医療用医薬品 詳細表示

バルヒディオ配合錠MD「ツルハラ」/バルヒディオ配合錠EX「ツルハラ」

処方せん医薬品

添付文書番号
企業コード
作成又は改訂年月
日本標準商品分類番号
薬効分類名
承認等
一般的名称
2.禁忌(次の患者には投与しないこと)
3.組成・性状
3.1組成
3.2製剤の性状
4.効能又は効果
5.効能又は効果に関連する注意
6.用法及び用量
8.重要な基本的注意
9.特定の背景を有する患者に関する注意
9.1合併症・既往歴等のある患者
9.2腎機能障害患者
9.3肝機能障害患者
9.4生殖能を有する者
9.5妊婦
9.6授乳婦
9.7小児等
9.8高齢者
10.相互作用
10.1併用禁忌(併用しないこと)
10.2併用注意(併用に注意すること)
11.副作用
11.1重大な副作用
11.2その他の副作用
12.臨床検査結果に及ぼす影響
13.過量投与
14.適用上の注意
15.その他の注意
15.1臨床使用に基づく情報
16.薬物動態
16.1血中濃度
16.2吸収
16.3分布
16.4代謝
16.5排泄
16.7薬物相互作用
16.8その他
17.臨床成績
17.1有効性及び安全性に関する試験
18.薬効薬理
18.1作用機序
18.2降圧作用
19.有効成分に関する理化学的知見
22.包装
23.主要文献
24.文献請求先及び問い合わせ先
26.製造販売業者等

バルヒディオ配合錠MD「ツルハラ」/バルヒディオ配合錠EX「ツルハラ」

添付文書番号

2149112F1090_1_12

企業コード

460028

作成又は改訂年月

**2025年9月改訂(第5版)
2025年5月改訂(第4版)

日本標準商品分類番号

872149

薬効分類名

選択的AT1受容体ブロッカー/利尿薬合剤

承認等

バルヒディオ配合錠MD「ツルハラ」

販売名コード

YJコード

2149112F1090

販売名英語表記

VALHYDIO Combination Tablets「TSURUHARA」

販売名ひらがな

ばるひでぃおはいごうじょうMD「つるはら」

承認番号等

承認番号

22800AMX00526000

販売開始年月

2016年12月

貯法・有効期間

貯法

室温保存

有効期間

3年

基準名

日本薬局方

バルサルタン・ヒドロクロロチアジド錠

バルヒディオ配合錠EX「ツルハラ」

販売名コード

YJコード

2149112F2096

販売名英語表記

VALHYDIO Combination Tablets「TSURUHARA」

販売名ひらがな

ばるひでぃおはいごうじょうEX「つるはら」

承認番号等

承認番号

22800AMX00527000

販売開始年月

2016年12月

貯法・有効期間

貯法

室温保存

有効期間

3年

基準名

日本薬局方

バルサルタン・ヒドロクロロチアジド錠

一般的名称

バルサルタン
ヒドロクロロチアジド

2. 禁忌(次の患者には投与しないこと)

  1. 2.1 本剤の成分に対し過敏症の既往歴のある患者
  2. 2.2 チアジド系薬剤又はその類似化合物(例えばクロルタリドン等のスルフォンアミド誘導体)に対する過敏症の既往歴のある患者
  3. 2.3 妊婦又は妊娠している可能性のある女性
  4. 2.4 無尿の患者又は透析患者[本剤の効果が期待できない。]
  5. 2.5 急性腎不全の患者
  6. 2.6 体液中のナトリウム・カリウムが明らかに減少している患者[低ナトリウム血症、低カリウム血症等の電解質失調を悪化させるおそれがある。]
  7. 2.7 アリスキレンフマル酸塩を投与中の糖尿病患者(ただし、他の降圧治療を行ってもなお血圧のコントロールが著しく不良の患者を除く)
  8. 2.8 デスモプレシン酢酸塩水和物(男性における夜間多尿による夜間頻尿)を投与中の患者

3. 組成・性状

3.1 組成

バルヒディオ配合錠MD「ツルハラ」

有効成分1錠中バルサルタン80mg及びヒドロクロロチアジド6.25mgを含有する。  
添加剤結晶セルロース、低置換度ヒドロキシプロピルセルロース、軽質無水ケイ酸、含水二酸化ケイ素、タルク、ステアリン酸マグネシウム、ヒプロメロース、マクロゴール6000、酸化チタン、三二酸化鉄、カルナウバロウ

バルヒディオ配合錠EX「ツルハラ」

有効成分1錠中バルサルタン80mg及びヒドロクロロチアジド12.5mgを含有する。  
添加剤結晶セルロース、低置換度ヒドロキシプロピルセルロース、軽質無水ケイ酸、含水二酸化ケイ素、タルク、ステアリン酸マグネシウム、ヒプロメロース、マクロゴール6000、酸化チタン、三二酸化鉄、カルナウバロウ

3.2 製剤の性状

バルヒディオ配合錠MD「ツルハラ」

剤形フィルムコーティング錠
色調うすい赤色
外形表面
裏面
側面
大きさ直径約9.1mm
厚さ約4.2mm
質量約265mg
識別コード表面 TSU553
裏面 80 6.25

バルヒディオ配合錠EX「ツルハラ」

剤形フィルムコーティング錠
色調ごくうすい赤色
外形表面
裏面
側面
大きさ直径約9.1mm
厚さ約4.2mm
質量約265mg
識別コード表面 TSU552
裏面 80 12.5

4. 効能又は効果

高血圧症

5. 効能又は効果に関連する注意

  1. 5.1 過度な血圧低下のおそれ等があり、本剤を高血圧治療の第一選択薬としないこと。
  2. 5.2 原則として、バルサルタン80mgで効果不十分な場合に本剤の使用を検討すること。

