医療用医薬品 詳細表示

ブチルスコポラミン臭化物錠10mg「ツルハラ」

処方せん医薬品以外の医薬品

添付文書番号
企業コード
作成又は改訂年月
日本標準商品分類番号
薬効分類名
承認等
一般的名称
2.禁忌(次の患者には投与しないこと)
3.組成・性状
3.1組成
3.2製剤の性状
4.効能又は効果
6.用法及び用量
8.重要な基本的注意
9.特定の背景を有する患者に関する注意
9.1合併症・既往歴等のある患者
9.5妊婦
9.6授乳婦
9.7小児等
9.8高齢者
10.相互作用
10.2併用注意(併用に注意すること)
11.副作用
11.1重大な副作用
11.2その他の副作用
13.過量投与
14.適用上の注意
18.薬効薬理
18.1作用機序
19.有効成分に関する理化学的知見
22.包装
23.主要文献
24.文献請求先及び問い合わせ先
26.製造販売業者等

ブチルスコポラミン臭化物錠10mg「ツルハラ」

添付文書番号

1242002F1381_1_04

企業コード

460028

作成又は改訂年月

2024年1月改訂(第1版)

日本標準商品分類番号

871242

薬効分類名

鎮痙剤

承認等

ブチルスコポラミン臭化物錠10mg「ツルハラ」

販売名コード

YJコード

1242002F1381

販売名英語表記

Scopolamine Butylbromide Tablets 10mg「TSURUHARA」

販売名ひらがな

ぶちるすこぽらみんしゅうかぶつじょう10㎎つるはら

承認番号等

承認番号

22600AMX00134000

販売開始年月

1974年3月

貯法・有効期間

貯法

室温保存

有効期間

3年

一般的名称

ブチルスコポラミン臭化物製剤

2. 禁忌(次の患者には投与しないこと)

  1. 2.1 出血性大腸炎の患者

    [腸管出血性大腸菌(O157等)や赤痢菌等の重篤な細菌性下痢患者では、症状の悪化、治療期間の延長をきたすおそれがある。]

  2. 2.2 閉塞隅角緑内障の患者

    [抗コリン作用により眼圧が上昇し、症状を悪化させることがある。]

  3. 2.3 前立腺肥大による排尿障害のある患者

    [更に尿を出にくくすることがある。]

  4. 2.4 重篤な心疾患のある患者

    [心拍数を増加させ、症状を悪化させるおそれがある。]

  5. 2.5 麻痺性イレウスの患者

    [消化管運動を抑制し、症状を悪化させるおそれがある。]

  6. 2.6 本剤に対し過敏症の既往歴のある患者

3. 組成・性状

3.1 組成

ブチルスコポラミン臭化物錠10mg「ツルハラ」

有効成分1錠中
ブチルスコポラミン臭化物 10mg  
添加剤乳糖水和物、結晶セルロース、カルメロース、メチルセルロース、ステアリン酸マグネシウム、白糖、沈降炭酸カルシウム、アラビアゴム末、ヒプロメロース、マクロゴール 6000、硫酸カルシウム、ポリオキシエチレン(105)ポリオキシプロピレン(5)グリコール、タルク、カルナウバロウ

3.2 製剤の性状

ブチルスコポラミン臭化物錠10mg「ツルハラ」

剤形糖衣錠
色調白色
外形表面
裏面
側面
大きさ直径約6.5mm
厚さ約4.5mm
質量約150mg

4. 効能又は効果

  • 下記疾患における痙攣並びに運動機能亢進
    • 胃・十二指腸潰瘍、食道痙攣、幽門痙攣、胃炎、腸炎、腸疝痛、痙攣性便秘、機能性下痢、胆のう・胆管炎、胆石症、胆道ジスキネジー、胆のう切除後の後遺症、尿路結石症、膀胱炎、月経困難症

6. 用法及び用量

ブチルスコポラミン臭化物として、通常成人1回10~20mgを1日3~5回経口投与する。なお、年齢、症状により適宜増減する。

8. 重要な基本的注意

眼の調節障害等を起こすことがあるので、本剤投与中の患者には自動車の運転等危険を伴う機械の操作に従事させないように注意すること。

9. 特定の背景を有する患者に関する注意

9.1 合併症・既往歴等のある患者

  1. 9.1.1 細菌性下痢患者

    治療上やむを得ないと判断される場合を除き、投与しないこと。治療期間の延長をきたすおそれがある。

  2. 9.1.2 前立腺肥大のある患者(排尿障害のある患者を除く)

