医療用医薬品 詳細表示

ケトチフェン点眼液0.05%「ツルハラ」

処方せん医薬品以外の医薬品

添付文書番号
企業コード
作成又は改訂年月
日本標準商品分類番号
薬効分類名
承認等
一般的名称
2.禁忌(次の患者には投与しないこと)
3.組成・性状
3.1組成
3.2製剤の性状
4.効能又は効果
6.用法及び用量
9.特定の背景を有する患者に関する注意
9.5妊婦
11.副作用
11.2その他の副作用
14.適用上の注意
16.薬物動態
16.1血中濃度
16.3分布
17.臨床成績
17.1有効性及び安全性に関する試験
18.薬効薬理
18.1作用機序
18.2抗アレルギー作用
18.3抗ヒスタミン作用
18.4動物結膜炎モデルにおける作用
19.有効成分に関する理化学的知見
22.包装
23.主要文献
24.文献請求先及び問い合わせ先
26.製造販売業者等

ケトチフェン点眼液0.05%「ツルハラ」

添付文書番号

1319730Q1400_1_02

企業コード

460028

作成又は改訂年月

2023年11月改訂(第1版)

日本標準商品分類番号

871319

薬効分類名

抗アレルギー点眼剤

承認等

ケトチフェン点眼液0.05%「ツルハラ」

販売名コード

YJコード

1319730Q1400

販売名英語表記

Ketotifen Ophthalmic Solution 0.05%「TSURUHARA」

販売名ひらがな

けとちふぇんてんがんえき0.05%つるはら

承認番号等

承認番号

30200AMX00007000

販売開始年月

1999年7月

貯法・有効期間

貯法

室温保存

有効期間

3年

一般的名称

ケトチフェンフマル酸塩点眼液

2. 禁忌(次の患者には投与しないこと)

  1. 2.1 本剤の成分に対し過敏症の既往歴のある患者

3. 組成・性状

3.1 組成

ケトチフェン点眼液0.05%「ツルハラ」

有効成分1mL中 ケトチフェンフマル酸塩   0.69mg
(ケトチフェンとして   0.50mg )
添加剤ベンザルコニウム塩化物、グリセリン、水酸化ナトリウム、塩酸

3.2 製剤の性状

ケトチフェン点眼液0.05%「ツルハラ」

性状無色~微黄色澄明の無菌に製した水性点眼液
pH4.8~5.8
浸透圧比
(生理食塩液に対する比)
0.7~1.0

4. 効能又は効果

アレルギー性結膜炎

6. 用法及び用量

通常1回1~2滴を1日4回(朝、昼、夕方及び就寝前)点眼する。

9. 特定の背景を有する患者に関する注意

9.5 妊婦

妊婦又は妊娠している可能性のある女性には治療上の有益性が危険性を上回ると判断される場合にのみ投与すること。

11. 副作用

次の副作用があらわれることがあるので、観察を十分に行い、異常が認められた場合には投与を中止するなど適切な処置を行うこと。

11.2 その他の副作用

0.1%~5%未満

0.1%未満

頻度不明

過敏症

眼瞼炎、眼瞼皮膚炎、そう痒感

発疹、眼部腫脹、眼瞼浮腫、顔面浮腫

結膜充血、刺激感

角膜びらん

眼痛、霧視、眼乾燥、結膜炎、羞明

その他

眠気

頭痛、口渇

注)発現頻度は使用成績調査を含む。

14. 適用上の注意

14.1 薬剤交付時の注意

患者に対し以下の点に注意するよう指導すること。

  • 薬液汚染防止のため、点眼のとき、容器の先端が直接目に触れないように注意すること。
  • 患眼を開瞼して結膜囊内に点眼し、1~5分間閉瞼して涙囊部を圧迫させた後、開瞼すること。
  • 他の点眼剤を併用する場合には、少なくとも5分以上間隔をあけてから点眼すること。
  • ベンザルコニウム塩化物によりソフトコンタクトレンズを変色させることがあるので、ソフトコンタクトレンズを装用している場合は、点眼前にレンズを外し、点眼15分以上経過後に再装用すること1)

16. 薬物動態

16.1 血中濃度

14C-ケトチフェンフマル酸塩の点眼液(9.67mg/0.195mCi/ml)50μlをウサギに1回投与したとき、血中への移行がみられたが低値であった。頻回投与した場合の定常状態における血漿中ケトチフェンフマル酸塩濃度は、結膜中の濃度の1/70程度と予測された2)

