医療用医薬品 詳細表示

ヒアルロン酸Na関節注25mgシリンジ「ツルハラ」

処方せん医薬品

添付文書番号
企業コード
作成又は改訂年月
日本標準商品分類番号
薬効分類名
承認等
一般的名称
2.禁忌(次の患者には投与しないこと)
3.組成・性状
3.1組成
3.2製剤の性状
4.効能又は効果
5.効能又は効果に関連する注意
6.用法及び用量
7.用法及び用量に関連する注意
8.重要な基本的注意
9.特定の背景を有する患者に関する注意
9.1合併症・既往歴等のある患者
9.3肝機能障害患者
9.5妊婦
9.6授乳婦
9.7小児等
11.副作用
11.1重大な副作用
11.2その他の副作用
14.適用上の注意
16.薬物動態
16.1血中濃度
16.2吸収
16.3分布
16.4代謝
16.5排泄
17.臨床成績
17.1有効性及び安全性に関する試験
18.薬効薬理
18.1作用機序
19.有効成分に関する理化学的知見
20.取扱い上の注意
22.包装
23.主要文献
24.文献請求先及び問い合わせ先
26.製造販売業者等

ヒアルロン酸Na関節注25mgシリンジ「ツルハラ」

添付文書番号

3999408G1450_1_02

企業コード

460028

作成又は改訂年月

2024年1月改訂(第1版)

日本標準商品分類番号

873999

薬効分類名

関節機能改善剤

承認等

ヒアルロン酸Na関節注25mgシリンジ「ツルハラ」

販売名コード

YJコード

3999408G1450

販売名英語表記

Sodium Hyaluronate Intra-Articular Injection 25mg Syringe「TSURUHARA」

販売名ひらがな

ひあるろんさんなとりうむかんせつちゅう25mgしりんじつるはら

承認番号等

承認番号

30200AMX00639000

販売開始年月

1995年7月

貯法・有効期間

貯法

室温保存

有効期間

3年

基準名

日本薬局方

精製ヒアルロン酸ナトリウム注射液

一般的名称

精製ヒアルロン酸ナトリウム

2. 禁忌(次の患者には投与しないこと)

本剤の成分に対し過敏症の既往歴のある患者

3. 組成・性状

3.1 組成

ヒアルロン酸Na関節注25mgシリンジ「ツルハラ」

有効成分1シリンジ(2.5mL)中   日局精製ヒアルロン酸ナトリウム 25mg
添加剤塩化ナトリウム
無水リン酸一水素ナトリウム
無水リン酸二水素ナトリウム

3.2 製剤の性状

ヒアルロン酸Na関節注25mgシリンジ「ツルハラ」

剤形粘稠な水性注射液
色調無色澄明
pH6.8~7.8
浸透圧比1.0~1.2(生理食塩液に対する比)
においなし

4. 効能又は効果

  • ○変形性膝関節症、肩関節周囲炎
  • ○関節リウマチにおける膝関節痛

    (下記(1)~(4)の基準を全て満たす場合に限る)

    • (1) 抗リウマチ薬等による治療で全身の病勢がコントロールできていても膝関節痛のある場合
    • (2) 全身の炎症症状がCRP値として10mg/dL以下の場合
    • (3) 膝関節の症状が軽症から中等症の場合
    • (4) 膝関節のLarsen X線分類がGradeIからGradeIIIの場合

5. 効能又は効果に関連する注意

  • 〈関節リウマチにおける膝関節痛〉
    1. 5.1 膝関節以外の使用経験はなく、他の関節については有効性・安全性が確立していないため本剤を投与しないこと。
    2. 5.2 関節リウマチでは膝関節の器質的変化が高度なものは有効性・安全性が確立していないため本剤を投与しないこと。

6. 用法及び用量

  • <変形性膝関節症、肩関節周囲炎>

    通常、成人 1 回 1 シリンジを 1 週間ごとに連続 5 回膝関節腔内又は肩関節(肩関節腔、肩峰下滑液包又は上腕二頭筋長頭腱腱鞘)内に投与するが、症状により投与回数を適宜増減する。

