医療用医薬品 詳細表示

ファモター配合錠A81

処方せん医薬品以外の医薬品

添付文書番号
企業コード
作成又は改訂年月
日本標準商品分類番号
薬効分類名
承認等
一般的名称
2.禁忌(次の患者には投与しないこと)
3.組成・性状
3.1組成
3.2製剤の性状
4.効能又は効果
6.用法及び用量
7.用法及び用量に関連する注意
8.重要な基本的注意
9.特定の背景を有する患者に関する注意
9.1合併症・既往歴等のある患者
9.2腎機能障害患者
9.3肝機能障害患者
9.5妊婦
9.6授乳婦
9.7小児等
9.8高齢者
10.相互作用
10.2併用注意(併用に注意すること)
11.副作用
11.1重大な副作用
11.2その他の副作用
13.過量投与
14.適用上の注意
15.その他の注意
15.1臨床使用に基づく情報
15.2非臨床試験に基づく情報
16.薬物動態
16.1血中濃度
17.臨床成績
17.1有効性及び安全性に関する試験
18.薬効薬理
18.1作用機序
18.2作用持続時間
18.3血小板凝集抑制作用
18.4川崎病
19.有効成分に関する理化学的知見
20.取扱い上の注意
22.包装
23.主要文献
24.文献請求先及び問い合わせ先
26.製造販売業者等

ファモター配合錠A81

添付文書番号

3399100F1124_1_08

企業コード

460028

作成又は改訂年月

2024年3月改訂(第1版)

日本標準商品分類番号

873399

薬効分類名

抗血小板剤

承認等

ファモター配合錠A81

販売名コード

YJコード

3399100F1124

販売名英語表記

FAMOTER Combination TabletsA81

販売名ひらがな

ふぁもたーはいごうじょうA81

承認番号等

承認番号

22100AMX00819000

販売開始年月

2000年11月

貯法・有効期間

貯法

室温保存

有効期間

3年

一般的名称

制酸緩衝アスピリン錠剤

2. 禁忌(次の患者には投与しないこと)

  1. 2.1 本剤及び本剤の成分又はサリチル酸系製剤に対し過敏症の既往歴のある患者
  2. 2.2 消化性潰瘍のある患者[胃出血の発現又は消化性潰瘍が悪化するおそれがある。],
  3. 2.3 出血傾向のある患者[出血を増強するおそれがある。],
  4. 2.4 アスピリン喘息(非ステロイド性消炎鎮痛剤等による喘息発作の誘発)又はその既往歴のある患者[重篤なアスピリン喘息発作を誘発させることがある。],
  5. 2.5 出産予定日12週以内の妊婦
  6. 2.6 低出生体重児、新生児又は乳児

3. 組成・性状

3.1 組成

ファモター配合錠A81

有効成分1錠中
アスピリン81mg
ジヒドロキシアルミニウムアミノアセテート11mg
炭酸マグネシウム22mg  
添加剤サッカリン、サッカリンナトリウム水和物、黄色5号、香料、トウモロコシデンプン、カルメロース、無水クエン酸、タルク、D-マンニトール、アラビアゴム末

3.2 製剤の性状

ファモター配合錠A81

剤形素錠(二層錠)
色調淡橙色
大きさ直径約8.0mm
厚さ約3.6mm
質量約190㎎
オレンジの香味

4. 効能又は効果

  • 下記疾患における血栓・塞栓形成の抑制

    狭心症(慢性安定狭心症、不安定狭心症)
    心筋梗塞
    虚血性脳血管障害(一過性脳虚血発作(TIA)、脳梗塞)

  • 冠動脈バイパス術(CABG)あるいは経皮経管冠動脈形成術(PTCA)施行後における血栓・塞栓形成の抑制
  • 川崎病(川崎病による心血管後遺症を含む)

6. 用法及び用量

  • 〈狭心症(慢性安定狭心症、不安定狭心症)、心筋梗塞、虚血性脳血管障害(一過性脳虚血発作(TIA)、脳梗塞)における血栓・塞栓形成の抑制、冠動脈バイパス術(CABG)あるいは経皮経管冠動脈形成術(PTCA)施行後における血栓・塞栓形成の抑制に使用する場合〉

    通常、成人には1錠(アスピリンとして81mg)を1回量として、1日1回経口投与する。
    なお、症状により1回4錠(アスピリンとして324mg)まで増量できる。

  • 〈川崎病(川崎病による心血管後遺症を含む)に使用する場合〉

    急性期有熱期間は、アスピリンとして1日体重1kgあたり30~50mgを3回に分けて経口投与する。解熱後の回復期から慢性期は、アスピリンとして1日体重1kgあたり3~5mgを1回経口投与する。なお、症状に応じて適宜増減する。

