医療用医薬品 詳細表示

硝酸イソソルビド徐放錠20mg「ツルハラ」

処方せん医薬品

添付文書番号
企業コード
作成又は改訂年月
日本標準商品分類番号
薬効分類名
承認等
一般的名称
2.禁忌(次の患者には投与しないこと)
3.組成・性状
3.1組成
3.2製剤の性状
4.効能又は効果
5.効能又は効果に関連する注意
6.用法及び用量
8.重要な基本的注意
9.特定の背景を有する患者に関する注意
9.1合併症・既往歴等のある患者
9.3肝機能障害患者
9.5妊婦
9.6授乳婦
9.7小児等
9.8高齢者
10.相互作用
10.1併用禁忌(併用しないこと)
10.2併用注意(併用に注意すること)
11.副作用
11.2その他の副作用
14.適用上の注意
15.その他の注意
15.1臨床使用に基づく情報
16.薬物動態
16.1血中濃度
16.5排泄
18.薬効薬理
18.1作用機序
19.有効成分に関する理化学的知見
22.包装
23.主要文献
24.文献請求先及び問い合わせ先
26.製造販売業者等

硝酸イソソルビド徐放錠20mg「ツルハラ」

添付文書番号

2171011G1190_1_06

企業コード

460028

作成又は改訂年月

2024年3月改訂(第1版)

日本標準商品分類番号

872171

薬効分類名

虚血性心疾患治療剤〈持効錠〉

承認等

硝酸イソソルビド徐放錠20mg「ツルハラ」

販売名コード

YJコード

2171011G1190

販売名英語表記

Isosorbide Dinitrate SR Tablets 20mg 「TSURUHARA」

販売名ひらがな

しょうさんいそそるびどじょほうじょう20㎎つるはら

承認番号等

承認番号

22700AMX00029000

販売開始年月

1990年7月

貯法・有効期間

貯法

室温保存

有効期間

3年

一般的名称

硝酸イソソルビド徐放錠

2. 禁忌(次の患者には投与しないこと)

  1. 2.1 重篤な低血圧又は心原性ショックのある患者

    [血管拡張作用により更に血圧を低下させ、症状を悪化させるおそれがある。]

  2. 2.2 閉塞隅角緑内障の患者

    [眼圧を上昇させるおそれがある。]

  3. 2.3 頭部外傷又は脳出血のある患者

    [頭蓋内圧を上昇させるおそれがある。]

  4. 2.4 高度な貧血のある患者

    [血圧低下により貧血症状(めまい、立ちくらみ等)を悪化させるおそれがある。]

  5. 2.5 硝酸・亜硝酸エステル系薬剤に対し過敏症の既往歴のある患者
  6. 2.6 ホスホジエステラーゼ5阻害作用を有する薬剤(シルデナフィルクエン酸塩、バルデナフィル塩酸塩水和物、タダラフィル)又はグアニル酸シクラーゼ刺激作用を有する薬剤(リオシグアト)を投与中の患者

3. 組成・性状

3.1 組成

硝酸イソソルビド徐放錠20mg「ツルハラ」

有効成分1錠中 硝酸イソソルビド 20mg   
添加剤トウモロコシデンプン、乳糖水和物、結晶セルロース、硬化油、カルナウバロウ、メチルセルロース、エチルセルロース、タルク、ステアリン酸マグネシウム、軽質無水ケイ酸

3.2 製剤の性状

硝酸イソソルビド徐放錠20mg「ツルハラ」

剤形素錠(徐放錠)
色調白色に淡灰色ないし淡黄色の不定形のはん点を有する
外形表面
裏面
側面
大きさ直径約 7.5mm
厚さ約 3.5mm
質量約 165mg
識別コードTSU118
においわずかに特異なにおいを有する

4. 効能又は効果

狭心症、心筋梗塞(急性期を除く)、その他の虚血性心疾患

5. 効能又は効果に関連する注意

本剤は狭心症の発作寛解を目的とした治療には不適であるので、この目的のためには速効性の硝酸・亜硝酸エステル系薬剤を使用すること。

6. 用法及び用量

通常、成人に対し、1回1錠(硝酸イソソルビドとして20mg)を1日2回経口投与する。なお、年齢・症状により適宜増減する。本剤はかまずに服用すること。

8. 重要な基本的注意

  1. 8.1 本剤の投与に際しては、症状及び経過を十分に観察し、狭心症発作が増悪するなど効果が認められない場合には他の療法に切りかえること。
  2. 8.2 硝酸・亜硝酸エステル系薬剤を使用中の患者で、急に投与を中止したとき症状が悪化した症例が報告されているので、休薬を要する場合には他剤との併用下で徐々に投与量を減じること。

    また、患者に医師の指示なしに使用を中止しないよう注意すること。

  3. 8.3 過度の血圧低下が起こった場合には、本剤の投与を中止し、下肢の挙上あるいは昇圧剤の投与等、適切な処置を行うこと。
  4. 8.4 起立性低血圧を起こすことがあるので注意すること。
  5. 8.5 本剤の投与開始時には、他の硝酸・亜硝酸エステル系薬剤と同様に血管拡張作用による頭痛等の副作用を起こすことがある。このような場合には鎮痛剤を投与するか、減量又は投与中止するなど適切な処置を行うこと。