6. 用法及び用量

成人には1日1回1錠(バルサルタン/ヒドロクロロチアジドとして80mg/6.25mg又は80mg/12.5mg)を経口投与する。本剤は高血圧治療の第一選択薬として用いない。

8. 重要な基本的注意

  1. 8.1 本剤は、バルサルタン80mgとヒドロクロロチアジド6.25mgあるいは12.5mgとの配合剤であり、バルサルタンとヒドロクロロチアジド双方の副作用が発現するおそれがあり、適切に本剤の使用を検討すること。
  2. 8.2 ヒドロクロロチアジドは高尿酸血症を発現させるおそれがあるので、定期的に血清尿酸値のモニタリングを実施し、観察を十分に行うこと。
  3. 8.3 ヒドロクロロチアジドは低カリウム血症を起こすことが知られているので、定期的に血清カリウム値のモニタリングを実施し、観察を十分に行うこと。
  4. 8.4 *ヒドロクロロチアジドは急性近視、閉塞隅角緑内障、脈絡膜滲出を発現させるおそれがあるので、急激な視力の低下や眼痛等の異常が認められた場合には、直ちに眼科医の診察を受けるよう、患者に指導すること。
  5. 8.5 バルサルタンを含むアンジオテンシンⅡ受容体拮抗剤投与中に肝炎等の重篤な肝障害があらわれたとの報告があるので、肝機能検査を実施するなど観察を十分に行うこと。
  6. 8.6 手術前24時間は投与しないことが望ましい。アンジオテンシンⅡ受容体拮抗剤投与中の患者は、麻酔及び手術中にレニン-アンジオテンシン系の抑制作用による低血圧を起こす可能性がある。
  7. 8.7 降圧作用に基づくめまい、ふらつきがあらわれることがあるので、高所作業、自動車の運転等危険を伴う機械を操作する際には注意させること。
  8. 8.8 本剤の利尿効果は急激にあらわれることがあるので、電解質失調、脱水に十分注意すること。
  9. 8.9 夜間の休息が特に必要な患者には、夜間の排尿を避けるため、午前中に投与することが望ましい。

9. 特定の背景を有する患者に関する注意

9.1 合併症・既往歴等のある患者

  1. 9.1.1 両側性腎動脈狭窄のある患者又は片腎で腎動脈狭窄のある患者

    治療上やむを得ないと判断される場合を除き、投与は避けること。腎血流量の減少や糸球体濾過圧の低下により急速に腎機能を悪化させるおそれがある。

  2. 9.1.2 血清カリウム値異常の患者

    ,

  3. 9.1.3 高カリウム血症の患者

    治療上やむを得ないと判断される場合を除き、投与は避けること。バルサルタンは、高カリウム血症を増悪させるおそれがある。また、腎機能障害、コントロール不良の糖尿病等により血清カリウム値が高くなりやすい患者では、血清カリウム値に注意すること。,

  4. 9.1.4 脳血管障害のある患者

    過度の降圧が脳血流不全を引き起こし、病態を悪化させるおそれがある。

  5. 9.1.5 減塩療法中の患者

    低ナトリウム血症を起こすおそれがある。また、厳重な減塩療法中の患者では、一過性の急激な血圧低下(失神及び意識消失等を伴う)を起こすおそれがある。

  6. 9.1.6 重篤な冠動脈硬化症又は脳動脈硬化症のある患者

    急激な利尿があらわれた場合、急速な血漿量減少、血液濃縮を来し、血栓塞栓症を誘発するおそれがある。

  7. 9.1.7 本人又は両親、兄弟に痛風、糖尿病のある患者及び高尿酸血症のある患者

    高尿酸血症、高血糖症を来し、痛風、糖尿病の悪化や顕性化のおそれがある。

  8. 9.1.8 下痢、嘔吐のある患者

    電解質失調があらわれるおそれがある。

  9. 9.1.9 高カルシウム血症、副甲状腺機能亢進症のある患者

    血清カルシウムを上昇させるおそれがある。

  10. 9.1.10 交感神経切除後の患者

    本剤の降圧作用が増強されるおそれがある。

9.2 腎機能障害患者

  1. 9.2.1 透析患者

    投与しないこと。本剤の効果が期待できない。

  2. 9.2.2 急性腎不全の患者

    投与しないこと。腎機能を更に悪化させるおそれがある。

  3. 9.2.3 重篤な腎機能障害(血清クレアチニン値が2.0mg/dLを超える)のある患者

    治療上やむを得ないと判断される場合を除き、投与は避けること。ヒドロクロロチアジドにより腎血流量が低下するおそれがある。なお、バルサルタンにより腎機能障害が悪化するおそれもある。

  4. 9.2.4 腎機能障害患者(透析患者、急性腎不全の患者を除く)

    定期的に血清クレアチニン値及び血清尿酸値のモニタリングを実施し、観察を十分に行うこと。血清クレアチニン値上昇及び血清尿酸値上昇のおそれがある。

9.3 肝機能障害患者

  1. 9.3.1 肝障害のある患者、特に胆汁性肝硬変及び胆汁うっ滞のある患者

    バルサルタンは主に胆汁中に排泄されるため、血中濃度が上昇するおそれがある。外国において、軽度~中等度の肝障害患者でバルサルタンの血漿中濃度が、健康成人と比較して約2倍に上昇することが報告されている。また、ヒドロクロロチアジドは肝性昏睡を誘発するおそれがある。

9.4 生殖能を有する者

  1. 9.4.1 妊娠する可能性のある女性

    妊娠していることが把握されずアンジオテンシン変換酵素阻害剤又はアンジオテンシンⅡ受容体拮抗剤を使用し、胎児・新生児への影響(腎不全、頭蓋・肺・腎の形成不全、死亡等)が認められた例が報告されている1),2)

