪甲離床症、脆弱爪、爪変色、爪ジストロフィー等)、紅斑性皮疹、皮膚亀裂、光線過敏、放射線照射リコール症候群、皮膚乾燥、剥脱性皮膚炎、皮膚落屑、そう痒症、皮膚炎

眼障害(結膜炎、角膜炎、眼刺激等)、流涙増加

肝臓・
腎臓

血中ビリルビン増加(24.2%)、AST増加、LDH増加、ALT増加、Al-P増加

尿沈渣陽性、蛋白尿、BUN増加、尿中ブドウ糖陽性

肝機能異常、血中クレアチニン増加

その他

倦怠感、体重減少、発熱、血中ブドウ糖増加

鼻咽頭炎、体重増加、疲労、背部痛、血中アルブミン減少、関節痛、血圧上昇

無力症、脱力、四肢痛、電解質異常、胸痛、筋痛、高トリグリセリド血症

  • 他の抗悪性腫瘍剤との併用投与時における報告

10%以上注3)

10%未満注3)

頻度不明注1)

精神
神経系

神経毒性(末梢性感覚ニューロパシー、末梢性運動ニューロパシー等)(93.9%)、味覚異常(32.3%)、神経痛

浮動性めまい、頭痛、不眠症

錯感覚、異常感覚、感覚鈍麻

消化器

悪心(82.9%)、食欲不振(75.0%)、嘔吐(40.9%)、便秘、腹痛

口唇炎、胃不快感、下腹部痛、歯周病、歯痛、歯肉出血、上腹部痛、齲歯、歯肉炎

消化不良、口内乾燥

呼吸器

鼻出血

鼻漏、発声障害、鼻粘膜障害、咽喉痛、しゃっくり

呼吸困難

血液

好中球数減少(66.5%)、血小板数減少(35.4%)、白血球数減少

ヘモグロビン減少、貧血、リンパ球数減少

発熱性好中球減少症

皮膚

色素沈着障害(35.4%)、発疹

爪の障害、脱毛症、爪囲炎、蕁麻疹、皮膚乾燥、そう痒症

流涙増加、霧視

肝臓・
腎臓

蛋白尿、AST増加、肝機能異常

血尿、ALT増加、血中ビリルビン増加、Al-P増加、γ-GTP増加、血中アルブミン減少

その他

疲労(57.9%)、注射部位反応(疼痛、血管炎、紅斑、腫脹等)(40.9%)、過敏症、倦怠感、体重減少

背部痛、胸部不快感、潮紅、膀胱炎、高血圧、発熱、上気道感染(鼻咽頭炎等)、四肢痛、浮腫、関節痛、筋骨格痛、起立性低血圧、血中リン減少、CRP増加、頻脈

無力症、温度変化不耐症、低カリウム血症、顎痛、低ナトリウム血症、悪寒、粘膜の炎症、口腔カンジダ症、疼痛、高トリグリセリド血症

注1)国内外の臨床試験及び自発報告で報告され、頻度を算出できない副作用
注2)A法若しくはB法で実施した国内臨床試験(固形癌に対する国内第Ⅰ相臨床試験[JO14865試験]、進行・再発乳癌に対する国内第Ⅱ相臨床試験[JO15151試験、JO15154試験、JO15155試験、JO16526試験]、進行・再発胃癌に対する国内第Ⅱ相臨床試験[JO15152試験]、進行・再発結腸・直腸癌に対する国内第Ⅱ相臨床試験[JO15153試験]、進行・転移性結腸・直腸癌に対する国内第Ⅱ相臨床試験[JO15951試験])の集計
注3)C法で実施した国内臨床試験(進行・転移性結腸・直腸癌に対する国内第Ⅰ/Ⅱ相臨床試験[JO19380試験]、StageⅡ及びⅢの胃癌の治癒切除施行後の患者に対する国内第Ⅱ相臨床試験[MO28223試験])の集計

14. 適用上の注意

14.1 薬剤交付時の注意

PTP包装の薬剤はPTPシートから取り出して服用するよう指導すること。PTPシートの誤飲により、硬い鋭角部が食道粘膜へ刺入し、更には穿孔をおこして縦隔洞炎等の重篤な合併症を併発することがある。