    また、これらの副作用のために注意力、集中力、反射運動能力等の低下が起こることがあるので、このような場合には、自動車の運転等の危険を伴う機械の操作に従事させないよう注意すること。

9. 特定の背景を有する患者に関する注意

9.1 合併症・既往歴等のある患者

  1. 9.1.1 低血圧の患者(重篤な低血圧のある患者を除く)

    血管拡張作用により更に血圧を低下させるおそれがある。

  2. 9.1.2 原発性肺高血圧症の患者

    心拍出量が低下しショックを起こすおそれがある。

  3. 9.1.3 肥大型閉塞性心筋症の患者

    心室内圧較差の増強をもたらし、症状を悪化させるおそれがある。

9.3 肝機能障害患者

減量するなどして使用すること。高い血中濃度が持続するおそれがある。

9.5 妊婦

妊婦又は妊娠している可能性のある女性には、治療上の有益性が危険性を上回ると判断される場合にのみ投与すること。

9.6 授乳婦

治療上の有益性及び母乳栄養の有益性を考慮し、授乳の継続又は中止を検討すること。動物実験(ラット)で乳汁中へ移行することが報告されている。

9.7 小児等

小児等を対象とした臨床試験は実施していない。

9.8 高齢者

高い血中濃度が持続するおそれがある。本剤は、主として肝臓で代謝されるが、一般に肝機能が低下していることが多い。

10. 相互作用

    10.1 併用禁忌(併用しないこと)

    薬剤名等臨床症状・措置方法機序・危険因子

    ホスホジエステラーゼ5阻害作用を有する薬剤

    • シルデナフィルクエン酸塩
    • (バイアグラ、レバチオ)
    • バルデナフィル塩酸塩水和物
    • (レビトラ)
    • タダラフィル
    • (シアリス、アドシルカ、ザルティア)

    併用により、降圧作用を増強することがある。

    本剤投与前にこれらの薬剤を服用していないことを十分確認すること。また、本剤投与中及び投与後においてこれらの薬剤を服用しないよう十分注意すること。

    本剤はcGMPの産生を促進し、一方、ホスホジエステラーゼ5阻害作用を有する薬剤はcGMPの分解を抑制することから、両剤の併用によりcGMPの増大を介する本剤の降圧作用が増強する。

    グアニル酸シクラーゼ刺激作用を有する薬剤

    • リオシグアト
    • (アデムパス)

    併用により、降圧作用を増強することがある。

    本剤投与前にこれらの薬剤を服用していないことを十分確認すること。また、本剤投与中及び投与後においてこれらの薬剤を服用しないよう十分注意すること。

    本剤とグアニル酸シクラーゼ刺激作用を有する薬剤は、ともにcGMPの産生を促進することから、両剤の併用によりcGMPの増大を介する本剤の降圧作用が増強する。

    10.2 併用注意(併用に注意すること)

    下記の薬剤等との相互作用により、過度の血圧低下が起こった場合には、減量又は投与を中止し、下肢の挙上あるいは昇圧剤の投与等、適切な処置を行うこと。

    薬剤名等臨床症状・措置方法機序・危険因子

    アルコール摂取

    血圧低下等が増強されるおそれがある。

    血管拡張作用が増強される。

    利尿剤

    血圧低下等が増強されるおそれがある。

    血圧低下作用を増強させる。

    血管拡張剤

    硝酸・亜硝酸エステル系薬剤

    頭痛、血圧低下等の副作用が増強されるおそれがある。

    血管拡張作用が増強される。

    11. 副作用

    次の副作用があらわれることがあるので、観察を十分に行い、異常が認められた場合には投与を中止するなど適切な処置を行うこと。

    11.2 その他の副作用

    0.1~5%未満1)

    0.1%未満1)

    頻度不明

    循環器

    めまい・ふらつき、熱感、潮紅、動悸

    血圧低下、浮腫

    精神神経系

    頭痛、頭重

    耳鳴、全身倦怠感

    脱力感、不快感

    過敏症

    発疹

    消化器

    悪心・嘔吐、胃部不快感、上腹部痛

    食欲不振

    肝臓

    AST、ALTの上昇等

    1) 発現頻度は使用成績調査を含む。

    14. 適用上の注意

    14.1 薬剤交付時の注意

    PTP包装の薬剤はPTPシートから取り出して服用するよう指導すること。PTPシートの誤飲により、硬い鋭角部が食道粘膜へ刺入し、更には穿孔をおこして縦隔洞炎等の重篤な合併症を併発することがある。