    本剤の投与に先立ち、代替薬の有無等も考慮して本剤投与の必要性を慎重に検討し、治療上の有益性が危険性を上回ると判断される場合にのみ投与すること。また、投与が必要な場合には次の注意事項に留意すること。

    1. (1) 本剤投与開始前に妊娠していないことを確認すること。本剤投与中も、妊娠していないことを定期的に確認すること。投与中に妊娠が判明した場合には、直ちに投与を中止すること。
    2. (2) 次の事項について、本剤投与開始時に患者に説明すること。また、投与中も必要に応じ説明すること。
      • 妊娠中に本剤を使用した場合、胎児・新生児に影響を及ぼすリスクがあること。
      • 妊娠が判明した又は疑われる場合は、速やかに担当医に相談すること。
      • 妊娠を計画する場合は、担当医に相談すること。

9.5 妊婦

妊婦又は妊娠している可能性のある女性には投与しないこと。投与中に妊娠が判明した場合には、直ちに投与を中止すること。バルサルタンを含むアンジオテンシンⅡ受容体拮抗剤並びにアンジオテンシン変換酵素阻害剤で、妊娠中期~末期に投与された患者に胎児・新生児死亡、羊水過少症、胎児・新生児の低血圧、腎不全、高カリウム血症、頭蓋の形成不全、羊水過少症によると推測される四肢の拘縮、脳、頭蓋顔面の奇形、肺の発育形成不全等があらわれたとの報告がある3),4)。また、海外で実施されたアンジオテンシン変換酵素阻害剤におけるレトロスペクティブな疫学調査で、妊娠初期にアンジオテンシン変換酵素阻害剤を投与された患者群において、胎児奇形の相対リスクは降圧剤が投与されていない患者群に比べ高かったとの報告がある5)。ヒドロクロロチアジドを含むチアジド系薬剤では新生児又は乳児に高ビリルビン血症、血小板減少症等を起こすことがある。また、利尿効果に基づく血漿量減少、血液濃縮、子宮・胎盤血流量減少等があらわれることがある。,

9.6 授乳婦

授乳しないことが望ましい。バルサルタンにおける動物実験(ラットの授乳期経口投与)の3mg/kg/日で、乳汁中へ移行するとの報告がある。また、動物実験(ラットの周産期及び授乳期経口投与)の600mg/kg/日で出生児の低体重及び生存率の低下が認められており、200mg/kg/日以上で外表分化の遅延が認められている。ヒドロクロロチアジドはヒト母乳中へ移行することが報告されている。

9.7 小児等

小児等を対象とした臨床試験は実施していない。

9.8 高齢者

  1. 9.8.1 一般に過度の降圧は好ましくないとされている。脳梗塞等が起こるおそれがある。
  2. 9.8.2 バルサルタン単独投与による高齢者での薬物動態試験で、バルサルタンの血漿中濃度が非高齢者に比べて高くなることが認められている。
  3. 9.8.3 急激な利尿は血漿量の減少を来し、脱水、低血圧等による立ちくらみ、めまい、失神等を起こすことがある。
  4. 9.8.4 特に心疾患等で浮腫のある高齢者では急激な利尿は急速な血漿量の減少と血液濃縮を来し、脳梗塞等の血栓塞栓症を誘発するおそれがある。
  5. 9.8.5 低ナトリウム血症、低カリウム血症があらわれやすい。

10. 相互作用

    10.1 併用禁忌(併用しないこと)

    薬剤名等臨床症状・措置方法機序・危険因子

    アリスキレンフマル酸塩

    • ラジレス
      (糖尿病患者に使用する場合。ただし、他の降圧治療を行ってもなお血圧のコントロールが著しく不良の患者を除く。)

    非致死性脳卒中、腎機能障害、高カリウム血症及び低血圧のリスク増加が報告されている。

    レニン-アンジオテンシン系阻害作用が増強される可能性がある。

    デスモプレシン酢酸塩水和物

    • ミニリンメルト
      (男性における夜間多尿による夜間頻尿)

    低ナトリウム血症が発現するおそれがある。

    ヒドロクロロチアジドとデスモプレシン酢酸塩水和物のいずれも低ナトリウム血症が発現するおそれがある。

    10.2 併用注意(併用に注意すること)

    薬剤名等臨床症状・措置方法機序・危険因子

    アリスキレンフマル酸塩

    腎機能障害、高カリウム血症及び低血圧を起こすおそれがある。
    なお、eGFRが60mL/min/1.73m2未満の腎機能障害のある患者へのアリスキレンフマル酸塩との併用については、治療上やむを得ないと判断される場合を除き避けること。

    レニン-アンジオテンシン系阻害作用が増強される可能性がある。

    アンジオテンシン変換酵素阻害剤

    腎機能障害、高カリウム血症及び低血圧を起こすおそれがある。

    レニン-アンジオテンシン系阻害作用が増強される可能性がある。

    利尿降圧剤

    • フロセミド
      トリクロルメチアジド等

    一過性の急激な血圧低下(失神及び意識消失等を伴う)を起こすおそれがある。

    利尿降圧剤で治療を受けている患者にはレニン活性が亢進している患者が多く、バルサルタンが奏効しやすい。
    重度のナトリウムないし体液量の減少した患者では、まれに症候性の低血圧が生じることがある。