  • <関節リウマチにおける膝関節痛>

    通常、成人1回2.5mLを1週間毎に連続5回膝関節腔内に投与する。

  • 本剤は関節内に投与するので、厳重な無菌的操作のもとに行うこと。

7. 用法及び用量に関連する注意

  • 〈効能共通〉
    1. 7.1 症状の改善が認められない場合は、5回を限度として投与を中止すること。
  • 〈関節リウマチにおける膝関節痛〉
    1. 7.2 本剤による治療は原因療法ではなく局所に対する対症療法であるので抗リウマチ薬等と併用すること。本剤は漫然と連用する薬剤ではない。

8. 重要な基本的注意

  • 〈効能共通〉
    1. 8.1 本剤の投与により、ときに局所痛があらわれることがあるので、投与後の局所安静を指示するなどの措置を講じること。
    2. 8.2 関節腔外に漏れると疼痛を起こすおそれがあるので、関節腔内に確実に投与すること。
  • 〈変形性膝関節症、関節リウマチにおける膝関節痛〉
    1. 8.3 投与関節の炎症又は関節液貯留が著しい場合は、本剤の投与により局所炎症症状の悪化を招くことがあるので、炎症症状を抑えてから本剤を投与することが望ましい。

9. 特定の背景を有する患者に関する注意

9.1 合併症・既往歴等のある患者

  1. 9.1.1 他の薬剤に対して過敏症の既往歴のある患者
  2. 9.1.2 投与関節部に皮膚疾患又は感染のある患者

    本剤は関節内に投与するため。

9.3 肝機能障害患者

  1. 9.3.1 肝障害又はその既往歴のある患者

    肝障害の既往歴のある患者においてAST、ALT異常値例がみられた。

9.5 妊婦

妊婦又は妊娠している可能性のある女性には、治療上の有益性が危険性を上回ると判断される場合にのみ投与すること。動物実験(ウサギ)では催奇形性は認められていない。

9.6 授乳婦

治療上の有益性及び母乳栄養の有益性を考慮し、授乳の継続又は中止を検討すること。
動物実験(ラット)で乳汁中へ移行することが認められている。

9.7 小児等

小児等を対象とした臨床試験は実施していない。

11. 副作用

次の副作用があらわれることがあるので、観察を十分に行い、異常が認められた場合には投与を中止するなど適切な処置を行うこと。

11.1 重大な副作用

  1. 11.1.1 ショック(頻度不明)

    ショック症状があらわれることがある。

11.2 その他の副作用

0.1~5%未満

頻度不明

過敏症

蕁麻疹等の発疹、そう痒感、浮腫(顔面、眼瞼等)、顔面発赤

投与関節

疼痛(主に投与後の一過性の疼痛)、熱感、局所の重苦しさ

腫脹、水腫、発赤、関節周囲のしびれ感

肝臓

AST上昇、ALT上昇、Al-P上昇、LDH上昇

血液

好酸球増多、ヘマトクリット低下、白血球増多

その他

嘔気・嘔吐、発熱、倦怠感、蛋白尿、尿沈渣異常、動悸、ほてり、総蛋白低下、BUN上昇

14. 適用上の注意

14.1 薬剤投与前の注意

  1. 14.1.1 関節液の貯留があるときには、必要に応じ穿刺により排液すること。

14.2 薬剤投与時の注意

  1. 14.2.1 本剤は膝関節腔内又は肩関節内に投与するので、厳重な無菌的操作のもとに行うこと。
  2. 14.2.2 本剤は粘稠なため、22~23G程度の注射針を用いて投与することが望ましい。
  3. 14.2.3 眼科用には使用しないこと。
  4. 14.2.4 血管内へは投与しないこと。

14.3 薬剤投与後の注意

  1. 14.3.1 本剤の使用は1回限りとし、使用後は廃棄すること。

16. 薬物動態

16.1 血中濃度

ウサギの膝関節腔内に1%14C-ヒアルロン酸ナトリウム0.1mL/kgを単回投与した結果、大部分は投与後約48時間に最高値を示し、以後徐々に減少した1)

16.2 吸収

ウサギの膝関節腔内に1%14C-ヒアルロン酸ナトリウム0.1mL/kgを単回投与した結果、大部分は投与後72時間(約3日間)で関節液中より消失した。関節液中半減期は約20時間であった1)

16.3 分布

ウサギの膝関節腔内に1%14C-ヒアルロン酸ナトリウム0.1mL/kgを単回投与した結果、関節組織内濃度は、靱帯、滑膜組織に高く、次いで半月板、関節軟骨で高い分布が認められた。肝臓、脾臓でも高い分布が認められたが、蓄積は認められなかった1)