    14.2 薬剤服用時の注意

    本剤をかみくだいて服用すると、一過性の血中濃度の上昇に伴って頭痛が発生しやすくなるので、本剤はかまずに服用すること。

    15. その他の注意

    15.1 臨床使用に基づく情報

    1. 15.1.1 本剤使用中に本剤又は他の硝酸・亜硝酸エステル系薬剤に対し、耐薬性を生じ、作用が減弱することがある。
      なお、類似化合物(ニトログリセリン)の経皮吸収型製剤での労作狭心症に対するコントロールされた外国の臨床試験成績によると、休薬時間を置くことにより、耐薬性が軽減できたとの報告がある1)
    2. 15.1.2 硝酸イソソルビド製剤の投与によって、メトヘモグロビン血症があらわれたとの報告がある。

    16. 薬物動態

    16.1 血中濃度

    1. 16.1.1 単回投与

      健康成人男子(6例)に硝酸イソソルビド徐放錠1錠(硝酸イソソルビドとして20mg)を経口投与したとき、血漿中硝酸イソソルビド濃度は投与後3時間でピーク(3.2±1.5ng/mL)に達し、以後漸次減少するが、投与12時間後においても日本薬局方・硝酸イソソルビド錠(5mg)経口投与2時間後の血漿中濃度に相当する値(0.9±0.1ng/mL)を示した2)

    2. 16.1.2 生物学的同等性

      硝酸イソソルビド徐放錠 20mg「ツルハラ」とフランドル錠20㎎を、クロスオーバー法によりそれぞれ 1 錠(硝酸イソソルビド 20mg)を健康成人男子に絶食時単回経口投与して血漿中未変化体濃度を測定し、得られた薬物動態パラメータ(AUC、Cmax)について 90%信頼区間法にて統計解析を行った結果、log(0.8)~log(1.25)の範囲内であり、両剤の生物学的同等性が確認された3)

      判定パラメータ

      参考パラメータ

      AUC0-24
      (ng・hr/mL)

      Cmax
      (ng/mL)

      Tmax
      (hr)

      t1/2
      (hr)

      硝酸イソソルビド徐放錠20mg「ツルハラ」

      35.2±1.7

      4.3±0.3

      3.4±0.2

      4.0±0.4

      フランドル錠20㎎

      34.6±2.2

      4.2±0.2

      3.2±0.2

      5.6±1.7

      (Mean±S.E.、n=12)
      血漿中濃度並びにAUC、Cmax等のパラメータは、被験者の選択、体液の採取回数・時間等の試験条件によって異なる可能性がある。

    16.5 排泄

    健康成人男子(4例)に硝酸イソソルビド徐放錠20mgを経口投与したとき、未変化体の硝酸イソソルビドは尿中にわずかに認められたにすぎず、代謝物であるisosorbide-5-mononitrate及びisosorbide-2-mononitrateが投与後72時間までの尿に投与量の約10%排泄され、その大部分はグルクロン酸抱合体であった2)

    18. 薬効薬理

    18.1 作用機序

    硝酸イソソルビドは主に末梢の容量血管を拡張して前負荷を減少させるとともに、冠動脈に対しては拡張作用と攣縮解除作用を有し、心筋酸素需給のアンバランスを改善することにより心機能の改善をもたらす4)

    18.2 運動耐容能の増加作用

    硝酸イソソルビド徐放錠は労作狭心症患者の運動負荷試験において、投与7時間後にも投与前に比較して有意な運動耐容能の増加を示した。また、これは血漿中硝酸イソソルビド濃度の推移とよく対応した5)

    18.3 脈圧に及ぼす作用

    硝酸イソソルビド徐放錠の脈圧減少作用は、日本薬局方・硝酸イソソルビド錠に比較して持続性であり、投与10時間後においても有意な作用を示した(無麻酔イヌ)6)

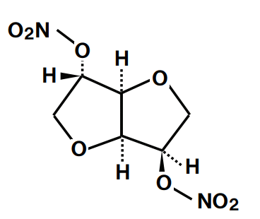
    19. 有効成分に関する理化学的知見

    一般的名称

    硝酸イソソルビド(Isosorbide Dinitrate)

    化学名

    1,4:3,6-Dianhydro-D-glucitol dinitrate

    分子式

    C6H8N2O8

    分子量

    236.14

    性状

    本品は白色の結晶又は結晶性の粉末で、においはないか、又は僅かに硝酸ようのにおいがある。
    本品はN,N-ジメチルホルムアミド又はアセトンに極めて溶けやすく、クロロホルム又はトルエンに溶けやすく、メタノール、エタノール(95)又はジエチルエーテルにやや溶けやすく、水にほとんど溶けない。本品は急速に熱するか又は衝撃を与えると爆発する。

    化学構造式

    22. 包装

    PTP:100錠(10錠×10)、1,000錠(10錠×100、乾燥剤入り)

    24. 文献請求先及び問い合わせ先

    鶴原製薬株式会社 医薬情報部

    〒563-0036 大阪府池田市豊島北1丁目16番1号

    TEL:072-761-1456(代表) FAX:072-760-5252

    26. 製造販売業者等

    26.1 製造販売元

    鶴原製薬株式会社

    大阪府池田市豊島北1丁目16番1号

    〒100-0013 東京都千代田区霞が関3-3-2 新霞が関ビル

    画面を閉じる

    Copyright © Pharmaceuticals and Medical Devices Agency, All Rights reserved.