7. 用法及び用量に関連する注意

  1. 7.1 空腹時の投与は避けることが望ましい。
  2. 7.2 心筋梗塞及び経皮経管冠動脈形成術に対する投与に際しては、初期投与量として維持量の数倍が必要とされていることに留意すること1)
  3. 7.3 原則として川崎病の診断がつき次第、投与を開始することが望ましい2)
  4. 7.4 川崎病では発症後数ヵ月間、血小板凝集能が亢進しているので、川崎病の回復期において、本剤を発症後2~3ヵ月間投与し、その後断層心エコー図等の冠動脈検査で冠動脈障害が認められない場合には、本剤の投与を中止すること。冠動脈瘤を形成した症例では、冠動脈瘤の退縮が確認される時期まで投与を継続することが望ましい2),3)
  5. 7.5 川崎病の治療において、低用量では十分な血小板機能の抑制が認められない場合もあるため、適宜、血小板凝集能の測定等を考慮すること。
  6. 7.6 他の消炎鎮痛剤との併用は避けさせることが望ましい。

8. 重要な基本的注意

  1. 8.1 脳梗塞患者への投与にあたっては、他の血小板凝集を抑制する薬剤等との相互作用に注意するとともに、高血圧が持続する患者への投与は慎重に行い、投与中は十分な血圧のコントロールを行うこと。,
  2. 8.2 長期投与する場合には定期的に臨床検査(尿検査、血液検査及び肝機能検査等)を行うこと。また、異常が認められた場合には減量、休薬等の適切な措置を講ずること。,
  3. 8.3 川崎病の急性期に対して投与する場合には、適宜、肝機能検査を行い異常が認められた場合には減量、休薬等の適切な措置を講ずること。,

9. 特定の背景を有する患者に関する注意

9.1 合併症・既往歴等のある患者

  1. 9.1.1 消化性潰瘍の既往歴のある患者

    消化性潰瘍が再発するおそれがある。,

  2. 9.1.2 血液の異常又はその既往歴のある患者

    副作用が強くあらわれることがある。

  3. 9.1.3 出血傾向の素因のある患者

    出血を増強するおそれがある。,

  4. 9.1.4 高血圧の患者

    血管や内臓等の障害箇所に出血が起こることがある。

  5. 9.1.5 気管支喘息のある患者(アスピリン喘息を有する場合を除く)

    アスピリン喘息でないことを十分に確認すること。気管支喘息の患者の中にはアスピリン喘息患者も含まれている可能性があり、それらの患者では重篤な喘息発作を誘発させることがある。,

  6. 9.1.6 アルコール飲料の常用者

    胃出血の危険性が増加することがある。,

  7. 9.1.7 手術、心臓カテーテル検査又は抜歯前1週間以内の患者

    失血量を増加させるおそれがある。

  8. 9.1.8 非ステロイド性消炎鎮痛剤の長期投与による消化性潰瘍のある患者で、本剤の長期投与が必要であり、かつミソプロストールによる治療が行われている患者

    ミソプロストールは非ステロイド性消炎鎮痛剤により生じた消化性潰瘍を効能・効果としているが、ミソプロストールによる治療に抵抗性を示す消化性潰瘍もあるので、本剤を継続投与する場合には、十分経過を観察し、慎重に投与すること。

  9. 9.1.9 月経過多の患者

    月経血が増加するおそれがある。

9.2 腎機能障害患者

  1. 9.2.1 腎障害又はその既往歴のある患者

    副作用が強くあらわれることがある。

9.3 肝機能障害患者

  1. 9.3.1 肝障害又はその既往歴のある患者

    副作用が強くあらわれることがある。

9.5 妊婦

  1. 9.5.1 出産予定日12週以内の妊婦

    投与しないこと。妊娠期間の延長、動脈管の早期閉鎖、子宮収縮の抑制、分娩時出血の増加につながるおそれがある。海外での大規模な疫学調査では、妊娠中のアスピリン服用と先天異常児出産の因果関係は否定的であるが、長期連用した場合は、母体の貧血、産前産後の出血、分娩時間の延長、難産、死産、新生児の体重減少・死亡などの危険が高くなるおそれを否定できないとの報告がある。また、ヒトで妊娠末期に投与された患者及びその新生児に出血異常があらわれたとの報告がある。さらに、妊娠末期のラットに投与した実験で、弱い胎児の動脈管収縮が報告されている。