16.4 代謝

ウサギの膝関節腔内に1%14C-ヒアルロン酸ナトリウム0.1mL/kgを単回投与した結果、関節液中ではほとんど代謝されることなく滑膜組織にとり込まれ、そこで一部低分子化をうけ血中へ移行したのち、主に肝臓で代謝された1)

16.5 排泄

ウサギの膝関節腔内に1%14C-ヒアルロン酸ナトリウム0.1mL/kgを単回投与した結果、大部分が呼気中の14CO2として排泄され、一部が尿・糞中に単糖およびヒアルロン酸の低分子化物として排泄された1)

17. 臨床成績

17.1 有効性及び安全性に関する試験

  • 〈変形性膝関節症〉
  1. 17.1.1 国内第Ⅲ相群間比較試験

    変形性膝関節症患者223例を対象とした多施設群間比較試験において、1%ヒアルロン酸ナトリウム関節注2.5mLまたは対照薬剤(0.01%ヒアルロン酸ナトリウム溶液2.5mL)を1週に1回、連続5回膝関節腔内に注射し、評価は試験開始時、毎回投与時に行った。運動時痛、安静時痛、圧痛、日常生活動作等を指標とし、試験終了時に各週の改善度の推移を総合的に考慮した有効率(最終全般改善度)(「中等度改善」以上)は、1%ヒアルロン酸ナトリウム関節注投与群では64.1%(66/103例)であり、対照薬剤投与群に比し有意に優れていた。副作用発現率は1%ヒアルロン酸ナトリウム関節注投与群で0.9%(1/110例)であり、膝関節の局所痛がみられた。また、有用率(「かなり有用」以上)は64.1%(66/103例)であった2)

  • 〈肩関節周囲炎〉
  1. 17.1.2 国内第Ⅲ相群間比較試験

    肩関節周囲炎患者152例を対象とした群間比較試験において、1%ヒアルロン酸ナトリウム関節注2.5mLまたは対照薬剤(0.01%ヒアルロン酸ナトリウム溶液2.5mL)を1週に1回、連続5回肩関節(肩関節腔、肩峰下滑液包または上腕二頭筋長頭腱腱鞘)内に注射し、評価は試験開始時と毎回投与時に行った。夜間時痛、運動時痛、圧痛、日常生活動作等を指標とし、試験終了時に各週の改善度の推移を総合的に考慮した有効率(最終全般改善度)(「中等度改善」以上)は、1%ヒアルロン酸ナトリウム関節注投与群では70.2%(47/67例)であり、対照薬剤投与群に比し有意に優れていた。副作用発現率は1%ヒアルロン酸ナトリウム関節注投与群で2.7%(2/74例)であり、いずれも注射時局所痛であった。また、有用率は68.7%(46/67例)であった3)

  1. 17.1.3 国内第Ⅲ相一般臨床試験

    肩関節周囲炎患者37例を対象とした多施設共同(7施設)一般臨床試験において、1%ヒアルロン酸ナトリウム関節注2.5mLを、群間比較試験と同様の試験方法で投与・評価した結果、有効率は70.6%(24/34例)であった。副作用発現率は2.8%(1/36例)であり、肩の疼痛増強がみられた。また、有用率は70.6%(24/34例)であった4)

  • 〈関節リウマチにおける膝関節痛〉
  1. 17.1.4 国内第Ⅲ相群間比較試験

    アメリカリウマチ協会の診断基準でClassical又はDefinite RAと診断され膝関節に疼痛、炎症等の症状を有する軽症から中等症の患者203例に、1%ヒアルロン酸ナトリウム関節注 2.5mLおよび対照として0.01%ヒアルロン酸ナトリウム関節注2.5mLを用いて、無作為割り付け群間比較試験を各々1回2.5mL、週1回、連続5回膝関節腔内注入により行った。138例について解析を行った結果、全般改善度(中等度改善以上)は1%ヒアルロン酸ナトリウム関節注投与群64.7%(44/68例)、0.01%投与群5.7%(4/70例)であり、両者間に有意差(P=0.0001 Wilcoxon順位和検定)が認められた。副作用は、1%ヒアルロン酸ナトリウム関節注投与群に軽度の瘙痒感が1例(1%)認められたが臨床的に問題となるものではなかった5)