    カリウム保持性利尿剤

    • スピロノラクトン
      トリアムテレン等

    カリウム補給製剤

    • 塩化カリウム

    血清カリウム値が上昇することがある。

    バルサルタンのアルドステロン分泌抑制によりカリウム貯留作用が増強する可能性がある。
    危険因子:腎機能障害

    ドロスピレノン・エチニルエストラジオール

    血清カリウム値が上昇することがある。

    バルサルタンによる血清カリウム値の上昇とドロスピレノンの抗ミネラルコルチコイド作用によると考えられる。
    危険因子:腎障害患者、血清カリウム値の高い患者

    トリメトプリム含有製剤

    • スルファメトキサゾール・トリメトプリム

    血清カリウム値が上昇することがある。

    血清カリウム値の上昇が増強されるおそれがある。

    シクロスポリン

    血清カリウム値が上昇することがある。

    高カリウム血症の副作用が相互に増強されると考えられる。

    シクロスポリン

    高尿酸血症及びこれに伴う痛風があらわれやすいので、血中尿酸値に注意すること。

    高尿酸血症の副作用が相互に増強される可能性が考えられる。

    非ステロイド性消炎鎮痛剤(NSAIDs)

    • インドメタシン等

    本剤の降圧作用が減弱することがある。

    NSAIDsの腎プロスタグランジン合成阻害作用により、本剤の降圧作用が減弱することがある。

    非ステロイド性消炎鎮痛剤(NSAIDs)

    • インドメタシン等

    腎機能を悪化させるおそれがある。

    NSAIDsの腎プロスタグランジン合成阻害作用により、腎血流量が低下するためと考えられる。
    危険因子:高齢者

    ビキサロマー

    バルサルタンの血中濃度が約30~40%に低下したとの報告がある。バルサルタンの作用が減弱するおそれがある。

    リン酸結合性ポリマーにより、同時に服用した場合、バルサルタンの吸収を遅延あるいは減少させる可能性がある。

    バルビツール酸誘導体

    起立性低血圧が増強されることがある。

    これらの薬剤の中枢抑制作用とヒドロクロロチアジドの降圧作用による。

    あへんアルカロイド系麻薬

    起立性低血圧が増強されることがある。

    ヒドロクロロチアジドとあへんアルカロイドの大量投与で血圧低下があらわれる可能性がある。

    アルコール

    起立性低血圧が増強されることがある。

    ヒドロクロロチアジドと血管拡張作用を有するアルコールとの併用により降圧作用が増強される可能性がある。

    昇圧アミン

    • ノルアドレナリン
      アドレナリン

    昇圧アミンの作用を減弱することがある。手術前の患者に使用する場合、本剤の一時休薬等の処置を講ずること。

    ヒドロクロロチアジドは昇圧アミンに対する血管壁の反応性を低下させる可能性がある。

    ツボクラリンの類似作用物質

    • パンクロニウム臭化物

    ツボクラリンの類似作用物質の麻痺作用を増強することがある。手術前の患者に使用する場合、本剤の一時休薬等の処置を講ずること。

    ヒドロクロロチアジドによる血清カリウム値の低下により、これらの薬剤の神経・筋遮断作用が増強すると考えられている。

    降圧作用を有する他の薬剤

    • β-遮断剤
      ニトログリセリン等

    降圧作用を増強するおそれがある。
    降圧剤の用量調節等に注意すること。

    作用機序の異なる降圧作用により互いに協力的に作用する。

    ジギタリス製剤

    • ジゴキシン
      ジギトキシン

    ジギタリスの心臓に対する作用を増強し、不整脈等を起こすことがある。血清カリウム値に十分注意すること。

    ヒドロクロロチアジドによる血清カリウム値の低下により多量のジギタリスが心筋Na-K ATPaseに結合し、心収縮力増強と不整脈が起こる。マグネシウム低下も同様の作用を示す。

    乳酸ナトリウム

    チアジド系薬剤による代謝性アルカローシス、低カリウム血症を増強することがある。

    ヒドロクロロチアジドのカリウム排泄作用により低カリウム血症や代謝性アルカローシスが引き起こされることがある。アルカリ化剤である乳酸ナトリウムの併用はこの状態を更に増強させる。

    リチウム

    振戦、消化器愁訴等、リチウム中毒を増強することがある。血清リチウム濃度に注意すること。

    ヒドロクロロチアジドは腎におけるリチウムの再吸収を促進し、リチウムの血中濃度を上昇させる。

    リチウム

    リチウム中毒を起こすことが報告されている。

    バルサルタンのナトリウム排泄作用により、リチウムの蓄積が起こると考えられている。

    副腎皮質ホルモン剤
    ACTH

    低カリウム血症が発現することがある。

    ヒドロクロロチアジドとこれらの薬剤はともにカリウム排泄作用を有する。

    グリチルリチン製剤

    血清カリウム値の低下があらわれやすくなる。

    グリチルリチン製剤は低カリウム血症を主徴とした偽アルドステロン症を引き起こすことがある。したがってヒドロクロロチアジドとグリチルリチン製剤の併用により低カリウム血症を増強する可能性がある。

    糖尿病用剤

    • SU剤
      インスリン等

    糖尿病用剤の作用を著しく減弱することがある。

    機序は明確ではないが、ヒドロクロロチアジドによるカリウム喪失により膵臓のβ細胞のインスリン放出が低下すると考えられている。

    ジアゾキシド

    ジアゾキシドの血糖上昇作用及び血中尿酸上昇作用が増強するおそれがある。

    機序は明確ではないが、ヒドロクロロチアジドによるカリウム喪失により膵臓のβ細胞のインスリン放出が低下すると考えられている。また、ヒドロクロロチアジドとジアゾキシドはともに尿酸排泄抑制作用を有する。

    陰イオン交換樹脂剤

    • コレスチラミン等

    チアジド系薬剤の作用が減弱することがある。陰イオン交換樹脂剤投与の少なくとも4時間前に投与する等、投与時間をずらすことで薬剤相互作用を最小限にできるとの報告がある。

