医療用医薬品 詳細表示

チモロール点眼液0.25%「テイカ」/チモロール点眼液0.5%「テイカ」

処方せん医薬品以外の医薬品

添付文書番号
企業コード
作成又は改訂年月
日本標準商品分類番号
薬効分類名
承認等
一般的名称
2.禁忌(次の患者には投与しないこと)
3.組成・性状
3.1組成
3.2製剤の性状
4.効能又は効果
6.用法及び用量
8.重要な基本的注意
9.特定の背景を有する患者に関する注意
9.1合併症・既往歴等のある患者
9.5妊婦
9.6授乳婦
9.7小児等
9.8高齢者
10.相互作用
10.2併用注意(併用に注意すること)
11.副作用
11.1重大な副作用
11.2その他の副作用
14.適用上の注意
16.薬物動態
16.1血中濃度
16.3分布
16.4代謝
17.臨床成績
17.1有効性及び安全性に関する試験
18.薬効薬理
18.1作用機序
18.2眼圧下降作用
18.3β-受容体遮断作用
18.4生物学的同等性試験
19.有効成分に関する理化学的知見
20.取扱い上の注意
22.包装
23.主要文献
24.文献請求先及び問い合わせ先
26.製造販売業者等

チモロール点眼液0.25%「テイカ」/チモロール点眼液0.5%「テイカ」

添付文書番号

1319702Q1123_1_08

企業コード

470004

作成又は改訂年月

2023年9月改訂(第1版)

日本標準商品分類番号

871319

薬効分類名

緑内障・高眼圧症治療剤

承認等

チモロール点眼液0.25%「テイカ」

販売名コード

YJコード

1319702Q1123

販売名英語表記

Timolol Ophthalmic Solution 0.25%「Teika」

販売名ひらがな

ちもろーるてんがんえき0.25%「テイカ」

承認番号等

承認番号

21900AMX01368000

販売開始年月

1990年7月

貯法・有効期間

貯法

室温保存

有効期間

3年

チモロール点眼液0.5%「テイカ」

販売名コード

YJコード

1319702Q2138

販売名英語表記

Timolol Ophthalmic Solution 0.5%「Teika」

販売名ひらがな

ちもろーるてんがんえき0.5%「テイカ」

承認番号等

承認番号

21900AMX01099000

販売開始年月

1990年7月

貯法・有効期間

貯法

室温保存

有効期間

3年

一般的名称

チモロールマレイン酸塩点眼液

2. 禁忌(次の患者には投与しないこと)

  1. 2.1 本剤の成分に対し過敏症の既往歴のある患者
  2. 2.2 気管支喘息又はその既往歴のある患者、気管支痙攣又は重篤な慢性閉塞性肺疾患のある患者[喘息発作の誘発・増悪がみられるおそれがある。]
  3. 2.3 コントロール不十分な心不全、洞性徐脈、房室ブロック(Ⅱ、Ⅲ度)又は心原性ショックのある患者[これらの症状を増悪させるおそれがある。]

3. 組成・性状

3.1 組成

チモロール点眼液0.25%「テイカ」

有効成分1mL中
日局 チモロールマレイン酸塩 3.42mg  
(チモロールとして2.5mg  )
添加剤リン酸水素ナトリウム水和物、リン酸二水素ナトリウム水和物、ポリビニルアルコール(部分けん化物)、エデト酸ナトリウム水和物、ベンザルコニウム塩化物、等張化剤

チモロール点眼液0.5%「テイカ」

有効成分1mL中
日局 チモロールマレイン酸塩 6.84mg  
(チモロールとして5.0mg  )
添加剤リン酸水素ナトリウム水和物、リン酸二水素ナトリウム水和物、ポリビニルアルコール(部分けん化物)、エデト酸ナトリウム水和物、ベンザルコニウム塩化物、等張化剤

3.2 製剤の性状

チモロール点眼液0.25%「テイカ」

pH6.3~7.3
浸透圧比0.8~1.2
性状無色澄明な無菌水性点眼剤

チモロール点眼液0.5%「テイカ」

pH6.3~7.3
浸透圧比0.8~1.2
性状無色澄明な無菌水性点眼剤

4. 効能又は効果

緑内障、高眼圧症

6. 用法及び用量

通常、0.25%製剤を1回1滴、1日2回点眼する。

なお、十分な効果が得られない場合は0.5%製剤を用いて1回1滴、1日2回点眼する。

8. 重要な基本的注意

  1. 8.1 全身的に吸収される可能性があり、β-遮断剤全身投与時と同様の副作用があらわれることがあるので、留意すること。
  2. 8.2 縮瞳剤から本剤投与に切り替える場合、縮瞳作用の消失に伴い、屈折調整を必要とすることがある。また、閉塞隅角緑内障に本剤を単独使用し眼圧上昇を来した例が報告されているので、閉塞隅角緑内障への使用に際しては縮瞳剤との併用が必要である 。