  2. 9.5.2 妊婦(ただし、出産予定日12週以内の妊婦は除く)又は妊娠している可能性のある女性

    治療上の有益性が危険性を上回ると判断される場合にのみ投与すること。シクロオキシゲナーゼ阻害剤(経口剤、坐剤)を妊婦に使用し、胎児の腎機能障害及び尿量減少、それに伴う羊水過少症が起きたとの報告がある。動物実験(ラット)で催奇形性作用があらわれたとの報告がある。妊娠期間の延長、過期産につながるおそれがある。

9.6 授乳婦

授乳中の女性には本剤投与中は授乳を避けさせること。
母乳中へ移行することが報告されている。

9.7 小児等

  1. 9.7.1 低出生体重児、新生児又は乳児には、投与しないこと。錠剤である本剤の嚥下が不能である。
  2. 9.7.2 幼児には本剤の嚥下が可能なことを確認して、慎重に投与すること。
  3. 9.7.3 小児等では、副作用があらわれやすいので、患者の状態を観察しながら慎重に投与すること。腎障害またはその既往歴のある川崎病の患者ならびに低出生体重児の川崎病の患者に注意すること。川崎病の治療において肝機能障害4) の報告があるので適宜肝機能検査を行い、注意すること。,
  4. 9.7.4 サリチル酸系製剤の使用実態は我が国と異なるものの、米国においてサリチル酸系製剤とライ症候群との関連性を示す疫学調査報告があるので、本剤を15歳未満の水痘、インフルエンザの患者に投与しないことを原則とするが、やむを得ず投与する場合には、慎重に投与し、投与後の患者の状態を十分に観察すること。
    [ライ症候群:小児において極めてまれに水痘、インフルエンザ等のウイルス性疾患の先行後、激しい嘔吐、意識障害、痙攣(急性脳浮腫)と肝臓ほか諸臓器の脂肪沈着、ミトコンドリア変形、AST・ALT・LDH・CKの急激な上昇、高アンモニア血症、低プロトロンビン血症、低血糖等の症状が短期間に発現する高死亡率の病態である。]
  5. 9.7.5 サリチル酸系製剤の使用実態は我が国と異なるものの、米国においてサリチル酸系製剤とライ症候群との関連性を示す疫学調査報告があるので、本剤投与中の15歳未満の川崎病の患者が水痘、インフルエンザを発症した場合には、投与を中断することを原則とするが、やむを得ず投与を継続する場合には、慎重に投与し、投与後の患者の状態を十分に観察すること。

9.8 高齢者

患者の状態を観察しながら慎重に投与すること。一般に腎機能、肝機能などの生理機能が低下しているため、副作用があらわれやすい。

10. 相互作用

    10.2 併用注意(併用に注意すること)

    薬剤名等臨床症状・措置方法機序・危険因子
    • 尿酸排泄促進剤
      • プロベネシド
      • ベンズブロマロン

    尿酸排泄促進剤の尿酸排泄作用を減弱させる。

    本剤が尿酸排泄促進剤の尿酸排泄に拮抗する。

    • 抗凝固剤
      • クマリン系抗凝固剤
        • ワルファリンカリウム
      • ,

    クマリン系抗凝固剤の作用を増強し、出血時間の延長、消化管出血等を起こすことがあるので、クマリン系抗凝固剤を減量するなど、慎重に投与すること。

    本剤は血漿蛋白に結合したクマリン系抗凝固剤と置換し、遊離させる。また、本剤は血小板凝集抑制作用、消化管刺激による出血作用を有する。

    • 抗凝固剤
      • 血液凝固阻止剤
        • ヘパリン製剤
        • ダナパロイドナトリウム
        • 第Xa因子阻害剤
          • リバーロキサバン等
        • 抗トロンビン剤
          • ダビガトランエテキシラートメタンスルホン酸塩等
        • トロンボモデュリンアルファ等
      • ,

    これら薬剤との併用により、出血の危険性が増大するおそれがあるので、観察を十分に行い、注意すること。

    本剤は血小板凝集抑制作用を有するため、これら薬剤との併用により出血傾向が増強されるおそれがある。

    • 血小板凝集抑制作用を有する薬剤
      • チクロピジン塩酸塩
      • シロスタゾール
      • クロピドグレル硫酸塩
      • トロンボキサン合成酵素阻害剤
        • オザグレルナトリウム
      • プロスタグランジンE1製剤、E1及びI2誘導体製剤
        • ベラプロストナトリウム等
      • サルポグレラート塩酸塩
      • イコサペント酸エチル等
    • ,