15. その他の注意

15.1 臨床使用に基づく情報

フルオロウラシルの異化代謝酵素であるジヒドロピリミジンデヒドロゲナーゼ(DPD)欠損等の患者がごくまれに存在し、このような患者にフルオロウラシル系薬剤を投与した場合、投与初期に重篤な副作用(口内炎、下痢、血液障害、神経障害等)が発現するとの報告がある。

15.2 非臨床試験に基づく情報

*本剤の代謝物である5-FU について、酵母を用いた検討において、遺伝子突然変異誘発作用を示すことが報告されている3)

16. 薬物動態

16.1 血中濃度

  1. 16.1.1 A法で投与した場合の血漿中濃度

    固形癌患者12名にカペシタビン829mg/m2注1)を食後に単回経口投与したとき、カペシタビン、5’-DFCR、5’-DFUR及び5-FUは、投与後1.1~1.3時間でCmaxに到達し、半減期0.4~0.8時間で減少した。5-FUのAUClastは、5’-DFURの約1/20であった4)

    A法で投与した場合の薬物動態パラメータの比較(n=12)

    化合物

    Tmax
    (h)

    Cmax
    (μg/mL)

    AUClast
    (μg・h/mL)

    t1/2
    (h)

    カペシタビン

    1.1±0.7

    4.85±3.74

    4.77±2.51

    0.42±0.70

    5’-DFCR

    1.3±0.7

    5.35±3.04

    9.63±4.25

    0.79±0.19

    5’-DFUR

    1.3±0.7

    4.33±2.09

    6.96±1.66

    0.67±0.11

    5-FU

    1.3±0.7

    0.25±0.18

    0.39±0.20

    0.69±0.17

    mean±SD

    また固形癌患者16名に251~1,255mg/m2注1)の投与量で、カペシタビン及び各代謝物のCmax、AUClastは投与量に比例して増加し、初回投与後のカペシタビン及び各代謝物の体内動態は線形性を示すことが示唆された5)
    注1)承認された用法・用量は体表面積にあわせてA法及びD法では1回900~1,500mgを、B法では1回1,500~2,400mgを、C法では1回1,200~2,100mgを、E法では1回900~1,800mgを1日2回である。

  2. 16.1.2 B法で投与した場合の血漿中濃度

    結腸・直腸癌患者20名にカペシタビン1,250mg/m2を食後1日2回連日経口投与したときの投与1日目注2)のカペシタビン、5’-DFCR、5’-DFUR及び5-FUの血漿中濃度は、投与後1.7~2.3時間でCmaxに到達し、半減期0.55~0.81時間で減少した。投与1日目の5-FUのAUClastは、5’-DFURの約1/30であった。投与14日目の薬物動態パラメータは5-FUを除き、初回投与後の値とほぼ同様であった6)
    注2)投与1日目は1,250mg/m2を朝食後に1日1回経口投与した。

    カペシタビン1,250mg/m2経口投与1日目の血漿中濃度推移(n=20)
    B法で投与した場合の薬物動態パラメータの比較

    化合物

    Cmax(μg/mL)

    AUClast(μg・h/mL)

    n

    1日目

    14日目

    1日目

    14日目

    1日目

    14日目

    カペシタビン

    4.80±1.75

    4.19±2.55

    6.91±2.40

    6.14±1.92

    20

    19

    5’-DFCR

    5.95±2.50

    5.20±1.90

    15.1±4.31

    14.1±4.58

    20

    19

    5’-DFUR

    6.02±2.49

    6.59±2.83

    12.8±3.74

    13.0±3.31

    20

    19

    5-FU

    0.22±0.12

    0.38±0.21

    0.45±0.18

    0.71±0.23

    20

    19

    mean±SD

16.3 分布

  1. 16.3.1 組織内移行性

    マウス及びサルに14C標識カペシタビンをそれぞれ198mg/kg及び54mg/kgの用量で単回経口投与したとき、放射能は速やかに吸収された後、体内に広く分布したが、投与後24時間までにそのほとんどが体内より消失した。本薬の吸収、代謝、排泄に関与する消化管、肝臓、腎臓における放射能は高かったが、放射能の脳への移行は低かった7) 。妊娠マウスに14C標識カペシタビン(198mg/kg)を単回経口投与したとき、放射能の胎児への移行が認められた8)