9. 特定の背景を有する患者に関する注意

9.1 合併症・既往歴等のある患者

  1. 9.1.1 肺高血圧による右心不全のある患者

    肺高血圧症による右心不全の症状を増悪させるおそれがある。

  2. 9.1.2 うっ血性心不全のある患者

    うっ血性心不全の症状を増悪させるおそれがある。

  3. 9.1.3 糖尿病性ケトアシドーシス及び代謝性アシドーシスのある患者

    アシドーシスによる心筋収縮力の抑制を増強するおそれがある。

  4. 9.1.4 コントロール不十分な糖尿病のある患者

    血糖値に注意すること。低血糖症状をマスクすることがある。

9.5 妊婦

妊婦又は妊娠している可能性のある女性には治療上の有益性が危険性を上回ると判断される場合にのみ投与すること。器官形成期のラットに500mg/kg/dayを経口投与した試験で骨化遅延が、マウスに1,000mg/kg/day、ウサギに200mg/kg/dayを経口投与した試験で死亡胎児数の増加が認められている。

9.6 授乳婦

治療上の有益性及び母乳栄養の有益性を考慮し、授乳の継続又は中止を検討すること。ヒト母乳中へ移行することがある。

9.7 小児等

小児等を対象とした臨床試験は実施していない。

9.8 高齢者

一般に生理機能が低下している。

10. 相互作用

  • 本剤は、主としてCYP2D6によって代謝される。

10.2 併用注意(併用に注意すること)

薬剤名等臨床症状・措置方法機序・危険因子

オミデネパグ イソプロピル

結膜充血等の眼炎症性副作用の発現頻度の上昇が認められている。

機序不明

アドレナリン
ジピベフリン塩酸塩

散瞳作用が助長されたとの報告がある。

機序不明

カテコールアミン枯渇剤:
レセルピン等

交感神経系に対し、過剰の抑制を来すことがあり、低血圧、徐脈を生じ、眩暈、失神、起立性低血圧を起こすことがある。

カテコールアミンの枯渇を起こす薬剤は、β-遮断作用を相加的に増強する可能性がある。

β-遮断剤(全身投与):
アテノロール
プロプラノロール塩酸塩
メトプロロール酒石酸塩

眼圧下降あるいはβ-遮断剤の全身的な作用が増強されることがある。

作用が相加的にあらわれることがある。

カルシウム拮抗剤:
ベラパミル塩酸塩
ジルチアゼム塩酸塩

房室伝導障害、左室不全、低血圧を起こすおそれがある。

相互に作用が増強される。

ジギタリス製剤:
ジゴキシン
ジギトキシン

心刺激伝導障害(徐脈、房室ブロック等)があらわれるおそれがある。

相加的に作用(心刺激伝導抑制作用)を増強させる。

CYP2D6阻害作用を有する薬剤:
キニジン硫酸塩水和物
選択的セロトニン再取り込み阻害剤

β-遮断作用(例えば心拍数減少、徐脈)が増強するとの報告がある。

これらの薬剤は本剤の代謝酵素であるP450(CYP2D6)を阻害し、本剤の血中濃度が上昇する可能性がある。

11. 副作用

次の副作用があらわれることがあるので、観察を十分に行い、異常が認められた場合には投与を中止するなど適切な処置を行うこと。

11.1 重大な副作用

  1. 11.1.1 眼類天疱瘡(頻度不明)

    結膜充血、角膜上皮障害、乾性角結膜炎、結膜萎縮、睫毛内反、眼瞼眼球癒着等があらわれることがある。

  2. 11.1.2 気管支痙攣、呼吸困難、呼吸不全(いずれも頻度不明)

    β-受容体遮断による気管支平滑筋収縮作用により、気管支痙攣、呼吸困難、呼吸不全があらわれることがある。

  3. 11.1.3 心ブロック、うっ血性心不全、心停止(いずれも頻度不明)

    β-受容体遮断による陰性変時・変力作用により、心ブロック、うっ血性心不全、心停止があらわれることがある。,,

  4. 11.1.4 脳虚血、脳血管障害(いずれも頻度不明)
  5. 11.1.5 全身性エリテマトーデス(頻度不明)

11.2 その他の副作用

5%以上

1~5%未満

1%未満

頻度不明

灼熱感・かゆみ・異物感等の眼刺激症状

霧視・視力低下等の視力障害、角膜炎・角膜びらん・角膜上皮障害等の角膜障害、結膜充血、眼乾燥感

眼瞼炎、眼瞼浮腫、眼痛、眼瞼下垂、眼脂、羞明

角膜知覚低下、複視、結膜炎、結膜浮腫、眼底黄斑部の浮腫・混濁1)

