医療用医薬品 詳細表示

テプレノンカプセル50mg「ツルハラ」/テプレノン細粒10%「ツルハラ」

添付文書番号

2329012C1360_1_03

企業コード

460028

作成又は改訂年月

2023年12月改訂(第1版)

日本標準商品分類番号

872329

薬効分類名

胃炎・胃潰瘍治療剤

承認等

テプレノンカプセル50mg「ツルハラ」

販売名コード

YJコード

2329012M1382

販売名英語表記

Teprenone Capsules50mg「TSURUHARA」

販売名ひらがな

てぷれのんかぷせる50みりぐらむつるはら

承認番号等

承認番号

30100AMX00403000

販売開始年月

1998年7月

貯法・有効期間

貯法

室温保存

有効期間

3年

基準名

日本薬局方

テプレノンカプセル

テプレノン細粒10%「ツルハラ」

販売名コード

YJコード

2329012C1360

販売名英語表記

Teprenone Fine Granules10%「TSURUHARA」

販売名ひらがな

てぷれのんさいりゅう10ぱーせんとつるはら

承認番号等

承認番号

30200AMX00003000

販売開始年月

1998年7月

貯法・有効期間

貯法

室温保存

有効期間

3年

一般的名称

テプレノン製剤

3. 組成・性状

3.1 組成

テプレノンカプセル50mg「ツルハラ」

有効成分1カプセル中
テプレノン 50mg  
添加剤含水二酸化ケイ素、結晶セルロース、トコフェロール、ヒドロキシプロピルセルロース、カルメロースカルシウム、トウモロコシデンプン、タルク
カプセル本体中:黄色5号、青色1号、ラウリル硫酸ナトリウム、酸化チタン、ゼラチン

テプレノン細粒10%「ツルハラ」

有効成分1g中
テプレノン 100mg  
添加剤トコフェロール、乳糖水和物、軽質無水ケイ酸、ヒドロキシプロピルセルロース

3.2 製剤の性状

テプレノンカプセル50mg「ツルハラ」

剤形4 号硬カプセル剤
色調カプセル
頭部:灰青緑色不透明
胴部:橙色不透明
内容物
白色~帯黄白色の粉末
質量約 140mg

テプレノン細粒10%「ツルハラ」

剤形細粒
色調白色~帯黄白色

4. 効能又は効果

  • 〇下記疾患の胃粘膜病変(びらん、出血、発赤、浮腫)の改善

    急性胃炎、慢性胃炎の急性増悪期

  • 〇胃潰瘍

6. 用法及び用量

  • テプレノンカプセル50mg「ツルハラ」

    通常成人、3カプセル(テプレノンとして150mg)を1日3回に分けて食後に経口投与する。なお、年齢、症状により適宜増減する。

  • テプレノン細粒10%「ツルハラ」

    通常成人、細粒1.5g(テプレノンとして150mg)を1日3回に分けて食後に経口投与する。なお、年齢、症状により適宜増減する。

9. 特定の背景を有する患者に関する注意

9.5 妊婦

妊婦又は妊娠している可能性のある女性には、治療上の有益性が危険性を上回ると判断される場合にのみ投与すること。妊娠中の投与を対象とした有効性及び安全性を指標とした臨床試験は実施していない。

9.6 授乳婦

治療上の有益性及び母乳栄養の有益性を考慮し、授乳の継続又は中止を検討すること。

9.7 小児等

小児等を対象とした臨床試験は実施していない。

9.8 高齢者

一般に、生理機能が低下していることが多い。

11. 副作用

次の副作用があらわれることがあるので、観察を十分に行い、異常が認められた場合には、投与を中止するなど適切な処置を行うこと。

11.1 重大な副作用

  1. 11.1.1 肝機能障害、黄疸(いずれも頻度不明)

    AST、ALT、γ-GTP、Al-Pの上昇等を伴う肝機能障害、黄疸があらわれることがある。

11.2 その他の副作用

0.1~5%未満

0.1%未満

頻度不明

消化器

便秘、下痢、嘔気、口渇、腹痛、腹部膨満感

肝臓

AST、ALTの上昇

精神神経系

頭痛

過敏症

発疹、瘙痒感

その他

総コレステロールの上昇、眼瞼の発赤・熱感

血小板減少

注)発現頻度は製造販売後調査を含む。

14. 適用上の注意

14.1 薬剤調製時の注意

細粒剤は、合成ケイ酸アルミニウムとの配合により、次第に黄変し、含量が低下するので配合しないこと。

14.2 薬剤交付時の注意

PTP包装の薬剤はPTPシートから取り出して服用するよう指導すること。PTPシートの誤飲により、硬い鋭角部が食道粘膜へ刺入し、更には穿孔をおこして縦隔洞炎等の重篤な合併症を併発することがある。

16. 薬物動態

16.1 血中濃度

  1. 16.1.1 生物学的同等性試験

    〈テプレノンカプセル50mg「ツルハラ」〉

    テプレノンカプセル50mg「ツルハラ」とセルベックスカプセル50mgをクロスオーバー法により、テプレノンとして 150mg注)(3 カプセル)を健康成人男子に食後単回経口投与して血清中未変化体濃度を測定し、得られた薬物動態パラメータ(AUC、Cmax)について 90%信頼区間法にて統計解析を行った結果、log(0.8)~log(1.25)の範囲内であり、両剤の生物学的同等性が確認された1)
    注)1回 150mg投与は承認外用量