18. 薬効薬理

18.1 作用機序

精製ヒアルロン酸ナトリウムは、関節組織を被覆・保護し、潤滑機能を改善するとともに、変性軟骨に浸透し、変性変化の抑制、軟骨代謝の改善をもたらす。さらに滑膜組織に浸透し、炎症及び変性変化を抑制する。また、発痛物質の作用を抑制して、疼痛抑制作用を発揮する。これらのことから疼痛の寛解、日常生活動作及び関節可動域の改善をもたらす。

18.2 関節組織浸透性

ウシ関節軟骨片(in vitro6)を用いた試験で、変性軟骨や滑膜の深部まで浸透した。

18.3 関節軟骨に対する作用

  1. 18.3.1 ウサギ膝関節内の軟骨と親和性を有し、軟骨表面を被覆、保護した7),8)
  1. 18.3.2 ウサギ9),10),11),12),13)及びマウス14)の変形性膝関節症モデルにおいて、軟骨の変性変化を抑制した。
  1. 18.3.3 ウシ関節軟骨の培養細胞15)、変形性膝関節症患者由来の軟骨細胞16)を用いた試験で、軟骨破壊に関与する軟骨からの活性酸素、マトリックスメタロプロテアーゼ-1、3及び13の産生を抑制した。
  1. 18.3.4 膝関節にパパイン処理を施したウサギ17)及びウシ6)・ウサギ7)・ブタ18)の軟骨細胞(in vitro)を用いた試験で、軟骨マトリックスからのプロテオグリカンの遊出を抑制し、軟骨代謝を改善させた。
  1. 18.3.5 両膝関節の大腿骨軟骨面に円筒型軟骨欠損を作製し自家肋軟骨を移植したウサギにおいて、関節軟骨の変性変化を抑制し、軟骨下骨の修復を促進した19)

18.4 滑膜に対する作用

  1. 18.4.1 イヌ変形性膝関節症モデル20)及びリウマチ患者由来滑膜線維芽細胞(in vitro21)を用いた試験において、滑膜細胞に作用し、滑膜の炎症及び変性変化を抑制した。
  1. 18.4.2 リウマチ患者由来滑膜細胞(in vitro)を用いた試験で、滑膜細胞に作用し、インターロイキン-1βの産生を抑制し、軟骨の変性変化を抑制した22)
  1. 18.4.3 コラーゲンで誘発したラット実験的関節炎モデルにおいて、滑膜の炎症を抑制した23)

18.5 関節液に対する作用

  1. 18.5.1 イヌ変形性膝関節症モデル20)及び変形性膝関節症患者(成人男女)24)において、滑膜細胞に作用し、高分子ヒアルロン酸の合成を促進した。
  1. 18.5.2 変形性膝関節症患者(成人男女)において、病的関節液のヒアルロン酸濃度及び分子量を高め、曳糸性等を改善させた24),25)
  1. 18.5.3 変形性膝関節症患者(成人男女)において、関節液中のコンドロイチン4硫酸及びコンドロイチン6硫酸、ヒアルロン酸濃度を改善させた26)

18.6 疼痛抑制作用

  1. 18.6.1 ラット実験的関節疼痛モデルにおいて、ブラジキニン単独及びブラジキニンとPGE2併用による発痛作用を抑制した27),28),29)
  1. 18.6.2 尿酸塩結晶によるイヌ関節疼痛モデルにおいて、発痛作用を抑制した30)
  1. 18.6.3 変形性膝関節症患者(成人男女)31)及び関節リウマチ患者(成人男女)32)において、関節液中の炎症性疼痛増強物質であるPGE2の産生等を抑制し、疼痛を抑制した。

18.7 関節拘縮改善作用

  1. 18.7.1 ラット腱損傷モデルにおいて、腱と腱鞘の間の物理的なバリアとして働き、腱の癒着を防止した33)
  1. 18.7.2 ウサギ実験的関節拘縮モデルにおいて、関節可動域を改善させた10),34)

18.8 生物学的同等性試験

  1. 18.8.1 関節拘縮改善作用35)

    ウサギを用いた実験で長期間固定による後足膝関節可動域の低下に対しヒアルロン酸Na関節注25mgシリンジ「ツルハラ」及びアルツディスポ関節注25mgはともに有意な改善作用が認められた。また両製剤間において、有意な差は認められなかった。