    これら薬剤との併用により、出血の危険性が増大するおそれがあるので、観察を十分に行い、注意すること。

    本剤は血小板凝集抑制作用を有するため、これら薬剤との併用により出血傾向が増強されるおそれがある。

    • 血栓溶解剤
      • ウロキナーゼ
      • t-PA製剤等
    • ,

    これら薬剤との併用により、出血の危険性が増大するおそれがあるので、観察を十分に行い、注意すること。

    本剤は血小板凝集抑制作用を有するため、これら薬剤との併用により出血傾向が増強されるおそれがある。

    • 糖尿病用剤
      • インシュリン製剤
      • トルブタミド等

    血糖降下作用を増強することがあるので注意し、必要があれば減量する。

    サリチル酸自身が血糖降下作用をもつ。また、血漿蛋白と結合したスルホニル尿素系血糖降下剤(トルブタミド等)と置換し、遊離のスルホニル尿素系血糖降下剤が増加すると考えられている。

    • メトトレキサート

    メトトレキサートの副作用(骨髄抑制、肝・腎・消化管障害等)が増強されることがある。

    本剤(高用量投与時)は血漿蛋白に結合したメトトレキサートと置換し、遊離させる。また、本剤はメトトレキサートの腎排泄を阻害すると考えられている。

    • リチウム製剤

    血中リチウム濃度を上昇させ、リチウム中毒を起こすおそれがある。

    本剤の腎におけるプロスタグランジン生合成抑制作用により、リチウムの腎排泄が減少し、血中濃度が上昇するためと考えられる。

    • チアジド系利尿剤

    利尿・降圧作用を減弱するおそれがある。

    本剤の腎におけるプロスタグランジン生合成抑制作用により、水・ナトリウムの排泄を減少させるためと考えられている。

    • フロセミド
    • アゾセミド
    • ピレタニド

    本剤の副作用が増強することがある。

    腎の排泄部位にて本剤と競合する。

    • 非ステロイド性消炎鎮痛剤
      • インドメタシン
      • ジクロフェナクナトリウム等
    • ,,

    非ステロイド性消炎鎮痛剤の血中濃度が低下し作用を減弱することがある。

    非ステロイド性消炎鎮痛剤の吸収阻害あるいは血漿蛋白結合部位での遊離置換が考えられている。

    • 非ステロイド性消炎鎮痛剤
      • インドメタシン
      • ジクロフェナクナトリウム等
    • ,,

    出血を増加し、腎機能低下をもたらすことがある。

    機序は不明である。

    • イブプロフェン
    • ナプロキセン
    • ピロキシカム
    • スルピリン

    本剤の血小板凝集抑制作用を減弱するとの報告がある。

    血小板のシクロオキシゲナーゼ-1(COX-1)と本剤の結合を阻害するためと考えられる。

    • オキシカム系消炎鎮痛剤
      • ピロキシカム等

    両剤又は一方の薬剤の副作用の発現頻度を増加させるおそれがある。

    機序は不明である。

    • ニトログリセリン

    ニトログリセリンの作用を減弱するおそれがある。

    本剤は血管内皮細胞から産生され血管拡張作用を有するプロスタグランジンI2等の生合成を阻害し、ニトログリセリンの血管拡張作用を減弱させる可能性が考えられる。

    • テトラサイクリン系抗生物質
    • ニューキノロン系抗菌剤

    テトラサイクリン系抗生物質またはニューキノロン系抗菌剤の作用を減弱させ、抗菌力が低下する。

    制酸緩衝剤ダイアルミネートが消化管内でテトラサイクリン系抗生物質又はニューキノロン系抗菌剤と難溶性のキレートを作り、これらの医薬品の消化管からの吸収を阻害し、血中濃度が低下するためと考えられている。

    • 副腎皮質ホルモン剤
      • ベタメタゾン
      • コルチゾン酢酸エステル
      • メチルプレドニゾロン等

    高用量の本剤とこれらの薬剤の併用時、これらの薬剤を減量する際、本剤の血中濃度が増加し、サリチル酸中毒を起こすことが報告されているので、併用する場合には用量に注意する。

    副腎皮質ホルモン剤は、サリチル酸の腎排泄と肝代謝を著しく増加し、サリチル酸濃度を治療域以下にするといわれており、副腎皮質ホルモン剤との併用時には、サリチル酸の投与量を増量することがあるので、副腎皮質ホルモン剤を減量又は中止するときには注意する。

    • 乳酸ナトリウム

    本剤の尿中排泄を増加することがある。

    乳酸ナトリウムのアルカリ化作用により、本剤の尿中排泄が促進するためと考えられる。

    • バルプロ酸ナトリウム

    バルプロ酸ナトリウムの作用を増強し、振戦等を起こすことがある。

    アスピリンは血漿蛋白に結合したバルプロ酸ナトリウムと置換し、遊離させる。

    • フェニトイン

    総フェニトイン濃度を低下させるが、非結合型フェニトイン濃度を低下させないとの報告があるので、総フェニトイン濃度に基づいて増量する際には臨床症状等を慎重に観察すること。