    陰イオン交換樹脂剤の吸着作用によりヒドロクロロチアジドの吸収が阻害されることがある。

    アマンタジン

    アマンタジンの作用が増強されることがある。

    ヒドロクロロチアジドがアマンタジンの腎排泄を低下させ、血中濃度の上昇を起こすためと考えられる。

    アロプリノール

    重症の過敏反応(悪寒、全身性の皮疹等)が発現したとの報告がある。

    機序は不明である。

    抗コリン作用を有する薬剤

    • アトロピン
      ビペリデン

    チアジド系薬剤の作用が増強されるおそれがある。

    チアジド系薬剤の吸収が促進される可能性が考えられる。

    メチルドパ

    チアジド系薬剤との併用による溶血性貧血の報告がある。

    メチルドパがチアジド系薬剤の抗体産生を促進する可能性が考えられる。

    抗腫瘍剤

    • シクロホスファミド
      メトトレキサート等

    これらの薬剤の骨髄抑制作用を増強するおそれがある。

    チアジド系薬剤が抗腫瘍剤の腎排泄を減少させるためと考えられる。

    ビタミンD
    カルシウム剤

    高カルシウム血症を起こすおそれがある。

    血清カルシウム濃度の上昇をチアジド系薬剤と相互に増強させる可能性が考えられる。

    カルバマゼピン

    低ナトリウム血症があらわれることがある。

    ヒドロクロロチアジドとカルバマゼピンはともに血清中のナトリウムを低下させることがある。

    11. 副作用

    次の副作用があらわれることがあるので、観察を十分に行い、異常が認められた場合には投与を中止するなど適切な処置を行うこと。

    11.1 重大な副作用

    1. 11.1.1 アナフィラキシー(頻度不明)
    2. 11.1.2 **血管性浮腫(頻度不明)

      顔面、口唇、咽頭、舌の腫脹等が症状としてあらわれることがある。また、腹痛、嘔気、嘔吐、下痢等を伴う腸管血管性浮腫があらわれることがある。

    3. 11.1.3 肝炎(頻度不明)

    4. 11.1.4 腎不全(頻度不明)
    5. 11.1.5 高カリウム血症(頻度不明)

    6. 11.1.6 低ナトリウム血症(頻度不明)

      けん怠感、食欲不振、嘔気、嘔吐、意識障害等を伴う低ナトリウム血症があらわれることがある。高齢者であらわれやすい。

    7. 11.1.7 ショック、失神、意識消失(いずれも頻度不明)

      冷感、嘔吐、意識消失等があらわれた場合には、直ちに適切な処置を行うこと。,

    8. 11.1.8 無顆粒球症、白血球減少、血小板減少(いずれも頻度不明)
    9. 11.1.9 再生不良性貧血、溶血性貧血(いずれも頻度不明)

      重篤な血液障害があらわれることがある。

    10. 11.1.10 壊死性血管炎(頻度不明)
    11. 11.1.11 中毒性表皮壊死融解症(Toxic Epidermal Necrolysis:TEN)、皮膚粘膜眼症候群(Stevens-Johnson症候群)、多形紅斑(いずれも頻度不明)
    12. 11.1.12 天疱瘡、類天疱瘡(いずれも頻度不明)

      水疱、びらん等があらわれた場合には、皮膚科医と相談すること。

    13. 11.1.13 間質性肺炎(頻度不明)

      発熱、咳嗽、呼吸困難、胸部X線異常等を伴う間質性肺炎があらわれることがあるので、このような場合には投与を中止し、副腎皮質ホルモン剤の投与等の適切な処置を行うこと。

    14. 11.1.14 肺水腫、急性呼吸窮迫症候群(いずれも頻度不明)

      肺水腫があらわれることがある。また、ヒドロクロロチアジド服用後、数分から数時間以内に急性呼吸窮迫症候群が発現したとの報告がある6),7),8),9)

    15. 11.1.15 全身性エリテマトーデスの悪化(頻度不明)
    16. 11.1.16 低血糖(頻度不明)

      脱力感、空腹感、冷汗、手の震え、集中力低下、痙攣、意識障害等があらわれた場合には投与を中止し、適切な処置を行うこと。糖尿病治療中の患者であらわれやすい。

    17. 11.1.17 横紋筋融解症(頻度不明)

      筋肉痛、脱力感、CK上昇、血中及び尿中ミオグロビン上昇を特徴とする横紋筋融解症があらわれることがあるので、このような場合には直ちに投与を中止し、適切な処置を行うこと。

    18. 11.1.18 *急性近視、閉塞隅角緑内障、脈絡膜滲出(いずれも頻度不明)