  2. 16.3.2 腫瘍選択的5-FUの生成

    ヒト結腸癌HCT116、CXF280及びCOLO205株(カペシタビン感受性)担癌ヌードマウスに本薬(経口投与)、ドキシフルリジン(5’-DFUR、経口投与)及び5-FU(腹腔内投与)を等毒性用量(長期投与時の最大耐量)投与し、経時的に腫瘍組織、筋肉及び血漿中の5-FU量を測定した。本薬投与マウスで腫瘍組織に選択的に高濃度の5-FUが検出された。腫瘍組織5-FU AUCは筋肉及び血漿中の5-FU AUCに比べ本薬投与でそれぞれ22倍及び114~209倍、5’-DFUR投与でそれぞれ6倍及び21~34倍高い値を示した。一方、5-FU投与では、5-FUは腫瘍組織ばかりでなく筋肉及び血漿中にも同様に分布した。本薬投与マウスの腫瘍組織5-FU AUCは5’-DFUR及び5-FU投与マウス腫瘍組織5-FU AUCに比べ、それぞれ3.6~4.3倍及び16~35倍高い値を示した9)

16.4 代謝

カペシタビンはカルボキシルエステラーゼにより5’-DFCRに代謝され、さらにシチジンデアミナーゼにより5’-DFURへ変換される。5’-DFURはピリミジンヌクレオシドホスホリラーゼ(PyNPase)(ヒトの場合チミジンホスホリラーゼ、げっ歯類の場合ウリジンホスホリラーゼが関与)により5-FUに変換される10)

16.5 排泄

結腸・直腸癌患者20名にカペシタビン1,250mg/m2を経口投与したとき、投与後24時間までに投与量の69~80%に相当する量が尿中へ排泄された。このうち未変化体の尿中排泄率は約3%と低値を示し、FBALは約50%を示した6)
固形癌患者6名に14Cで標識したカペシタビン水溶液2,000mgを食後単回経口投与したとき、7日目までの尿中累積排泄率は投与量の96%に相当し、投与量のほとんどが尿中に排泄された。尿中排泄は、大部分(平均84%)が投与後12時間以内に排泄され、約144時間で完了した。尿中で認められたカペシタビンの代謝物は5’-DFCR、5’-DFUR、5-FU、FUH2、FUPA及びFBALであり、また血漿中に認められた代謝物は5’-DFCR、5’-DFUR、5-FU、FUH2及びFBALであった。血漿中及び尿中における総放射能と各化合物の合計がほぼ同様であったことから、血漿中及び尿中に未知代謝物が存在する可能性は低いことが示唆された11) (外国人データ)。

16.6 特定の背景を有する患者

  1. 16.6.1 腎機能障害患者

    固形癌患者27名の腎機能をクレアチニン・クリアランスによって、正常(>80mL/min)、腎機能障害軽度(51~80mL/min)、中等度(30~50mL/min)及び高度(<30mL/min)に分類し、カペシタビン1,255mg/m2注1)を経口投与した際のカペシタビンとその代謝物のAUCinfは以下のとおりであった12) (外国人データ)。,

    腎機能障害度別のカペシタビン及び代謝物のAUCinf(μg・h/mL)

    化合物

    クレアチニン・クリアランス(mL/min)

    >80
    n=6

    51-80
    n=8

    30-50
    n=6

    <30
    n=4

    カペシタビン

    6.24±2.06

    5.98±3.06

    7.88±4.32

    7.79±4.43

    5’-DFCR

    11.6±4.12

    12.4±2.25

    13.5±7.18

    12.0±2.09

    5’-DFUR

    13.7±2.62

    13.8±3.57

    19.4±7.16

    23.4±5.38

    5-FU

    0.87±0.45

    0.57±0.17

    0.78±0.27

    1.07±0.43

    FBAL

    39.6±14.6

    42.6±12.8

    73.5±28.2

    142±53.2

    mean±SD

16.7 薬物相互作用

  1. 16.7.1 ワルファリン

    固形癌患者4名にカペシタビン2,500mg/m2/日を食後1日2回、2週間経口投与、1週間休薬を1コースとした間欠投与を3コース行う前後でそれぞれワルファリンナトリウム20mgを経口投与した。カペシタビン投与前と比較して投与後におけるS-ワルファリン(光学異性体のS体)のAUCinfは57%、INRは91%増加した13) (外国人データ)。,