    本剤(高用量投与時)は血漿蛋白に結合したフェニトインと置換し、遊離させる。

    • アセタゾラミド

    アセタゾラミドの副作用を増強し、嗜眠、錯乱等の中枢神経系症状、代謝性アシドーシス等を起こすことが報告されている。

    アスピリンは血漿蛋白に結合したアセタゾラミドと置換し、遊離させる。

    • アンジオテンシン変換酵素阻害剤(ACE阻害剤)

    ACE阻害剤の降圧作用が減弱することがある。

    本剤はACE阻害剤のプロスタグランジン生合成作用に拮抗する。

    • β-遮断剤

    β-遮断剤の降圧作用が減弱することがある。

    本剤がプロスタグランジン生合成を抑制し、β-遮断剤の降圧作用に拮抗する。

    • ドネペジル塩酸塩

    消化性潰瘍を起こすことがある。

    コリン系が賦活され胃酸分泌が促進される。

    • タクロリムス水和物
    • シクロスポリン

    腎障害が発現することがある。

    腎障害の副作用が相互に増強されると考えられる。

    • ザフィルルカスト

    ザフィルルカストの血漿中濃度が上昇することがある。

    機序は不明である。

    • プロスタグランジンD2、トロンボキサンA2受容体拮抗剤(セラトロダスト、ラマトロバン)

    ヒト血漿蛋白結合に対する相互作用の検討(in vitro)において、本剤によりこれら薬剤の非結合型分率が上昇することがある。

    これら薬剤が本剤と血漿蛋白結合部位で置換し、遊離型血中濃度が上昇すると考えられる。

    • 選択的セロトニン再取り込み阻害剤(SSRI)
      • フルボキサミンマレイン酸塩
      • 塩酸セルトラリン等
    • ,

    皮膚の異常出血(斑状出血、紫斑等)、出血症状(胃腸出血等)が報告されている。

    SSRIの投与により血小板凝集が阻害され、本剤との併用により出血傾向が増強すると考えられる。

    • アルコール
    • ,

    消化管出血が増強されるおそれがある。

    アルコールによる胃粘膜障害と本剤のプロスタグランジン合成阻害作用により、相加的に消化管出血が増強すると考えられる。

    11. 副作用

    次の副作用があらわれることがあるので、観察を十分に行い、異常が認められた場合には投与を中止するなど適切な処置を行うこと。

    11.1 重大な副作用

    1. 11.1.1 ショック、アナフィラキシー(いずれも頻度不明)

      ショック、アナフィラキシー(呼吸困難、全身潮紅、血管浮腫、蕁麻疹等)があらわれることがある。

    2. 11.1.2 出血(頻度不明)

      脳出血等の頭蓋内出血(初期症状:頭痛、悪心・嘔吐、意識障害、片麻痺等)があらわれることがある。
      肺出血、消化管出血、鼻出血、眼底出血等があらわれることがある。,,,,

    3. 11.1.3 中毒性表皮壊死融解症(Toxic Epidermal Necrolysis:TEN)、皮膚粘膜眼症候群(Stevens-Johnson症候群)、剥脱性皮膚炎(いずれも頻度不明)
    4. 11.1.4 再生不良性貧血、血小板減少、白血球減少(いずれも頻度不明)

    5. 11.1.5 喘息発作の誘発(頻度不明)

      ,

    6. 11.1.6 肝機能障害、黄疸(いずれも頻度不明)

      AST、ALT、γ-GTP等の著しい上昇を伴う肝機能障害や黄疸があらわれることがある。,,

    7. 11.1.7 消化性潰瘍、小腸・大腸潰瘍(いずれも頻度不明)

      下血(メレナ)を伴う胃潰瘍・十二指腸潰瘍等の消化性潰瘍があらわれることがある。また、消化管出血、腸管穿孔、狭窄・閉塞を伴う小腸・大腸潰瘍があらわれることがある。,,