    判定パラメータ

    参考パラメータ

    AUC0-10
    (ng・hr/mL)

    Cmax
    (ng/mL)

    Tmax
    (hr)

    t1/2
    (hr)

    テプレノンカプセル50mg「ツルハラ」

    3496±101

    1023±23

    4.3±0.1

    1.1±0.1

    セルベックスカプセル50mg

    3501±147

    1008±16

    4.3±0.1

    1.0±0.1

    (Mean±S.E.、n=12)

    〈テプレノン細粒10%「ツルハラ」〉

    テプレノン細粒10%「ツルハラ」とセルベックス細粒10%をクロスオーバー法により、テプレノンとして 150mg注)(1.5g)を健康成人男子に食後単回経口投与して血清中未変化体濃度を測定し、得られた薬物動態パラメータ(AUC、Cmax)について 90%信頼区間法にて統計解析を行った結果、log(0.8)~log(1.25)の範囲内であり、両剤の生物学的同等性が確認された2)
    注)1回 150mg投与は承認外用量

    判定パラメータ

    参考パラメータ

    AUC0-10
    (ng・hr/mL)

    Cmax
    (ng/mL)

    Tmax
    (hr)

    t1/2
    (hr)

    テプレノン細粒10%「ツルハラ」

    3618±87

    1013±24

    4.3±0.1

    1.0±0.1

    セルベックス細粒10%

    3509±64

    1038±20

    4.3±0.1

    1.0±0.1

    (Mean±S.E.、n=12)

血漿中濃度並びに AUC、Cmax 等のパラメータは、被験者の選択、体液の採取回数・時間等の試験条件によって異なる可能性がある。

16.2 吸収

  1. 16.2.1 食事の影響

    健康成人男子(18名)にテプレノン3カプセル(テプレノンとして150mg注))をクロスオーバー法で食後30分、1時間及び3時間に経口投与し、血漿中濃度を測定し、下表に示した。
    血漿中濃度曲線下面積(AUC)は食後30分投与を100%とすると、食後1時間投与では変化なく、食後3時間投与では約23%低下した3)

    テプレノンの薬物動態パラメータ

    AUC0-24
    (μg・hr/mL)

    Cmax
    (μg/mL)

    tmax
    (hr)

    食後30分

    4.768±1.368

    2.087±1.041

    5.4±0.5

    食後1時間

    4.858±1.434

    2.274±0.930

    5.1±0.6

    食後3時間

    3.671±1.296

    1.562±0.852

    4.3±0.9

    (Mean±S.D., n=18)
    注)150mg単回経口投与は承認外用量である。

18. 薬効薬理

18.1 作用機序

テプレノンは細胞レベルで糖蛋白質代謝を改善し、粘膜の防御機構として胃粘液(糖蛋白質)合成・分泌を正常化し、粘膜の血流を改善することにより、攻撃因子から胃粘膜を防御しているものと考えられている。

18.2 抗潰瘍作用

ラットを用いた各種実験潰瘍(寒冷拘束ストレス、インドメタシン、アスピリン、プレドニゾロン、レセルピン、酢酸、焼灼、アスピリン-寒冷拘束ストレス)、各種実験胃粘膜病変(塩酸、アスピリン、エタノール、放射線)で、それぞれに強い抗潰瘍作用、胃粘膜病変改善作用が確認されている4),5),6),7)
更に、ラットを用いた実験で、活性酸素が関与していると考えられるcompound48/80、血小板活性化因子(PAF)による胃粘膜障害を抑制することも確認されている8),9)

18.3 胃粘液増加作用

・ ラット由来の培養胃粘膜上皮細胞において粘液の合成・分泌を促進する10)
・ ラットにおいて粘液を分泌する表層粘液細胞、頸細胞に分布し、これら由来の粘液量を増加させる11),12)
・ ラットにおいて胃粘膜の再生・防御の主要因子である高分子糖蛋白、モルモットにおいてリン脂質の生合成酵素活性を高め、ラット及びヒトにおいてこれらの合成・分泌を促進する13),14),15),16)。更に胃粘液中へ重炭酸塩の分泌を高めることもラット、ウサギで確認されている17)

18.4 熱ショック蛋白(HSP)誘導による細胞保護作用

モルモットにおいて、胃粘膜細胞内のHSP60、70、90を誘導し、細胞保護作用を示すことが確認されている18)

18.5 胃粘膜プロスタグランジン増加作用

ラットにおいて胃粘膜プロスタグランジンE2,I2含量を増加させる。その機序としてはプロスタグランジン生合成酵素活性を高めることがラットで確認されている19)

18.6 胃粘膜血流増加並びに改善作用

ラットにおいて胃粘膜血流を増加させ、水浸拘束ストレスによる胃粘膜血流の低下を改善する20)