    尿を出にくくすることがある。

  3. 9.1.3 うっ血性心不全のある患者

    心拍数を増加させ、症状を悪化させるおそれがある。

  4. 9.1.4 不整脈のある患者

    心拍数を増加させ、症状を悪化させるおそれがある。

  5. 9.1.5 潰瘍性大腸炎の患者

    中毒性巨大結腸を起こすおそれがある。

  6. 9.1.6 甲状腺機能亢進症の患者

    心拍数を増加させ、症状を悪化させるおそれがある。

  7. 9.1.7 高温環境にある患者

    汗腺分泌を抑制し、体温調節を障害するおそれがある。

  8. 9.1.8 開放隅角緑内障の患者

    抗コリン作用により眼圧が上昇し、症状を悪化させることがある。

9.5 妊婦

妊婦又は妊娠している可能性のある女性には、治療上の有益性が危険性を上回ると判断される場合にのみ投与すること。

9.6 授乳婦

治療上の有益性及び母乳栄養の有益性を考慮し、授乳の継続又は中止を検討すること。

9.7 小児等

小児等を対象とした臨床試験は実施していない。

9.8 高齢者

慎重に投与すること。前立腺肥大を伴っている場合が多い。

10. 相互作用

    10.2 併用注意(併用に注意すること)

    薬剤名等臨床症状・措置方法機序・危険因子
    • 抗コリン作用を有する薬剤
      • 三環系抗うつ剤
      • フェノチアジン系薬剤
      • モノアミン酸化酵素阻害剤
      • 抗ヒスタミン剤等

    抗コリン作用(口渇、便秘、眼の調節障害等)が増強することがある。

    併用により本剤の作用が増強されることがある。

    • ドパミン拮抗剤
      • メトクロプラミド等

    相互に消化管における作用を減弱するおそれがある。

    本剤は消化管運動を抑制するため、ドパミン拮抗剤の消化管運動亢進作用と拮抗する。

    11. 副作用

    次の副作用があらわれることがあるので、観察を十分に行い、異常が認められた場合には投与を中止するなど適切な処置を行うこと。

    11.1 重大な副作用

    1. 11.1.1 ショック、アナフィラキシー(いずれも頻度不明)

      悪心・嘔吐、悪寒、皮膚蒼白、血圧低下、呼吸困難、気管支攣縮、浮腫、血管浮腫等があらわれることがある。

    11.2 その他の副作用

    5%以上

    0.1~5%未満

    頻度不明

    調節障害

    散瞳、閉塞隅角緑内障

    消化器

    口渇

    腹部膨満感、鼓腸、便秘

    泌尿器

    排尿障害

    精神神経系

    頭痛、頭重感

    循環器

    心悸亢進

    過敏症

    発疹

    蕁麻疹、紅斑、そう痒症

    13. 過量投与

    1. 13.1 症状

      口渇、眼の調節障害、せん妄、心悸亢進、血圧上昇等を引き起こす可能性がある。

    2. 13.2 処置

      必要に応じ、副交感神経興奮薬の投与を行うこと。

    14. 適用上の注意

    14.1 薬剤交付時の注意

    PTP包装の薬剤はPTPシートから取り出して服用するよう指導すること。PTPシートの誤飲により、硬い鋭角部が食道粘膜へ刺入し、更には穿孔をおこして縦隔洞炎等の重篤な合併症を併発することがある。

    18. 薬効薬理

    18.1 作用機序

    副交感神経支配の腹部中空臓器の壁内神経節に作用し、神経刺激伝達を抑制して胃腸管、胆道、泌尿器及び女性生殖器の痙攣を緩解する1)

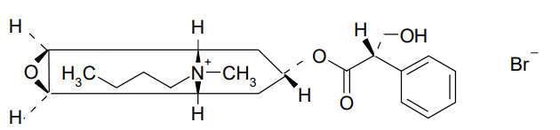
    19. 有効成分に関する理化学的知見

    一般的名称

    ブチルスコポラミン臭化物(Scopolamine Butylbromide)

    化学名

    (1R,2R,4S,5S,7s,9r)-9-Butyl-7-[(2S )-3-hydroxy-2-phenylpropanoyloxy]-9-methyl-3-oxa-9-azoniatricyclo[3.3.1.02,4]nonane bromide

    分子式

    C21H30BrNO4

    分子量

    440.37

    性状

    白色の結晶又は結晶性の粉末である。
    水に極めて溶けやすく、酢酸(100)に溶けやすく、エタノール(95)にやや溶けやすく、メタノールにやや溶けにくく、無水酢酸に溶けにくく、ジエチルエーテルにほとんど溶けない。
    本品1.0gを水10mLに溶かした液のpHは5.5~6.5である。

    化学構造式

    融点

    約140℃(分解)

    22. 包装

    PTP:100錠(10錠×10)、1,000錠(10錠×100)
    バラ[缶]:1,200錠

    24. 文献請求先及び問い合わせ先

    鶴原製薬株式会社 医薬情報部

    〒563-0036 大阪府池田市豊島北1丁目16番1号

    TEL:072-761-1456(代表) FAX:072-760-5252

    26. 製造販売業者等

    26.1 製造販売元

    鶴原製薬株式会社

    大阪府池田市豊島北1丁目16番1号

    〒100-0013 東京都千代田区霞が関3-3-2 新霞が関ビル

    画面を閉じる

    Copyright © Pharmaceuticals and Medical Devices Agency, All Rights reserved.