    11.2 その他の副作用

    頻度不明

    消化器

    胃腸障害、嘔吐、腹痛、胸やけ、便秘、下痢、食道炎、口唇腫脹、吐血、吐き気、悪心、食欲不振、胃部不快感

    過敏症

    蕁麻疹、発疹、浮腫

    皮膚

    瘙痒、皮疹、膨疹、発汗

    精神神経系

    めまい、興奮、頭痛

    肝臓

    AST上昇、ALT上昇

    腎臓

    腎障害

    循環器

    血圧低下、血管炎、心窩部痛

    呼吸器

    過呼吸、気管支炎、鼻出血、鼻炎

    感覚器

    角結膜炎、耳鳴、難聴

    血液

    貧血

    その他

    代謝性アシドーシス、倦怠感

    13. 過量投与

    1. 13.1 症状

      悪心、嘔吐、口渇、下痢、頭痛、めまい、耳鳴り、難聴、興奮、痙攣、過呼吸、昏睡などの症状を示す。酸塩基平衡異常と電解質異常が生じることがあり、発熱と脱水を併発する。過呼吸のとき呼吸性アルカローシスを生じ、すぐに代謝性アシドーシスが生じる。

    2. 13.2 機序

      肝臓のサリチル酸代謝能に限界があるため、サリチル酸の血中濃度が高くなるとクリアランスが減少し、半減期が増加する。

    3. 13.3 処置

      催吐、胃洗浄を行い、その上で活性炭や下剤を投与することも有用。ブドウ糖輸液などにより体液と電解質のバランスの維持を図る。小児の高熱には、スポンジ浴を行う。炭酸水素ナトリウムの静脈注射などによりアシドーシスを補正すると共に尿のアルカリ化を図る。重篤な場合、血液透析、腹膜灌流などを考慮する。

    14. 適用上の注意

    14.1 薬剤交付時の注意

    1. 14.1.1 PTP包装の薬剤はPTPシートから取り出して服用するよう指導すること。PTPシートの誤飲により、硬い鋭角部が食道粘膜へ刺入し、更には穿孔をおこして縦隔洞炎等の重篤な合併症を併発することがある。
    1. 14.1.2 本剤は吸湿により分解されるので、PTP包装のままで患者に交付すること。

    15. その他の注意

    15.1 臨床使用に基づく情報

    非ステロイド性消炎鎮痛剤を長期間投与されている女性において、一時的な不妊が認められたとの報告がある。

    15.2 非臨床試験に基づく情報

    in vitroの試験において、アスピリン等のグルクロン酸抱合により代謝される薬剤が抗ウイルス剤(ジドブジン)のグルクロン酸抱合を阻害したとの報告がある5)

    16. 薬物動態

    16.1 血中濃度

    1. 16.1.1 反復投与

      健常人男性に空腹時アスピリン80mgを含有する錠剤を、2週間おきに3回繰り返し経口投与した実験において、アスピリンの血漿中濃度は投与後速やかに上昇し、0.5時間目に約1μg/mLの最高血中濃度に達した後、約0.4時間の半減期で減少した。初回投与の薬物動態パラメータは下記の通りである6) (外国人データ)。

      アスピリン80mg初回経口投与時の薬物動態パラメータ

      Cmax(μg/mL)

      Tmax(hr)

      AUC0-∞(μg・hr/mL)

      T1/2(hr)

      0.995±0.239

      0.5(中央値)

      0.935±0.153

      0.4±0.1

      (n=10、平均値±標準偏差)

    17. 臨床成績

    17.1 有効性及び安全性に関する試験

    1. 17.1.1 海外臨床試験(慢性安定狭心症に対する効果)

      スウェーデンで安定狭心症2,035名について、「プラセボ+ソタロール」を対照に「アスピリン(75mg/日)+ソタロール」の有効性が検討された結果、「心筋梗塞+突然死」が有意に減少した7)

    2. 17.1.2 海外臨床試験(不安定狭心症に対する効果)

      アメリカで不安定狭心症1,266名についてアスピリン(324mg/日)の有効性が検討された結果、「死亡+心筋梗塞」や非致死的心筋梗塞がアスピリン群で有意に抑制された8)。スウェーデンで「不安定狭心症+non-Q心筋梗塞」796名についてアスピリン(75mg/日)の有効性が検討された結果、「死亡+心筋梗塞」が有意に抑制された9)。出血性の副作用はまれで軽度であったが、消化管障害は3ヵ月後に増加した。

    3. 17.1.3 海外臨床成績(心筋梗塞の再発防止に対する効果)

      抗血小板薬の無作為化比較臨床試験のメタアナリシスは、アスピリンに代表される抗血小板薬が、高リスク患者の脳卒中、心筋梗塞及び血管死(以下、血管事故という)発生リスクを有意に減少することを示した。アスピリンの至適用量は75~325mg/日であった10)

    4. 17.1.4 国内臨床試験(心筋梗塞の再発防止に対する効果)