  2. 16.7.2 その他

    ヒト肝ミクロゾーム画分を用いてカペシタビン、5’-DFCR、5’-DFUR、5-FU及びFBALの薬物代謝酵素系(CYP1A2、CYP2A6、CYP2C9、CYP2C19、CYP2D6、CYP2E1、CYP3A4)への影響をin vitroで検討した。その結果、カペシタビンは日本人において推定される血中非結合型薬物濃度(約0.007mM、2.5μg/mL)の14倍に相当する濃度(0.1mM、約36μg/mL)では阻害は認められなかったが、280倍に相当する高濃度(2mM、約700μg/mL)においてCYP2C9、CYP2E1を50%近く阻害した。一方、代謝物については薬物代謝酵素系への直接的な阻害は認められなかった14)
    固形癌患者12名にカペシタビン1,250mg/m2を食後水酸化アルミニウム、水酸化マグネシウムを含む制酸剤と併用投与したとき、カペシタビン及び5’-DFCRのCmaxは単独投与時と比較して約20%上昇したものの、その他の代謝物に影響は認められなかった15) (外国人データ)。

17. 臨床成績

17.1 有効性及び安全性に関する試験

  • 〈手術不能又は再発乳癌〉
    1. 17.1.1 国内前期第Ⅱ相臨床試験

      前治療1レジメンまでの進行・再発乳癌患者に本剤を投与する試験を実施した(825mg/m2 1日2回、21日間投与・7日間休薬)。有効性解析対象例22例に対する奏効率は45.5%(10/22)であった16) 。副作用は19/23例(82.6%)に発現した。主な副作用は、総ビリルビン上昇10例(43.5%)、赤血球減少10例(43.5%)、皮膚色素沈着7例(30.4%)、LDH上昇7例(30.4%)、白血球減少7例(30.4%)等であった。

    2. 17.1.2 国内後期第Ⅱ相臨床試験

      前治療1レジメンまでの進行・再発乳癌患者に本剤を投与する試験を実施した(825mg/m2 1日2回、21日間投与・7日間休薬)。有効性解析対象例46例に対する奏効率は28.3%(13/46)であった17) 。副作用は50/50例(100.0%)に発現した。主な副作用は、手足症候群33例(66.0%)、赤血球減少26例(52.0%)、白血球減少25例(50.0%)、リンパ球減少25例(50.0%)、顆粒球減少19例(38.0%)、ビリルビン値上昇17例(34.0%)等であった。

    3. 17.1.3 国内後期第Ⅱ相臨床試験

      ドセタキセル無効の進行・再発乳癌患者に本剤を投与する試験を実施した(825mg/m2 1日2回、21日間投与・7日間休薬)。有効性解析対象例55例に対する奏効率は20.0%(11/55)であった18) 。副作用は58/60例(96.7%)に発現した。主な副作用は、手足症候群36例(60.0%)、AST上昇29例(48.3%)、リンパ球減少26例(43.3%)、LDH上昇26例(43.3%)、赤血球減少25例(41.7%)、食欲不振24例(40.0%)、悪心22例(36.7%)、Al-P上昇18例(30.0%)、白血球減少18例(30.0%)、ビリルビン値上昇18例(30.0%)、顆粒球減少18例(30.0%)等であった。

    4. 17.1.4 国内第Ⅱ相臨床試験

      タキサン系薬剤(パクリタキセル又はドセタキセル)無効の進行・再発乳癌患者に本剤を投与する試験を実施した(1,250mg/m2 1日2回、14日間投与・7日間休薬)。有効性解析対象例32例に対する奏効率は21.9%(7/32)であった19) 。副作用は35/35例(100.0%)に発現した。主な副作用は、手足症候群29例(82.9%)、悪心19例(54.3%)、食欲不振18例(51.4%)、口内炎16例(45.7%)、下痢14例(40.0%)、嘔吐11例(31.4%)等であった。

    5. 17.1.5 海外第Ⅱ相臨床試験

      パクリタキセル無効の進行・再発乳癌患者に本剤を投与する試験を実施した(1,250mg/m2 1日2回、14日間投与・7日間休薬)。有効性解析対象例135例に対する奏効率は20.0%(27/135)であった20) 。副作用は150/162例(92.6%)に発現した。主な副作用は、手足症候群91例(56.2%)、下痢88例(54.3%)、悪心84例(51.9%)、嘔吐60例(37.0%)、疲労59例(36.4%)等であった。