      急性近視(霧視、視力低下等を含む)、閉塞隅角緑内障、脈絡膜滲出があらわれることがある。

    11.2 その他の副作用

    1%以上

    1%未満

    頻度不明

    皮膚障害

    発疹、光線過敏症、そう痒症、蕁麻疹、紅斑

    紫斑、皮膚エリテマトーデス

    精神神経系障害

    めまい、頭痛

    傾眠

    不眠症、知覚異常、しびれ、味覚異常

    血液及びリンパ系障害

    白血球数増加

    好酸球数増加、貧血

    心臓障害

    不整脈、動悸

    頻脈、心房細動

    血管障害

    低血圧

    起立性低血圧

    顔面潮紅、ほてり

    胃腸障害

    腹痛、腹部不快感、下痢、嘔気

    膵炎、嘔吐、便秘

    肝胆道系障害

    肝機能異常、γ-GTP増加、AST増加、ALT増加、血中ビリルビン増加

    LDH増加、ALP増加

    黄疸、胆汁うっ滞

    呼吸器障害

    咳嗽、咽頭炎

    呼吸困難、鼻閉

    腎及び尿路障害

    BUN増加、血中クレアチニン増加、蛋白尿、尿中血陽性

    代謝及び栄養障害

    高血糖、高尿酸血症

    低カリウム血症、血中コレステロール増加、血中トリグリセリド増加、尿糖陽性

    食欲不振、低マグネシウム血症、低クロール性アルカローシス、血中カルシウム増加、総蛋白減少、脱水

    その他

    CK増加

    疲労、けん怠感、胸痛、浮腫、関節痛、腰背部痛、筋痙縮

    筋肉痛、脱力感、口渇、唾液腺炎、インポテンス、高カルシウム血症を伴う副甲状腺障害、黄視症、視力異常(霧視等)、耳鳴、発熱

    12. 臨床検査結果に及ぼす影響

    甲状腺障害のない患者の血清PBIを低下させることがある。

    13. 過量投与

    1. 13.1 症状

      バルサルタンの過量投与により、著しい血圧低下が生じ、意識レベルの低下、循環虚脱に至るおそれがある。

    2. 13.2 処置

      著しい低血圧の場合には、患者を仰臥位にし、速やかに生理食塩液等の静脈注射など適切な処置を行うこと。なお、バルサルタンの血漿蛋白結合率は93~96%であり、血液透析によって除去できないが、ヒドロクロロチアジドは透析により除去することができる。

    14. 適用上の注意

    14.1 薬剤交付時の注意

    PTP包装の薬剤はPTPシートから取り出して服用するよう指導すること。PTPシートの誤飲により、硬い鋭角部が食道粘膜へ刺入し、更には穿孔をおこして縦隔洞炎等の重篤な合併症を併発することがある。

    15. その他の注意

    15.1 臨床使用に基づく情報

    海外で実施された疫学研究において、ヒドロクロロチアジドを投与された患者で、基底細胞癌及び有棘細胞癌のリスクが増加することが報告されている10),11)

    16. 薬物動態

    16.1 血中濃度

    1. 16.1.1 単回投与

      健康成人男子にバルサルタン/ヒドロクロロチアジドを単回経口投与したとき、速やかに吸収され、バルサルタン及びヒドロクロロチアジドは、それぞれ投与後約3及び1.5時間で最高濃度に到達し、消失半減期はそれぞれ約6及び9時間であった12)

      健康成人男子にバルサルタン/ヒドロクロロチアジドを単回経口投与したときのバルサルタン及びヒドロクロロチアジドの薬物動態パラメータ

      薬物動態
      パラメータ

      VAH80/6.25mg(n=50)

      VAH80/12.5mg(n=52)

      バルサルタン

      ヒドロクロロ
      チアジド

      バルサルタン

      ヒドロクロロ
      チアジド

      Cmax(ng/mL)

      3,483±1,660

      47±8

      3,582±1,181

      93±23

      Tmax(h)

      3.0(1.0~4.0)

      1.5(1.0~4.0)

      2.8(1.0~6.0)

      1.5(1.0~4.0)

      AUC0-inf
      (ng・h/mL)

      21,745±10,617

      325±56

      21,498±6,793

      638±106

      t1/2
      (h)

      5.7±1.0

      8.9±0.8

      6.3±3.3

      8.6±0.7

      VAH:バルサルタンとヒドロクロロチアジドの配合剤、
      Cmax、AUC0-inf、t1/2:平均値±標準偏差、Tmax:中央値(最小~最大)

    1. 16.1.2 生物学的同等性試験

      バルヒディオ配合錠 EX「ツルハラ」とコディオ配合錠EXを、クロスオーバー法によりそれぞれ1錠(バルサルタン80mg、ヒドロクロロチアジド12.5mg)を健康成人男子に絶食時単回経口投与してそれぞれの血漿中未変化体濃度を測定し、得られた薬物動態パラメータ(AUC、Cmax)について90%信頼区間法にて統計解析を行った結果、log(0.8)~log(1.25)の範囲内であり、両剤の生物学的同等性が確認された13)

      判定パラメータ

      参考パラメータ

      AUC0-24
      (μg・hr/mL)

      Cmax
      (μg/mL)

      Tmax
      (hr)

      t1/2
      (hr)

      バルヒディオ配合錠
      EX「ツルハラ」

      22.82±8.39

      3.78±1.46

      3.0±0.9

      5.9±1.0

      コディオ配合錠EX

      21.92±8.10

      3.71±1.50

      3.0±1.2

      6.7±2.2

      ( mean±S.D. n=20 )

      判定パラメータ

      参考パラメータ

      AUC0-24
      (ng・hr/mL)

      Cmax
      (ng/mL)

      Tmax
      (hr)

      t1/2
      (hr)

      バルヒディオ配合錠
      EX「ツルハラ」

      448.6±81.6

      73.3±17.6

      2.1±1.1

      7.7±3.5

      コディオ配合錠EX

      450.5±102.8

      71.2±14.1

      2.2±0.9

      7.2±4.2

      ( mean±S.D. n=20 )

      血漿中濃度並びに AUC、Cmax等のパラメータは、被験者の選択、体液の採取回数・時間等の試験条件によって異なる可能性がある。

    16.2 吸収

    1. 16.2.1 食事の影響

      健康成人男子にバルサルタン/ヒドロクロロチアジド80/12.5mgを単回経口投与したとき、空腹時投与に比べて食後投与でバルサルタンのCmax及びAUCはそれぞれ32%及び37%低下し、ヒドロクロロチアジドのCmax及びAUCはそれぞれ36%及び22%低下した14)

    16.3 分布

    バルサルタン及びヒドロクロロチアジドの血漿蛋白結合率はそれぞれ93~96%15)及び58%16)であった(外国人のデータ)。

    16.4 代謝

    健康成人男子に14Cバルサルタン80mgを空腹時単回経口投与8時間後の血漿中には、主として未変化体が存在し、その他に代謝物として4-ヒドロキシ体が認められ17)in vitroの試験において主としてCYP2C9の関与が示唆されている18)(外国人のデータ)。
    ヒドロクロロチアジドはほとんど代謝を受けず、大部分が未変化体のまま排泄される19)(外国人のデータ)。