      国内の急性心筋梗塞の患者723名を対象とした無作為化比較臨床試験では、心筋梗塞の再発がアスピリン81mg/日群で有意に抑制された。アスピリンの副作用は、消化管の不快症状4例、消化管出血1例及び出血異常2例であった11)

    5. 17.1.5 海外臨床試験(急性心筋梗塞に対する効果)

      急性心筋梗塞の17,187名を対象として、イギリスで実施された無作為化比較臨床試験(ISIS-2)では、アスピリン(162.5mg/日)を5週間投与した結果、アスピリン群の血管死、非致死的心筋梗塞及び非致死的脳梗塞が有意に減少した12)

    6. 17.1.6 海外臨床試験(虚血性脳血管障害(一過性脳虚血発作(TIA)、脳梗塞)に対する効果)

      TIAあるいは軽度の虚血性脳卒中の患者1,360例について低用量のアスピリン(75mg/日)の有効性を検討したスウェーデンの大規模臨床試験(SALT)の結果、「脳卒中+死亡」は有意に減少し、脳卒中、TIA、心筋梗塞の発症も減少した13)。消化管出血の副作用はアスピリン群で有意に多かった。また、抗血小板薬の無作為化比較臨床試験のメタアナリシスは、アスピリンに代表される抗血小板薬が、高リスク患者の血管事故発生のリスクを有意に減少することを示した。アスピリンの至適用量は75~325mg/日であった10)

    7. 17.1.7 海外臨床試験(冠動脈バイパス術(CABG)あるいは経皮経管冠動脈形成術(PTCA)施行後における血栓・塞栓形成の抑制に対する効果)

      抗血小板薬の無作為化比較臨床試験のメタアナリシスは、アスピリンに代表される抗血小板薬がPTCA、CABGなどの心血管術後の血管事故発生リスクを有意に減少することを示した10),14)

    8. 17.1.8 国内臨床試験(川崎病に対する効果)

      川崎病患者306例を対象として、川崎病の急性期治療に対するアスピリン療法(50mg/kg、分2)、フルルビプロフェン療法及びプレドニゾロン+ジピリダモール療法の間で、冠動脈異常所見出現頻度を比較したプロスペクティブ研究の結果、30病日、60病日のいずれの時点でもアスピリン療法が他の療法より優れていた15)。副作用による投与中止は肝機能障害6例、汎血球減少症1例があった。さらに、60病日の時点で冠動脈後遺症を残していた症例を対象とした発病後1年及び2年の追跡調査成績でも、アスピリン群が他の2群に対して成績が優れる傾向にあった16)

    18. 薬効薬理

    18.1 作用機序

    アスピリンは、そのアセチル基によって血小板シクロオキシゲナーゼを不可逆的に阻害して血小板のトロンボキサンA2(TXA2)の産生を抑制することにより、血小板凝集を抑制し血小板血栓の形成を阻止する17)。一方、アスピリンの主代謝物であるサリチル酸は、抗炎症効果はアスピリンと同程度の効力を示すものの、血小板凝集抑制作用は示さない18)。アスピリンは、血管内皮細胞のシクロオキシゲナーゼも阻害してプロスタサイクリン(PGI2)の生成も抑制し、その結果、血小板凝集抑制作用が減弱される可能性が指摘されてきた(アスピリンジレンマ)。そのため低用量アスピリン(75mg/日~325mg/日)の経口投与が推奨されている。

    18.2 作用持続時間

    アスピリンの経口投与後、アスピリンの血中濃度半減期は短いにもかかわらず、TXA2産生抑制作用や血小板凝集抑制作用は血小板の寿命期間(7~10日)継続する。これは、アスピリンのアセチル基によるシクロオキシゲナーゼ阻害作用は不可逆的であり、かつ血小板はシクロオキシゲナーゼの合成能を有しないためと考えられている17)

    18.3 血小板凝集抑制作用

    低用量アスピリンの経口投与は、虚血性脳疾患患者19)、虚血性心疾患患者20)及び川崎病患者21)においてADP、コラーゲン等による血小板凝集を抑制する。高用量のアスピリンは、解熱、鎮痛、抗炎症作用を示す17)

    18.4 川崎病

    川崎病の急性期において、アスピリンは高用量投与による抗炎症作用17)により血管や心筋の炎症を抑えて心血管後遺症の発生を抑制するとともに、発熱などの臨床症状を改善することを目的として使用される。そして、解熱後から慢性期においては、低用量投与による血小板凝集抑制作用により血栓形成を抑制することを目的として使用される2)

    19. 有効成分に関する理化学的知見

    19.1 アスピリン

    一般的名称

    アスピリン(Aspirin)