    6. 17.1.6 海外第Ⅱ相臨床試験

      パクリタキセル又はドセタキセル無効の進行・再発乳癌患者に本剤を投与する試験を実施した(1,250mg/m2 1日2回、14日間投与・7日間休薬)。有効性解析対象例69例に対する奏効率は24.6%(17/69)であった21) 。副作用は66/74例(89.2%)に発現した。主な副作用は、手足症候群46例(62.2%)、下痢43例(58.1%)、悪心41例(55.4%)、嘔吐27例(36.5%)、口内炎25例(33.8%)等であった。

  • 〈結腸癌における術後補助化学療法〉
    1. 17.1.7 海外第Ⅲ相臨床試験

      外科的切除が実施されたDukes Cの結腸癌患者(1,987例)を対象に、フルオロウラシル・ホリナート療法(5-FU/LV療法、Mayoレジメン注1))又は本剤を単独投与する試験を実施した(本剤:1,250mg/m2 1日2回、14日間投与・7日間休薬)。その結果、無病生存期間、無再発生存期間、全生存期間において、本剤の5-FU/LV療法に対する非劣性が確認された22),23)
      注1)本試験における5-FU/LV療法は国内で承認されているレボホリナート・フルオロウラシル療法及びレボホリナート・フルオロウラシル持続静注併用療法の用法・用量とは異なる。

      無病生存期間のKaplan-Meier曲線
      カットオフ日:2007年6月4日
      全生存期間のKaplan-Meier曲線
      カットオフ日:2007年6月4日

      副作用は本剤群では868/995例(87.2%)に発現した。主な副作用は、手足症候群594例(59.7%)、下痢458例(46.0%)、悪心326例(32.8%)等であった(カットオフ日:2004年4月1日)。

    2. 17.1.8 海外第Ⅲ相臨床試験

      外科的切除が実施されたDukes Cの結腸癌患者(1,886例)を対象に、フルオロウラシル・ホリナート療法(5-FU/LV療法、Mayoレジメン注1)又はRoswell Parkレジメン)又はXELOX療法(本剤とオキサリプラチン併用)を行う試験を実施した(本剤:1,000mg/m2 1日2回、14日間投与・7日間休薬)。その結果、無病生存期間においてXELOX療法の5-FU/LV療法に対する優越性が確認された24)

      無病生存期間のKaplan-Meier曲線
      カットオフ日:2009年4月30日
      全生存期間のKaplan-Meier曲線
      カットオフ日:2009年4月30日

      副作用はXELOX療法では920/938例(98.1%)に発現した。主な副作用は、悪心619例(66.0%)、下痢566例(60.3%)、嘔吐405例(43.2%)、錯感覚338例(36.0%)、疲労324例(34.5%)、末梢性ニューロパチー278例(29.6%)、手足症候群278例(29.6%)等であった(カットオフ日:2009年4月30日)。

  • 〈治癒切除不能な進行・再発の結腸・直腸癌〉
    1. 17.1.9 国内第Ⅰ/Ⅱ相臨床試験

      進行・転移性結腸・直腸癌患者を対象にXELOX療法(本剤とオキサリプラチン併用)、XELOX+BV療法(XELOX療法とベバシズマブ併用)を行う試験を実施した(本剤:1,000mg/m2 1日2回、14日間投与・7日間休薬)。進行・転移性結腸・直腸癌患者に対するXELOX療法の奏効率は66.7%(4/6)であり、XELOX+BV療法の奏効率は71.9%(41/57)であった。また、XELOX+BV療法の無増悪生存期間(PFS)の中央値は336.0日(95%信頼区間:293-380日)であった25) 。副作用はXELOX療法では6/6例(100.0%)、XELOX+BV療法では58/58例(100.0%)に発現した。主な副作用は、XELOX療法では悪心6例(100.0%)、末梢性感覚ニューロパシー6例(100.0%)、食欲不振5例(83.3%)、下痢4例(66.7%)、手足症候群4例(66.7%)、疲労4例(66.7%)、発疹3例(50.0%)、好中球数減少3例(50.0%)、しゃっくり3例(50.0%)等であり、XELOX + BV療法では末梢性感覚ニューロパシー54例(93.1%)、食欲不振50例(86.2%)、疲労48例(82.8%)、手足症候群44例(75.9%)、悪心43例(74.1%)、色素沈着障害34例(58.6%)、下痢32例(55.2%)、口内炎31例(53.4%)、好中球数減少29例(50.0%)等であった。