  1. 18.8.2 疼痛抑制作用35)

    ラットのブラジキニン誘発疼痛に対し、ヒアルロン酸Na関節注25mgシリンジ「ツルハラ」及びアルツディスポ関節注25mgはともに有意な抑制作用を示した。また両製剤間において、有意な差は認められなかった。

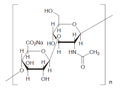
19. 有効成分に関する理化学的知見

一般的名称

精製ヒアルロン酸ナトリウム
(Purified Sodium Hyaluronate)

分子式

(C14H20NNaO11n

分子量

平均分子量50万~149万

性状

白色の粉末、粒又は繊維状の塊である。
水にやや溶けにくく、エタノール(99.5)にほとんど溶けない。
吸湿性である。

化学構造式

20. 取扱い上の注意

  1. 20.1 ブリスター包装が開封していたり、破損している場合、またはシリンジにひび・破損等の異常が認められるときは使用しないこと。
  2. 20.2 本品はガラス製品のため、落としたり衝撃を与えたりしないこと。容器の破損の原因となることがある。

22. 包装

1% 2.5mL[10シリンジ]

23. 主要文献

1) 坂本 崇他:応用薬理.1984;28:375-387

2) 七川歓次他:リウマチ.1983;23:280-290

3) 山本龍二他:臨床薬理.1988;19:717-733

4) 高岸直人他:薬理と治療.1988;16:497-511

5) 田中清介他:臨床リウマチ.2000;12:179-204

6) 福田寛二他:J Pharmacol Exp Ther.1996;277:1672-1675

7) 坂本 崇他:整形外科基礎科学.1984;11:264-266

8) J.M.Williams他:Osteoarthritis and Cartilage.1997;5:235-240

9) 豊島弘道:東京女子医科大学雑誌.1978;48:890-910

10) 並木 脩:関節外科.1996;15:1173-1179

11) 清水長司他:J Rheumatol.1998;25:1813-1819

12) 高橋謙司他:J Rheumatol.2000;27:1713-1720

13) 大塚博徳他:東日本臨床整形外科学会雑誌.1996;8:51-55

14) 中村靖史他:日本整形外科学会雑誌.1989;63:1189

15) 福田寛二他:Inflamm Res.1997;46:114-117

16) S.M.Julovi他:Arthritis Rheum.2004;50:516-525

17) 岩田 久他:関節の外科.1992;19:31-36

18) 相部和士他:J Orthop Sci.1996;1:268-276

19) 喜久生明男他:中部整形外科災害外科学会雑誌.1995;38:333-334

20) 浅利 晃他:Arch Histol Cytol.1998;61:125-135

21) 清水 真他:J Rheumatol.2003;30:1164-1172

22) S.Takeshita他:Biomedical Research.1997;18:187-194

23) 田澤洋一他:薬理と治療.2005;33:481-488

24) 並木 脩他:膝.1983;9:69-73

25) 新名正由他:膝.1983;9:108-113

26) 上坂真司他:関節の外科.1999;26:106-112

27) 後藤幸子他:日本薬理学雑誌.1988;92:17-27

28) 山下 泉他:北海道整形災害外科雑誌.1993;36:33-36

29) 山下 泉他:日本整形外科学会雑誌.1995;69:735-743

30) 田澤洋一他:薬理と治療.2005;33:475-480

31) 池田和男:東京女子医科大学雑誌.1998;68:22-36

32) 後藤 眞他:Clinical and Experimental Rheumatology.2001;19:377-383

33) 後藤幸子他:応用薬理.1988;35:359-364

34) 宮崎匡輔他:整形外科基礎科学.1984;11:125-127

35) 社内資料:生物学的同等性試験

24. 文献請求先及び問い合わせ先

鶴原製薬株式会社 医薬情報部

〒563-0036 大阪府池田市豊島北1丁目16番1号

TEL:072-761-1456(代表) FAX:072-760-5252

26. 製造販売業者等

26.1 製造販売

鶴原製薬株式会社

大阪府池田市豊島北1丁目16番1号




〒100-0013 東京都千代田区霞が関3-3-2 新霞が関ビル

画面を閉じる

Copyright © Pharmaceuticals and Medical Devices Agency, All Rights reserved.