    化学名

    2-Acetoxybenzoic acid

    分子式

    C9H8O4

    分子量

    180.16

    性状

    白色の結晶、粒又は粉末で、においはなく、わずかに酸味がある。エタノール(95)又はアセトンに溶けやすく、ジエチルエーテルにやや溶けやすく、水に溶けにくい。水酸化ナトリウム試液又は炭酸ナトリウム試液に溶ける。湿った空気中で徐々に加水分解してサリチル酸及び酢酸になる。

    化学構造式

    融点

    約136℃(あらかじめ溶液を130℃に加熱しておく)。

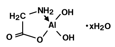
    19.2 ジヒドロキシアルミニウム アミノアセテート

    一般的名称

    ジヒドロキシアルミニウムアミノアセテート (Dihydroxyaluminum Aminoacetate)

    分子式

    C2H6AlNO4・xH2O

    分子量

    135.06(無水物)

    性状

    白色の粉末又は粒で、においはなく、味はわずかに甘い。
    水又はエタノールにほとんど溶けない。希塩酸又は水酸化ナトリウム試液に大部分溶ける。

    化学構造式

    19.3 炭酸マグネシウム

    一般的名称

    炭酸マグネシウム(Magnesium Carbonate)

    分子式

    MgCO3

    分子量

    84.31

    性状

    白色のもろい塊又は粉末で、においはない。
    水、エタノール(95)、1-プロパノール又はジエチルエーテルにほとんど溶けない。希塩酸に泡立って溶ける。飽和水溶液はアルカリ性である。

    20. 取扱い上の注意

    本剤は吸湿により分解されるので、湿気を避けて保存すること。

    22. 包装

    PTP:100錠(10錠×10)、1,000錠(10錠×100、乾燥剤入り)

    23. 主要文献

    1) ACC/AHA Guidelines for the Management of Patients With Acute Myocardial Infarction:J.Am.Coll.Cardiol.,1996;28(5):1328‐1419

    2) 日本小児循環器学会,川崎病急性期治療のガイドライン,2003

    3) 日本循環器学会,日本心臓病学会,日本小児科学会,日本小児循環器学会,日本胸部外科学会合同研究班,川崎病心臓血管後遺症の診断と治療に関するガイドライン:Circ.J.,2003;67 Suppl.Ⅳ:1111‐1152

    4) 赤木禎治ら:総合臨床,1995;44(10):2410‐2413

    5) Sim,S.M.et al.:Br.J.Clin.Pharmac.,1991;32(1):17‐21

    6) Benedek,I.H.et al.:J.Clin.Pharmacol.,1995;35:1181‐1186

    7) SAPAT:Lancet,1992;340(8833):1421‐1424

    8) Lewis,H.D.Jr.et al.:N.Engl.J.Med.,1983;309(7):396‐403

    9) The RISC Group:Lancet,1990;336(8719):827‐830

    10) Antiplatelet Trialists’Collaboration:Br.Med.J.,1994;308(6921):81‐106

    11) Yasue,H.et al.:Am.J.Cardiol.,1999;83(9):1308‐1313

    12) ISIS-2 Collaborative Group:Lancet,1988;2(8607):349‐360

    13) The SALT Collaborative Group:Lancet,1991;338(8779):1345‐1349

    14) Antiplatelet Trialists’Collaboration:Br.Med.J.,1994;308(6922):159‐168

    15) 草川三治ら:日本小児科学会雑誌,1983;87(12):2486‐2491

    16) 浅井利夫ら:小児科,1985;26(9):995‐1004

    17) グッドマン・ギルマン薬理書,第9版,監訳:高折修二ら,1999;825‐882,1789‐1790,廣川書店

    18) 鶴見介登ら:炎症,1991;11(1):33‐42

    19) Tohgi,H.et al.:Stroke,1992;23(10):1400‐1403

    20) 谷口直樹ら:日本老年医学会誌,1981;18(6):463‐468

    21) 白幡 聡ら:日本小児科学会雑誌,1985;89(10):2207‐2214

    22) 抗血小板薬(AP-1)の血中薬物動態試験報告書(ライオン株式会社社内資料)

    24. 文献請求先及び問い合わせ先

    鶴原製薬株式会社 医薬情報部

    〒563-0036 大阪府池田市豊島北1丁目16番1号

    TEL:072-761-1456(代表) FAX:072-760-5252

    26. 製造販売業者等

    26.1 製造販売元

    鶴原製薬株式会社

    大阪府池田市豊島北1丁目16番1号

    〒100-0013 東京都千代田区霞が関3-3-2 新霞が関ビル

    画面を閉じる

    Copyright © Pharmaceuticals and Medical Devices Agency, All Rights reserved.