    2. 17.1.10 海外第Ⅲ相臨床試験

      転移性結腸・直腸癌患者2,035例を対象に、オキサリプラチン・フルオロウラシル・ホリナート療法(FOLFOX4療法)、FOLFOX4療法+プラセボ(P)、FOLFOX4+ベバシズマブ(BV)療法、XELOX療法、XELOX療法+P、XELOX+BV療法を行う試験を実施した(本剤:1,000mg/m2 1日2回、14日間投与・7日間休薬)。無増悪生存期間(PFS)を主要評価項目、全生存期間(OS)を副次的評価項目とした。その結果、FOLFOX4療法に対するXELOX療法の非劣性が主要解析及び副次的解析で認められた26)

      FOLFOX4療法に対するXELOX療法の非劣性解析結果

      主 要 解 析

      評価注2)
      項目

      FOLFOX4/FOLFOX4+P/FOLFOX4+BV
      (N=937)

      XELOX/XELOX+P/
      XELOX+BV
      (N=967)

      ハザード比
      (97.5%CI)

      中央値(日)

      中央値(日)

      PFS

      259.0

      241.0

      1.05(0.94;1.18)

      OS

      594.0注3)

      600.0

      1.00(0.88;1.13)

      副 次 的 解 析

      評価注2)
      項目

      FOLFOX4/FOLFOX4
      +P(N=620)

      XELOX/XELOX+P
      (N=630)

      ハザード比
      (97.5%CI)

      中央値(日)

      中央値(日)

      PFS

      241.0

      220.0

      1.06(0.92;1.22)

      OS

      565.0注4)

      572.0

      1.01(0.87;1.17)

      注2)PFSカットオフ日:2006年1月31日、OSカットオフ日:2007年1月31日
      注3)解析対象集団の例数は939例
      注4)解析対象集団の例数は622例

      また、化学療法(FOLFOX4+P/XELOX+P)に対する化学療法+BV療法の優越性が主要解析で認められ、XELOX療法に対するXELOX+BV療法の優越性が副次的解析で認められた。

      化学療法に対する化学療法+BV療法及びXELOX療法に対するXELOX+BV療法の優越性解析結果

      主 要 解 析

      評価注2)
      項目

      FOLFOX4+P/XELOX
      +P(N=701)

      FOLFOX4+BV/XELOX
      +BV(N=699)

      ハザード比
      P値(log-rank test)

      中央値(日)

      中央値(日)

      PFS

      244.0

      285.0

      0.83
      P=0.0023

      OS

      606.0

      646.0

      0.89
      P=0.0769

      副 次 的 解 析

      評価注2)
      項目

      XELOX+P
      (N=350)

      XELOX+BV
      (N=350)

      ハザード比
      P値(log-rank test)

      中央値(日)

      中央値(日)

      PFS

      225.0

      282.0

      0.77
      P=0.0026

      OS

      584.0

      650.0

      0.84
      P=0.0698

      副作用はXELOX療法(XELOX療法、XELOX療法+P)では642/655例(98.0%)、XELOX+BV療法では349/353例(98.9%)に発現した。主な副作用は、XELOX療法では下痢414例(63.2%)、悪心395例(60.3%)、嘔吐262例(40.0%)、錯感覚240例(36.6%)、疲労238例(36.3%)、手足症候群198例(30.2%)等であり、XELOX+BV療法では悪心226例(64.0%)、下痢220例(62.3%)、嘔吐157例(44.5%)、手足症候群139例(39.4%)、錯感覚131例(37.1%)、疲労127例(36.0%)等であった(カットオフ日:2006年1月31日)。

    3. 17.1.11 海外第Ⅲ相臨床試験

      イリノテカン・フルオロウラシル・ホリナート療法の治療歴がある転移性結腸・直腸癌患者627例を対象に、オキサリプラチン・フルオロウラシル・ホリナート療法(FOLFOX4療法)とXELOX療法を比較する試験を実施した(本剤:1,000mg/m2 1日2回、14日間投与・7日間休薬)。無増悪生存期間(PFS)を主要評価項目、全生存期間(OS)を副次的評価項目とした。その結果、FOLFOX4療法に対するXELOX療法の非劣性が認められた27)