    16.5 排泄

    健康成人男子にバルサルタン80mg及びヒドロクロロチアジド12.5mgを併用単回投与したとき、投与後24時間までにそれぞれ投与量の12.0%及び74.4%が未変化体として尿中に排泄された20)

    16.7 薬物相互作用

    健康成人男子にバルサルタン80mg及びヒドロクロロチアジド12.5mgを併用単回投与したときのバルサルタン及びヒドロクロロチアジドの薬物動態は各単剤投与後と差はなく、バルサルタンとヒドロクロロチアジドの間に薬物動態学的相互作用は認められなかった21)

    16.8 その他

    バルヒディオ 配合錠MD「ツルハラ」 は溶出挙動に基づき、バルヒディオ 配合錠EX「ツルハラ」 と生物学的に同等とみなされた22)

    17. 臨床成績

    17.1 有効性及び安全性に関する試験

    1. 17.1.1 国内第Ⅲ相試験

      軽症から中等症の本態性高血圧症を対象に国内で実施した二重盲検比較試験(要因試験)において、バルサルタン/ヒドロクロロチアジドの1日1回8週間経口投与における有効症例(試験終了時の拡張期血圧が90mmHg未満に低下又はベースラインと比較して10mmHg以上低下)の割合は、バルサルタン/ヒドロクロロチアジド80/6.25mgで70.3%、80/12.5mgで83.3%であり、バルサルタン80mg単独投与(54.4%)と比較し、優れた降圧効果が認められた。
      有効症例の割合及び試験終了時における収縮期血圧、拡張期血圧のベースラインからの変化量は次表のとおりである。

      有効症例の割合

      試験終了時における収縮期血圧/拡張期血圧のベースラインからの変化量注)

      VAH80/12.5mg

      83.3%(55/66)

      -21.95/-13.44mmHg

      VAH80/6.25mg

      70.3%(45/64)

      -17.95/-13.50mmHg

      V80mg

      54.4%(37/68)

      -12.97/-9.12mmHg

      H12.5mg

      53.0%(35/66)

      -11.18/-9.15mmHg

      H6.25mg

      32.8%(20/61)

      -9.64/-7.02mmHg

      プラセボ

      34.8%(23/66)

      -5.04/-5.56mmHg

      注)共分散分析モデルに基づいて求めた最小二乗平均値
      VAH:バルサルタンとヒドロクロロチアジドの配合剤、
      V:バルサルタン、H:ヒドロクロロチアジド

      副作用発現頻度は、バルサルタン/ヒドロクロロチアジド80/12.5mgで50.0%(33/66例)及びバルサルタン/ヒドロクロロチアジド80/6.25mgで46.9%(30/64例)であった。主な副作用は、バルサルタン/ヒドロクロロチアジド80/12.5mgでは高尿酸血症 12.1%(8/66例)及び血中尿酸増加 10.6%(7/66例)、バルサルタン/ヒドロクロロチアジド80/6.25mgでは血中尿酸増加 15.6%(10/64例)及び高尿酸血症 9.4%(6/64例)であった23)

    18. 薬効薬理

    18.1 作用機序

    本剤は、バルサルタン及びヒドロクロロチアジドの配合剤である。バルサルタンは、アンジオテンシンⅡ受容体のサブタイプであるAT1受容体に結合し、昇圧系として作用するアンジオテンシンⅡに対して拮抗することによって降圧効果をあらわす。ヒドロクロロチアジドはチアジド系利尿剤で、主として遠位尿細管でのNa及び水の再吸収を抑制し、尿排泄を増加させることにより循環血漿量の減少を引き起こし降圧効果を発揮する。ヒドロクロロチアジドのナトリウム利尿作用によりレニン・アンジオテンシン系が活性化され、バルサルタンの降圧効果が増強されると考えられている24),25),26)

    18.2 降圧作用

    高血圧自然発症ラットにおいてバルサルタンとヒドロクロロチアジドを併用投与したとき、それぞれの単独投与に比較して降圧効果の増強が認められた27)

    19. 有効成分に関する理化学的知見

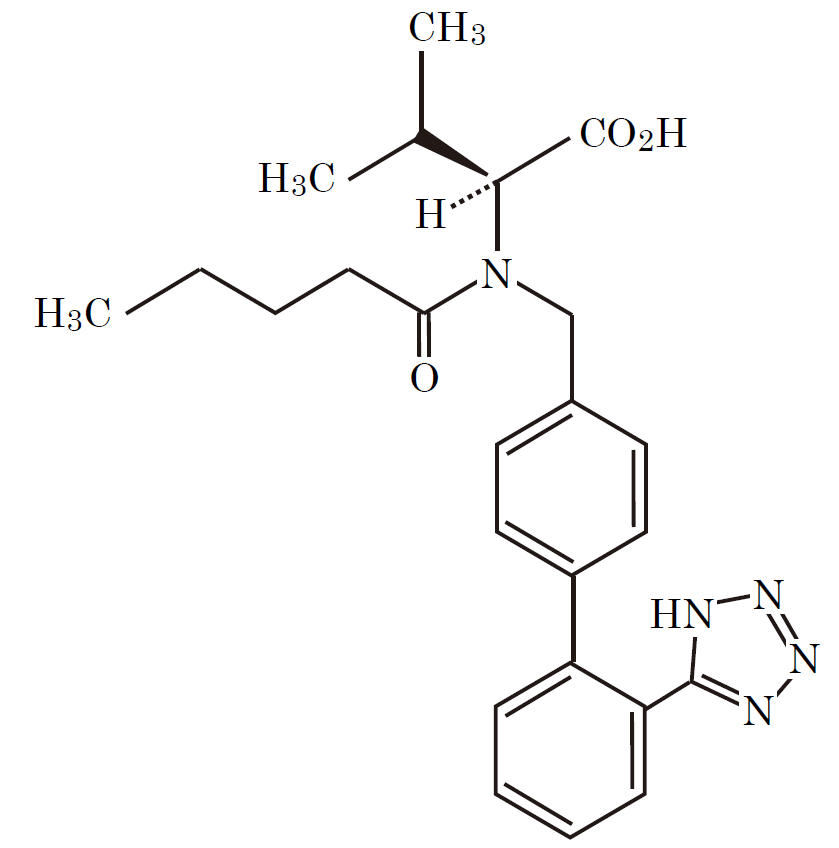
    19.1バルサルタン

    一般的名称

    バルサルタン(Valsartan)

