医療用医薬品 詳細表示

シアノコバラミン注射液1mg「ツルハラ」

添付文書番号

3136402A3173_1_05

企業コード

460028

作成又は改訂年月

2023年10月改訂(第1版)

日本標準商品分類番号

873136

薬効分類名

ビタミンB12製剤

承認等

シアノコバラミン注射液1mg「ツルハラ」

販売名コード

YJコード

3136402A3173

販売名英語表記

Cyanocobalamin Injection 1mg「TSURUHARA」

販売名ひらがな

しあのこばらみんちゅうしゃえき1mgつるはら

承認番号等

承認番号

21900AMX01000000

販売開始年月

1981年6月

貯法・有効期間

貯法

室温保存

有効期間

5年

基準名

日本薬局方

シアノコバラミン注射液

一般的名称

日本薬局方 シアノコバラミン注射液

2. 禁忌(次の患者には投与しないこと)

本剤の成分に対し過敏症の既往歴のある患者

3. 組成・性状

3.1 組成

シアノコバラミン注射液1mg「ツルハラ」

有効成分1管(1mL)中
シアノコバラミン 1mg  
添加剤ベンジルアルコール0.005mL、塩化ナトリウム、クエン酸水和物、リン酸水素ナトリウム水和物

3.2 製剤の性状

シアノコバラミン注射液1mg「ツルハラ」

剤形水性注射液
色調淡赤色~赤色澄明
pH4.0~5.5
浸透圧比1.0~1.3
(生理食塩液の浸透圧を1とする)

4. 効能又は効果

  • 1)ビタミンB12欠乏症の予防及び治療

  • 2)ビタミンB12の需要が増大し、食事からの摂取が不十分な際の補給

    (消耗性疾患、甲状腺機能亢進症、妊産婦、授乳婦など)

  • 3)巨赤芽球性貧血

  • 4)広節裂頭条虫症

  • 5)悪性貧血に伴う神経障害

  • 6)吸収不全症候群

    (スプルーなど)

  • 7)下記疾患のうち、ビタミンB12の欠乏または代謝障害が関与すると推定される場合

    • (1)栄養性および妊娠性貧血

    • (2)胃切除後の貧血

    • (3)肝障害に伴う貧血

    • (4)放射線による白血球減少症

    • (5)神経痛

    • (6)末梢神経炎、末梢神経麻痺

  • 7)の適応(効能・効果)に対して、効果がないのに月余にわたって漫然と使用すべきでない。

6. 用法及び用量

シアノコバラミンとして、通常、成人1回1000μgまでを皮下、筋肉内または静脈内注射する。
なお、年齢、症状により適宜増減する。

9. 特定の背景を有する患者に関する注意

9.7 小児等

  1. 9.7.1 小児等を対象とした臨床試験は実施していない。
  1. 9.7.2 低出生体重児、新生児に使用する場合には十分注意すること。
    外国において、ベンジルアルコールの静脈内大量投与(99~234mg/kg)により、中毒症状(あえぎ呼吸、アシドーシス、痙攣等)が低出生体重児に発現したとの報告がある。本剤は添加剤としてベンジルアルコールを含有している。

11. 副作用

次の副作用があらわれることがあるので、観察を十分に行い、異常が認められた場合には投与を中止するなど適切な処置を行うこと。

11.1 重大な副作用

  1. 11.1.1 アナフィラキシー(頻度不明)

11.2 その他の副作用

頻度不明

過敏症

発疹、そう痒感

14. 適用上の注意

14.1 薬剤投与時の注意

  1. 14.1.1 静脈内注射時

    できるだけ緩徐に投与することが望ましい。

  1. 14.1.2 筋肉内注射時

    組織・神経などへの影響を避けるため、以下の点に注意すること。

    • 筋肉内注射はやむを得ない場合にのみ、必要最小限に行うこと。同一部位への反復注射は行わないこと。
      特に低出生体重児、新生児、乳児、幼児、小児には注意すること。
    • 神経走行部位を避けるよう注意すること。
    • 注射針を刺入したとき、激痛を訴えたり、血液の逆流をみた場合は、直ちに針を抜き、部位を変えて注射すること。
    • 注射部位に疼痛、硬結をみることがある。

18. 薬効薬理

18.1 作用機序

ビタミンB12である。多くの代謝系に関与し、正常な発育、造血、神経組織のミエリン鞘形成等に重要な役割を果たしている。DNA合成過程で必要な葉酸を活性化することにより、間接的にDNA合成に関与するほか、メチルマロニルCoAからサクシニルCoAへの転換反応に関与することによって造血機能を促進する。また、還元型SH基の保護、メチオニン合成時の役割を介して蛋白合成にも影響を及ぼし、髄鞘の形成促進作用、グリア細胞での核酸・蛋白代謝を改善する1)

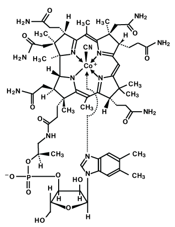
19. 有効成分に関する理化学的知見

一般的名称

シアノコバラミン(Cyanocobalamin)

化学名

Coα-[α-(5,6-Dimethyl-1H -benzimidazol-1-yl)]-Coβ-cyanocobamide

分子式

C63H88CoN14O14P

分子量

1355.37

性状

本品は暗赤色の結晶又は粉末である。本品は水にやや溶けにくく、エタノール(99.5)に溶けにくい。本品は吸湿性である。

化学構造式

pH

本品0.10gを新たに煮沸して冷却した水20mLに溶かした液のpHは4.2~7.0である。

20. 取扱い上の注意

外箱開封後は遮光して保存すること。

22. 包装

1mL×200管

24. 文献請求先及び問い合わせ先

鶴原製薬株式会社 医薬情報部

〒563-0036 大阪府池田市豊島北1丁目16番1号

TEL:072-761-1456(代表) FAX:072-760-5252

26. 製造販売業者等

26.1 製造販売元

鶴原製薬株式会社

大阪府池田市豊島北1丁目16番1号

〒100-0013 東京都千代田区霞が関3-3-2 新霞が関ビル

画面を閉じる

Copyright © Pharmaceuticals and Medical Devices Agency, All Rights reserved.