      FOLFOX4療法に対するXELOX療法の非劣性解析結果

      評価注5)
      項目

      FOLFOX4
      (N=252)

      XELOX
      (N=251)

      ハザード比
      (95%CI)

      中央値(日)

      中央値(日)

      PFS

      168.0

      154.0

      1.03(0.87;1.24)

      OS

      402.0

      393.0注6)

      1.05(0.88;1.27)

      注5)PFSカットオフ日:2006年8月31日、OSカットオフ日:2007年2月28日
      注6)解析対象集団の例数は252例

      副作用はXELOX療法では302/311例(97.1%)に発現した。主な副作用は、悪心181例(58.2%)、下痢169例(54.3%)、嘔吐131例(42.1%)、疲労113例(36.3%)、錯感覚103例(33.1%)等であった(カットオフ日:2006年8月31日)。

  • 〈胃癌における術後補助化学療法〉
    1. 17.1.12 海外第Ⅲ相臨床試験

      外科的切除が実施されたStageⅡ/Ⅲの胃癌患者(1,035例)を対象に、経過観察とXELOX療法(本剤とオキサリプラチン併用)を比較する試験を実施した(本剤:1,000mg/m2 1日2回、14日間投与・7日間休薬)。無病生存期間を主要評価項目、全生存期間を副次的評価項目とした。その結果、経過観察に対するXELOX療法の優越性が認められた28),29)

      無病生存期間のKaplan-Meier曲線
      カットオフ日:2010年9月24日
      全生存期間のKaplan-Meier曲線
      カットオフ日:2012年11月22日

      副作用はXELOX療法では488/496例(98.4%)に発現した。主な副作用は、悪心326例(65.7%)、好中球減少症300例(60.5%)、食欲減退292例(58.9%)、末梢性ニューロパチー276例(55.6%)、下痢230例(46.4%)、嘔吐189例(38.1%)、疲労152例(30.6%)等であった(カットオフ日:2010年9月24日)。

18. 薬効薬理

18.1 作用機序

本薬は消化管より未変化体のまま吸収され、肝臓でカルボキシルエステラーゼにより5’-DFCRに代謝される。次に主として肝臓や腫瘍組織に存在するシチジンデアミナーゼにより5’-DFURに変換される。更に、腫瘍組織に高レベルで存在するチミジンホスホリラーゼにより活性体である5-FUに変換され抗腫瘍効果を発揮する30) 。5-FUはFdUMPに代謝され、チミジル酸合成酵素及び5,10-メチレンテトラヒドロ葉酸と不活性複合体を形成する。その結果チミジル酸合成を抑制することにより、DNA合成を阻害する。また、5-FUはFUTPに代謝され、UTPの代わりにRNAに取り込まれてF-RNAを生成し、リボソームRNA及びメッセンジャーRNAの機能を障害すると考えられている31)

18.2 抗腫瘍効果

可移植性ヒト乳癌(ZR-75-1、MCF-7、MAXF401、MX-1)、ヒト結腸癌(CXF280、HCT116、LoVo、COLO205)及びヒト胃癌(MKN28、MKN45、GXF97)担癌ヌードマウスに対して抗腫瘍効果が認められた32) 。また、他の抗悪性腫瘍剤との併用により、抗腫瘍効果の増強が認められた33),34)

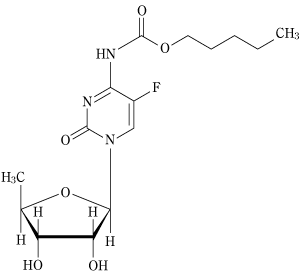
19. 有効成分に関する理化学的知見

一般的名称

カペシタビン(Capecitabine)(JAN)

化学名

(+)-pentyl 1-(5-deoxy-β-D-ribofuranosyl)-5-fluoro-1,2-dihydro-2-oxo-4-pyrimidinecarbamate

分子式

C15H22FN3O6

分子量

359.35

性状

白色の粉末。メタノールに極めて溶けやすく、ベンジルアルコール又はエタノール(99.5)に溶けやすく、水にやや溶けにくい。

化学構造式

融点

約120℃(分解)

20. 取扱い上の注意

アルミピロー包装開封後は湿気を避けて保存すること。

22. 包装

56錠(PTP14錠×4、乾燥剤入り)
140錠(PTP14錠×10、乾燥剤入り)

23. 主要文献

1) 医療上の必要性の高い未承認薬・適応外薬検討会議 公知申請への該当性に係る報告書:カペシタビン(進行性胃癌)

2) 医療上の必要性の高い未承認薬・適応外薬検討会議 公知申請への該当性に係る報告書:カペシタビン(直腸癌における補助化学療法)

3) *Cavaliere A, et al. Tumori. 1990;76:179-81.