18.7 胃粘膜保護作用

ラットにおいてエタノールによる胃粘膜障害を抑制する21)
健康成人男子においてエタノール負荷による胃粘膜障害を抑制する22)

18.8 胃粘膜増殖帯細胞の恒常性維持作用

マウスにおいてハイドロコーチゾンによる胃粘膜増殖帯細胞の増殖能の低下を改善し、胃粘膜細胞増殖帯の恒常性を保つ23)
ラット酢酸潰瘍において胃粘膜新生能を賦活して欠損胃粘膜の修復を促進する24)

18.9 脂質過酸化抑制作用

ラットにおいて熱傷ストレス負荷による胃粘膜障害を抑制すると同時に胃粘膜中の過酸化脂質の増加を抑制する25)

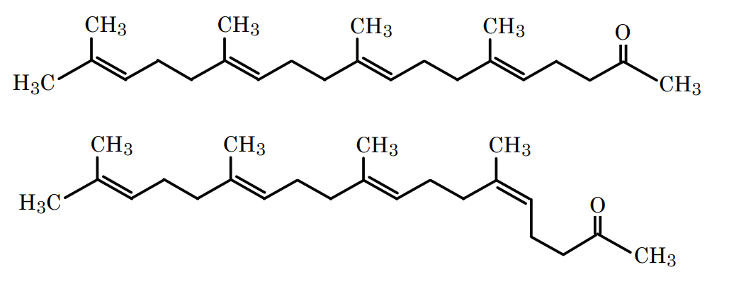
19. 有効成分に関する理化学的知見

一般的名称

テプレノン(Teprenone)

化学名

(5E, 9E, 13E ) -6,10,14,18-Tetramethylnonadeca-5,9,13,17-tetraen-2-one
(5Z, 9E, 13E ) -6,10,14,18-Tetramethylnonadeca-5,9,13,17-tetraen-2-one
本品はモノシス体及びオールトランス体からなり、その比は約 2:3 である。

分子式

C23H38O

分子量

330.55

性状

テプレノンは無色~微黄色澄明の油状の液で、わずかに特異なにおいがある。
本品はエタノール(99.5)、酢酸エチル又はヘキサンと混和する。
本品は水にほとんど溶けない。
本品は空気によって酸化され、徐々に黄色となる。

化学構造式

22. 包装

  • 〈テプレノンカプセル50mg「ツルハラ」〉

    PTP:100カプセル(10CAP×10)、1,200カプセル(10CAP×120、乾燥剤入り)

  • 〈テプレノン細粒10%「ツルハラ」〉

    バラ:100g、1,000g
    分包:0.5g×1,500包(乾燥剤入り)

23. 主要文献

1) 社内資料:生物学的同等性試験(カプセル50mg)

2) 社内資料:生物学的同等性試験(細粒10%)

3) 長谷川二郎ら:消化器科,1987;7(6):740-752

4) Murakami M. et al.:Arzneim. Forsch.,1981;31-1(5):799-804

5) Murakami M. et al.:Jpn. J. Pharmacol.,1982;32(5):921-924

6) 村上 学ら:消化器科,1987;7(6):613-616

7) 渡辺敦光ら:消化器科,1987;7(6):623-630

8) 小林 隆ら:Ulcer Research,1994;21(1):66-69

9) 佐藤泰男ら:Prog. Med.,1992;12(3):583-586

10) Terano A. et al.:Digestion,1986;33(4):206-210

11) 中村正彦ら:Prog. Med.,1990;10(3):561-568

12) 滝内比呂也ら:臨牀と研究,1993;70(11):3666-3670

13) 内田秀一ら:医学のあゆみ,1987;143(7):605-606

14) 西崎 朗ら:日本消化器病学会雑誌,1990;87(10):2352-2357

15) Oketani K. et al.:Jpn. J. Pharmacol.,1983;33(3):593-601

16) 青野 充ら:日本消化器病学会雑誌,1984;81(S.):2389

17) Pappas T. N. et al.:Gastroenterology,1986;90(5):1578

18) Hirakawa T. et al.:Gastroenterology,1996;111(2):345-357

19) 松田泰行ら:基礎と臨床,1989;23(17):6823-6827

20) 中村紀夫ら:臨牀と研究,1984;61(5):1533-1541

21) Terano A. et al.:Digestion,1986;35(3):182-188

22) Arakawa T. et al.:Digestion,1988;39(2):111-117

23) 村上 学ら:日本薬理学雑誌,1982;79(6):591-597

24) Kohli Y. et al.:京都府立医科大学雑誌,1991;100(6):637-644

25) 竹村俊樹ら:臨床薬理,1989;20(1):97-98

24. 文献請求先及び問い合わせ先

鶴原製薬株式会社 医薬情報部

〒563-0036 大阪府池田市豊島北1丁目16番1号

TEL:072-761-1456(代表) FAX:072-760-5252

26. 製造販売業者等

26.1 製造販売元

鶴原製薬株式会社

大阪府池田市豊島北1丁目16番1号

〒100-0013 東京都千代田区霞が関3-3-2 新霞が関ビル

画面を閉じる

Copyright © Pharmaceuticals and Medical Devices Agency, All Rights reserved.