循環器

徐脈等の不整脈、低血圧

失神、浮腫、レイノー現象、四肢冷感、動悸

精神神経系

頭痛、めまい

抑うつ、重症筋無力症の増悪、悪夢、感覚異常、不眠

消化器

悪心

下痢、消化不良、腹痛、口渇

その他

不快、倦怠感

脱力感、耳鳴、筋肉痛、胸部圧迫感、発疹、咳

1) 無水晶体眼又は眼底に病変のある患者等に長期連用した場合

14. 適用上の注意

14.1 薬剤交付時の注意

患者に対し以下の点に注意するよう指導すること。
・本剤に含まれているベンザルコニウム塩化物はソフトコンタクトレンズに吸着されることがあるので、ソフトコンタクトレンズを装用している場合には、点眼前にレンズを外し、点眼後少なくとも5~10分間の間隔をあけて再装用すること。
・薬液汚染防止のため、点眼のとき、容器の先端が直接目に触れないように注意すること。
・患眼を開瞼して結膜囊内に点眼し、1~5分間閉瞼して涙囊部を圧迫させた後、開瞼すること。
・他の点眼剤を併用する場合には、少なくとも5分以上間隔をあけてから点眼すること。
・遮光して保存すること。

16. 薬物動態

16.1 血中濃度

・健康成人に0.5%チモロールマレイン酸塩点眼液を1滴点眼し、クロスオーバー法により点眼後、涙のう部圧迫処置の有無(n=20)及び閉瞼処置の有無(n=16)による1時間後の平均血漿中濃度を比較検討した。その結果、平均血漿中濃度は涙のう部圧迫処置群、無処置群では、各々0.41ng/mL、1.28ng/mLで、閉瞼処置群、無処置群では、各々0.46ng/mL、1.34ng/mLを示し、これらの処置による血漿中移行抑制が有意に認められた2)(外国人データ)。

16.3 分布

・血漿タンパク結合率は約60%である3)
・白色ウサギに14C-チモロールマレイン酸塩を点眼したとき、角膜、虹彩、毛様体、前房水などに高濃度に分布するが、水晶体、視神経、血漿などへの分布は少ないことが認められた。一方、有色ウサギでは、メラニン色素を含まない組織での分布は白色ウサギと同等であるが、メラニン色素を含む虹彩、毛様体、網脈絡膜には高濃度に分布することが認められた4)

16.4 代謝

・チモロールは主としてCYP2D6により代謝される5),6)in vivo)。

17. 臨床成績

17.1 有効性及び安全性に関する試験

  1. 17.1.1 国内第Ⅲ相試験

    ピロカルピン塩酸塩で眼圧が24mmHg以下に調整されていた緑内障、高眼圧症患者211例(有効性解析対象198例)を対象に、全国21施設でチモロールマレイン酸塩点眼液0.12)、0.25及び0.5%を1日2回、8週間点眼した結果、チモロールマレイン酸塩点眼液の有用性が認められた。

    0.25%及び0.5%群において副作用は136例中44例(32.4%)に認められ、主な副作用はしみる20件であった7)

    2) チモロールマレイン酸塩点眼液が承認されている濃度は0.25%及び0.5%、用法・用量は1回1滴、1日2回である。

18. 薬効薬理

18.1 作用機序

チモロールマレイン酸塩の眼圧下降作用機序の詳細は明らかでないが、サル、健康成人でのフルオロフォトメトリー試験及び緑内障患者でのトノグラフィー試験において、主に房水産生の抑制によることが示唆されている8),9),10),11)

18.2 眼圧下降作用

ウサギにおけるα-キモトリプシン惹起高眼圧及び水負荷による眼圧上昇試験において、チモロールマレイン酸塩の点眼は有意に眼圧上昇を抑制することが認められている12)

18.3 β-受容体遮断作用

ラット、イヌ、ネコにチモロールマレイン酸塩を全身投与した場合、イソプレナリンにより惹起された心拍数、心筋収縮力及び心拍出量の増加は著明に抑制され、チモロールマレイン酸塩点眼液のβ-受容体遮断作用はピンドロールと同程度、プロプラノロールより数倍強力である。またチモロールマレイン酸塩は有意の内因性交感神経刺激作用、直接心筋抑制作用、局所麻酔作用を示さない13),14)

18.4 生物学的同等性試験

  • 〈チモロール点眼液0.25%「テイカ」〉
  1. 18.4.1 α‐キモトリプシン惹起高眼圧

ウサギのα-キモトリプシン惹起高眼圧モデルに対する眼圧下降作用について、本剤0.25%及びチモプトール点眼液0.25%を1日2回1週間点眼投与し、1日3回(午前9時、11時及び午後4時)眼圧を測定した。得られた結果について統計解析を行った結果、両製剤の生物学的同等性が確認された15)