4) 日本人患者における薬物動態(国内前期臨床第2相試験)(2003年4月16日承認、申請資料概要ヘ.3-2)

5) 日本人患者における薬物動態(国内臨床第1相試験)(2003年4月16日承認、申請資料概要ヘ.3-1)

6) Hyodo I, et al. Jpn J Clin Oncol. 2006;36:410-7.

7) 臓器、組織中濃度(2003年4月16日承認、申請資料概要ヘ.2-2-1)

8) 胎児移行性(2003年4月16日承認、申請資料概要ヘ.2-2-3)

9) カペシタビンの5-FUへの腫瘍選択的変換(2003年4月16日承認、申請資料概要ホ-1.3-2)

10) 代謝経路(2003年4月16日承認、申請資料概要ヘ.2-3-1)

11) Judson IR, et al. Invest New Drugs. 1999;17:49-56.

12) 腎機能障害を伴う固形癌患者の薬物動態(2003年4月16日承認、申請資料概要ヘ.3-3-7)

13) Camidge R, et al. J Clin Oncol. 2005;23:4719-25.

14) 肝ミクロソーム薬物代謝酵素系に対する影響(2003年4月16日承認、申請資料概要ヘ.2-3-4)

15) Reigner B, et al. Cancer Chemother Pharmacol. 1999;43:309-15.

16) 進行・再発乳癌を対象とした前期第2相臨床試験(2003年4月16日承認、申請資料概要ト.1-2-1)

17) 進行・再発乳癌を対象とした後期第2相臨床試験(2003年4月16日承認、申請資料概要ト.1-3-1)

18) ドセタキセル無効の進行・再発乳癌を対象とした後期第2相臨床試験(2003年4月16日承認、申請資料概要ト.1-3-2)

19) 社内資料:タキサン系薬剤無効の乳癌を対象とした第2相臨床試験

20) Blum JL, et al. J Clin Oncol. 1999;17:485-93.

21) 社内資料:パクリタキセル又はドセタキセル無効の進行・再発乳癌を対象とした第2相臨床試験

22) Twelves C, et al. N Engl J Med. 2005;352:2696-704.

23) 社内資料:Dukes Cの結腸癌を対象とした術後補助化学療法の第3相臨床試験(単剤投与)

24) 社内資料:Dukes Cの結腸癌を対象とした術後補助化学療法の第3相臨床試験(併用投与)

25) 社内資料:進行・転移性結腸・直腸癌を対象とした第1/2相臨床試験

26) 社内資料:転移性結腸・直腸癌を対象とした第3相臨床試験

27) 社内資料:イリノテカン・フルオロウラシル・ホリナート療法の治療歴がある転移性結腸・直腸癌を対象とした第3相臨床試験

28) Bang YJ, et al. Lancet. 2012;379:315-21.

29) Noh SH, et al. Lancet Oncol. 2014;15:1389-96.

30) 作用部位・作用機序(2003年4月16日承認、申請資料概要ホ-1.1-1)

31) Pinedo HM, et al. J Clin Oncol. 1988;6:1653-64.

32) 抗腫瘍効果(2003年4月16日承認、申請資料概要ホ-1.4-1)

33) Yanagisawa M, et al. Oncol Rep. 2009;22:241-7.

34) Sawada N, et al. Oncol Rep. 2007;18:775-8.

24. 文献請求先及び問い合わせ先

**チェプラファーム株式会社 メディカルインフォメーションセンター

〒101-0021 東京都千代田区外神田4丁目14-1

TEL:0120-772-073
https://www.cheplapharm.jp/

26. 製造販売業者等

26.1 **製造販売元

チェプラファーム株式会社

東京都千代田区外神田4丁目14-1

〒100-0013 東京都千代田区霞が関3-3-2 新霞が関ビル

画面を閉じる

Copyright © Pharmaceuticals and Medical Devices Agency, All Rights reserved.