    化学名

    (2S)-3-Methyl-2-(N-{[2'-(1H-tetrazol-5-yl)biphenyl-4-yl]methyl}pentanamido)butanoic acid

    分子式

    C24H29N5O3

    分子量

    435.52

    性状

    白色の粉末である。メタノール又はエタノール(99.5)に極めて溶けやすく、水にほとんど溶けない。

    化学構造式

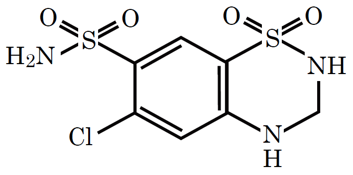
    19.2ヒドロクロロチアジド

    一般的名称

    ヒドロクロロチアジド(Hydrochlorothiazide)

    化学名

    6-Chloro-3,4-dihydro-2H-1,2,4-benzothiadiazine-7-sulfonamide 1,1-dioxide

    分子式

    C7H8ClN3O4S2

    分子量

    297.74

    性状

    白色の結晶又は結晶性の粉末で、においはなく、味はわずかに苦い。アセトンに溶けやすく、アセトニトリルにやや溶けにくく、水又はエタノール(95)に極めて溶けにくく、ジエチルエーテルにほとんど溶けない。水酸化ナトリウム試液に溶ける。

    化学構造式


    融点

    約267℃(分解)

    22. 包装

    • 〈バルヒディオ 配合錠MD「ツルハラ」〉

        PTP:100錠(10 錠×10)

    • 〈バルヒディオ 配合錠EX「ツルハラ」〉

        PTP:100錠(10 錠×10)

    23. 主要文献

    1) 阿部真也ほか:周産期医学.2017;47:1353-1355

    2) 齊藤大祐ほか:鹿児島産科婦人科学会雑誌.2021;29:49-54

    3) Sheps,S.G.et al.:Arch.Intern.Med.1997;157(21):2413-2446

    4) Briggs,G.G.et al.:Ann.Pharmacother.2001;35(7-8):859-861

    5) Cooper,W.O.et al.:N.Engl.J.Med.2006;354(23):2443-2451

    6) Rai A,et al.:Am J Respir Crit Care Med.2016;193:A1890

    7) Jansson PS,et al.: J Emerg Med. 2018;55:836-40

    8) Vadas P.: Am J Emerg Med.2020;38:1299.e1-2

    9) Kane SP,et al.: Perfusion.2018;33:320-2

    10) Pottegard,A,et al.: J.Intern.Med.2017;282(4):322-331

    11) Pedersen,S.A,et al.: J.Am.Acad.Dermatol.2018;78(4):673-681

    12) 配合剤投与時と単剤併用時の生物学的同等性の検討(コディオ;2009年1月21日承認、CTD2.7.1)

    13) 社内資料:生物学的同等性試験(配合錠EX)

    14) 薬物動態に対する食事の影響(コディオ;2009年1月21日承認、CTD2.7.1)

    15) Colussi,D.M.et al.:J.Clin.Pharmacol.1997;37(3):214-221

    16) Brunton,L.L.et al.:Goodman and Gilman’s,The Pharmacological Basis of Therapeutics,11th ed.2000;p1832

    17) Waldmeier,F.et al.:Xenobiotica.1997;27(1):59-71

    18) Nakashima,A.et al.:Xenobiotica.2005;35(6):589-602

    19) Beermann,B.et al.:Clin.Pharmacol.Ther.1976;19(5 Pt1):531-537

    20) バルサルタンとヒドロクロロチアジドの尿中排泄量及び排泄(コディオ;2009年1月21日承認、CTD2.7.6) 

    21) バルサルタンとヒドロクロロチアジドの薬物間相互作用の検討(コディオ;2009年1月21日承認、CTD2.7.2) 

    22) 社内資料:生物学的同等性試験(配合錠MD)

    23) 川名正敏:新薬と臨牀.2009:58(4);583-596

    24) 第十八改正日本薬局方解説書, 廣川書店, 2021;C-4116-4112

    25) 第十八改正日本薬局方解説書, 廣川書店, 2021;C-4338-4343

    26) 作用機序(コディオ;2009年1月21日承認、CTD1.5) 

    27) 高血圧自然発症ラットを用いたバルサルタンとヒドロクロロチアジドの併用投与による降圧効果(コディオ;2009年1月21日承認、CTD2.6.2)

    24. 文献請求先及び問い合わせ先

    鶴原製薬株式会社 医薬情報部

    〒563-0036 大阪府池田市豊島北1丁目16番1号

    TEL:072-761-1456(代表) FAX:072-760-5252

    26. 製造販売業者等

    26.1 製造販売

    鶴原製薬株式会社

    大阪府池田市豊島北1丁目16番1号

    〒100-0013 東京都千代田区霞が関3-3-2 新霞が関ビル

    画面を閉じる

    Copyright © Pharmaceuticals and Medical Devices Agency, All Rights reserved.