16.3 分布

14C-ケトチフェンフマル酸塩の点眼液(9.67mg/0.195mCi/ml)50μlをウサギに1回投与し、眼組織への移行性を検討した。
眼組織における14C-ケトチフェンフマル酸塩の濃度は投与後15分に最高値を示した。最も高い濃度を示したのは角膜(上皮)で、次いで結膜、角膜(内皮及び実質)、虹彩、強膜(前部)、毛様体、外眼筋、前房水の順であった。
他の眼組織中の平均滞留時間が3時間以下であるのに比べ、結膜では平均滞留時間が5.7時間と長い値を示した2)

17. 臨床成績

17.1 有効性及び安全性に関する試験

  1. 17.1.1 国内第Ⅲ相試験

    アレルギー性結膜炎患者(262例)を対象にケトチフェンフマル酸塩点眼液(128例)又はクロモグリク酸ナトリウム点眼液(134例)を1回1~2滴、1日4回(朝、昼、夕方及び就寝前)、4週間点眼した二重盲検比較試験において、全般改善度はケトチフェンフマル酸塩点眼液群66%、クロモグリク酸ナトリウム点眼液群63%で両群間に有意差は認められなかった。またケトチフェンフマル酸塩点眼液投与群に副作用は認められなかった3)

18. 薬効薬理

18.1 作用機序

ケトチフェンフマル酸塩は、肥満細胞からのメディエーター遊離を抑制し、ヒスタミンH1受容体への結合を遮断することで抗アレルギー作用及び抗ヒスタミン作用を示す。

18.2 抗アレルギー作用

ケトチフェンはPCA(受動的皮膚アナフィラキシー)反応を抑制する(ラット)4)
ヒスタミン、SRS-A等のケミカルメディエーターの遊離を抑制する(ラット腹腔肥満細胞、ヒト白血球中好塩基球・好中球in vitro4),5),6)
また、抗原及びPAF(血小板活性化因子)による好酸球の活性化を抑制する(モルモット7)、ヒヒ8))。

18.3 抗ヒスタミン作用

ケトチフェンはヒスタミンによる気管支収縮(モルモット)、血管透過性亢進、皮膚反応(ラット)等を抑制する4)

18.4 動物結膜炎モデルにおける作用

動物結膜炎モデルにおいてケトチフェンはIgE結膜炎(ラット、モルモット、点眼)及びCompound48/80誘発結膜炎を抑制する(ラット、点眼)9)
抗原誘発により結膜炎症状とともに好酸球、好中球の結膜浸潤がみられるが、ケトチフェンはこれを抑制する(モルモット、点眼)10)

18.5 生物学的同等性試験

ケトチフェン点眼液0.05%「ツルハラ」およびザジテン点眼液0.05%は、抗血清の点眼により受動感作したラットあるいはモルモットに抗原及びエバンスブルーの静脈内投与により惹起した IgE 結膜炎モデルにおいて、結膜内への色素漏出を有意に抑制し、両剤の抑制率に有意な差はみられなかった。この結果より、ケトチフェン点眼液0.05%「ツルハラ」およびザジテン点眼液0.05%は生物学的に同等であることが確認された11)

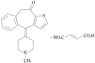
19. 有効成分に関する理化学的知見

一般的名称

ケトチフェンフマル酸塩(Ketotifen Fumarate)

化学名

4-(1-Methylpiperidin-4-ylidene)-4H-benzo[4,5]cyclohepta[1,2-b]thiophen-10(9H)-one monofumarate

分子式

C19H19NOS・C4H4O4

分子量

425.50

性状

白色~淡黄白色の結晶性の粉末である。メタノール又は酢酸(100)にやや溶けにくく、水、エタノール(99.5)又は無水酢酸に溶けにくい。

化学構造式

融点

約190℃(分解)

22. 包装

5mL×10本[プラスチック製容器入]

24. 文献請求先及び問い合わせ先

鶴原製薬株式会社 医薬情報部

〒563-0036 大阪府池田市豊島北1丁目16番1号

TEL:072-761-1456(代表) FAX:072-760-5252

26. 製造販売業者等

26.1 製造販売元

鶴原製薬株式会社

大阪府池田市豊島北1丁目16番1号

〒100-0013 東京都千代田区霞が関3-3-2 新霞が関ビル

画面を閉じる

Copyright © Pharmaceuticals and Medical Devices Agency, All Rights reserved.