各時間における眼圧と点眼前眼圧との差(mmHg)

(平均値±標準誤差、各群n=10)

  1. 18.4.2 水負荷高眼圧

ウサギの水負荷高眼圧モデルに対する眼圧上昇抑制作用について、本剤0.25%及びチモプトール点眼液0.25%をそれぞれ薬剤点眼1時間前(水負荷30分前に薬剤点眼)、水負荷後20、40、60、80、100、120及び180分後に眼圧を測定した。得られた結果について統計解析を行った結果、両製剤の生物学的同等性が確認された15)

各時間における眼圧とイニシャル値との差(mmHg)

(平均値±標準誤差、各群n=10)

  1. 18.4.3 カフェイン負荷高眼圧

ウサギのカフェイン負荷高眼圧モデルに対する眼圧上昇抑制作用について、本剤0.25%及びチモプトール点眼液0.25%をそれぞれ薬剤点眼1時間前(カフェイン負荷30分前に薬剤点眼)、カフェイン負荷後30分、1、2、3、4及び6時間後に眼圧を測定した。得られた結果について統計解析を行った結果、両製剤の生物学的同等性が確認された15)

各時間における眼圧とイニシャル値との差(mmHg)

(平均値±標準誤差、各群n=10)

 

  • 〈チモロール点眼液0.5%「テイカ」〉
  1. 18.4.4 α‐キモトリプシン惹起高眼圧

ウサギのα-キモトリプシン惹起高眼圧モデルに対する眼圧下降作用について、本剤0.5%及びチモプトール点眼液0.5%を1日2回1週間点眼投与し、1日3回(午前9時、11時及び午後4時)眼圧を測定した。得られた結果について統計解析を行った結果、両製剤の生物学的同等性が確認された15)

各時間における眼圧と点眼前眼圧との差(mmHg)

(平均値±標準誤差、各群n=10)

  1. 18.4.5 水負荷高眼圧

ウサギの水負荷高眼圧モデルに対する眼圧上昇抑制作用について、本剤0.5%及びチモプトール点眼液0.5%をそれぞれ薬剤点眼1時間前(水負荷30分前に薬剤点眼)、水負荷後20、40、60、80、100、120及び180分後に眼圧を測定した。得られた結果について統計解析を行った結果、両製剤の生物学的同等性が確認された15)

各時間における眼圧とイニシャル値との差(mmHg)

(平均値±標準誤差、各群n=10)

  1. 18.4.6 カフェイン負荷高眼圧

ウサギのカフェイン負荷高眼圧モデルに対する眼圧上昇抑制作用について、本剤0.5%及びチモプトール点眼液0.5%をそれぞれ薬剤点眼1時間前(カフェイン負荷30分前に薬剤点眼)、カフェイン負荷後30分、1、2、3、4及び6時間後に眼圧を測定した。得られた結果について統計解析を行った結果、両製剤の生物学的同等性が確認された15)

各時間における眼圧とイニシャル値との差(mmHg)

(平均値±標準誤差、各群n=10)

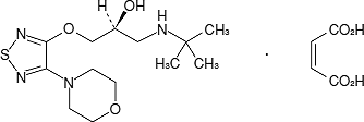
19. 有効成分に関する理化学的知見

一般的名称

チモロールマレイン酸塩(Timolol Maleate)

化学名

(2S)-1-[(1,1-Dimethylethyl)amino]-3-(4-morpholin-4-yl-1,2,5-thiadiazol-3-yloxy)propan-2-ol monomaleate

分子式

C13H24N4O3S・C4H4O4

分子量

432.49

性状

本品は白色~微黄白色の結晶性の粉末である。
本品は酢酸(100)に溶けやすく、水又はエタノール(99.5)にやや溶けやすい。
本品は0.1mol/L塩酸試液に溶ける。
融点:約197℃(分解)

化学構造式


      

20. 取扱い上の注意

外箱開封後は、遮光して保存すること。

22. 包装

  • 〈チモロール点眼液0.25%「テイカ」〉

    プラスチック点眼容器:5mL×10本

  • 〈チモロール点眼液0.5%「テイカ」〉

    プラスチック点眼容器:5mL×10本

24. 文献請求先及び問い合わせ先

テイカ製薬株式会社 学術部

〒930-0982 富山市荒川一丁目3番27号

TEL 076-431-1717  FAX 076-431-6707

26. 製造販売業者等

26.1 製造販売元

テイカ製薬株式会社

富山市荒川一丁目3番27号

〒100-0013 東京都千代田区霞が関3-3-2 新霞が関ビル

画面を閉じる

Copyright © Pharmaceuticals and Medical Devices Agency, All Rights reserved.