医療用医薬品 詳細表示

イソプロピルウノプロストン点眼液0.12%「TS」

処方せん医薬品以外の医薬品

添付文書番号
企業コード
作成又は改訂年月
日本標準商品分類番号
薬効分類名
承認等
一般的名称
3.組成・性状
3.1組成
3.2製剤の性状
4.効能又は効果
6.用法及び用量
8.重要な基本的注意
9.特定の背景を有する患者に関する注意
9.5妊婦
9.6授乳婦
9.7小児等
9.8高齢者
11.副作用
11.2その他の副作用
14.適用上の注意
17.臨床成績
17.1有効性及び安全性に関する試験
17.3その他
18.薬効薬理
18.1作用機序
18.2眼圧下降作用
18.3眼組織血流に対する作用
18.4BKチャネル活性作用
18.5生物学的同等性試験
19.有効成分に関する理化学的知見
20.取扱い上の注意
22.包装
23.主要文献
24.文献請求先及び問い合わせ先
26.製造販売業者等

イソプロピルウノプロストン点眼液0.12%「TS」

添付文書番号

1319732Q1043_1_06

企業コード

470004

作成又は改訂年月

2024年3月改訂(第1版)

日本標準商品分類番号

871319

薬効分類名

イオンチャネル開口薬
緑内障・高眼圧症治療剤

承認等

イソプロピルウノプロストン点眼液0.12%「TS」

販売名コード

YJコード

1319732Q1043

販売名英語表記

ISOPROPYL UNOPROSTONE Ophthalmic Solution 0.12%「TS」

販売名ひらがな

いそぷろぴるうのぷろすとんてんがんえき0.12%「TS」

承認番号等

承認番号

22100AMX00042000

販売開始年月

2009年5月

貯法・有効期間

貯法

室温保存

有効期間

3年

一般的名称

イソプロピル ウノプロストン点眼液

3. 組成・性状

3.1 組成

イソプロピルウノプロストン点眼液0.12%「TS」

有効成分1mL中 イソプロピル ウノプロストン   1.2mg
添加剤ホウ酸、トロメタモール、塩酸、グリセリン、モノステアリン酸ポリエチレングリコール、クロルヘキシジングルコン酸塩

3.2 製剤の性状

イソプロピルウノプロストン点眼液0.12%「TS」

pH5.5~7.0
浸透圧比0.6~0.8
性状無色澄明の無菌水性点眼剤

4. 効能又は効果

緑内障、高眼圧症

6. 用法及び用量

通常、1回1滴、1日2回点眼する。

8. 重要な基本的注意

本剤投与中に角膜障害があらわれることがあるので、霧視、異物感、眼痛等の自覚症状が持続する場合には、直ちに受診するよう患者に十分指導すること。

9. 特定の背景を有する患者に関する注意

9.5 妊婦

妊婦又は妊娠している可能性のある女性には治療上の有益性が危険性を上回ると判断される場合にのみ投与すること。生殖毒性試験において器官形成期のラットの高用量群(5mg/kg/day)、周産期・授乳期のラットの高用量群(1.25mg/kg/day)及び器官形成期のウサギの高用量群(0.3mg/kg/day)で流早産の増加傾向がみられた。

9.6 授乳婦

治療上の有益性及び母乳栄養の有益性を考慮し、授乳の継続又は中止を検討すること。動物実験(ラット)で乳汁中へ移行することが認められた。

9.7 小児等

小児等を対象とした有効性及び安全性を指標とした臨床試験は実施していない。

9.8 高齢者

一般に生理機能が低下している。

11. 副作用

次の副作用があらわれることがあるので、観察を十分に行い、異常が認められた場合には投与を中止するなど適切な処置を行うこと。

11.2 その他の副作用

2%以上

1~2%未満

0.1~1%未満

頻度不明

眼:結膜

結膜充血

眼脂、結膜浮腫

眼:角膜

角膜炎

角膜びらん、角膜点状混濁

眼:虹彩

虹彩炎、虹彩色素沈着

眼:眼瞼

眼瞼発赤、眼瞼炎

眼瞼色素沈着、眼瞼部多毛

眼:眼刺激

眼痛、一過性眼刺激、灼熱感、異物感、違和感

かゆみ

眼:その他

霧視

近見視力障害、複視、視力異常(視力低下、暗黒感、一過性青視症等)、一過性近視

その他

頭痛、頭重、頭部圧迫感、口腔内乾燥、鼻閉、舌先のしびれ、悪心、嘔吐、動悸

14. 適用上の注意

14.1 薬剤交付時の注意

  • 患者に対し以下の点に注意するよう指導すること。
    • 薬液汚染防止のため、点眼のとき、容器の先端が直接目に触れないように注意すること。
    • 患眼を開瞼して結膜嚢内に点眼し、1~5分間閉瞼して涙嚢部を圧迫させた後、開瞼すること。
    • 他の点眼剤を併用する場合には、少なくとも5分以上間隔をあけてから点眼すること。

17. 臨床成績

17.1 有効性及び安全性に関する試験

  1. 17.1.1 国内第Ⅲ相試験(二重遮蔽比較試験)

    全国18施設で原発開放隅角緑内障及び高眼圧症の成人患者を対象に、0.12%イソプロピル ウノプロストン点眼液70例及び0.5%チモロールマレイン酸塩点眼液(対照薬)77例による無作為割付二重遮蔽比較試験(1回1滴、1日2回12週間)を実施した。その結果、0.12%イソプロピル ウノプロストン点眼液における改善以上※1は91.4%(64/70例)であり、対照薬との非劣性が確認された。なお、やや改善以上※2は98.6%(69/70例)であった。
    0.12%イソプロピル ウノプロストン点眼液の副作用は、75例中5例(6.7%)に認められ、主な副作用は結膜充血3件であった1)
    ※1:眼圧のoutflow pressureの下降率20%以上
    ※2:眼圧のoutflow pressureの下降率10%以上

  2. 17.1.2 国内第Ⅲ相試験(長期投与試験)

    全国20施設で原発開放隅角緑内障及び高眼圧症の成人患者を対象に、0.12%イソプロピル ウノプロストン点眼液を1回1滴、1日2回52週間点眼した。その結果、改善以上※1は70.8%(34/48例)、やや改善以上※2は83.3%(40/48例)であった。
    副作用は、59例中11例(18.6%)に認められ、主な副作用は結膜充血7件であった2)
    ※1:眼圧のoutflow pressureの下降率20%以上
    ※2:眼圧のoutflow pressureの下降率10%以上

  3. 17.1.3 国内第Ⅲ相試験(低眼圧緑内障患者に対する試験)

    全国1施設で低眼圧緑内障の成人患者を対象に、オープン試験にて、0.12%イソプロピル ウノプロストン点眼液を両眼に1回1滴、1日2回24週間点眼した。その結果、改善以上※1は75%(9/12例)、やや改善以上※2は83.3%(10/12例)であった。
    副作用は、全症例で認められなかった3)
    ※1:眼圧のoutflow pressureの下降率20%以上
    ※2:眼圧のoutflow pressureの下降率10%以上

17.3 その他

  1. 17.3.1 視野への効果

    正常眼圧緑内障患者40例、40眼に0.12%イソプロピル ウノプロストン点眼液単独1日2回10年間点眼を行った。全例視野変化解析で平均偏差(MD)のスロープが有意(p<5%)の視野障害進行眼は9眼(22.5%)であり、残りの31眼(77.5%)において視野障害進行が抑制された。全例におけるMDの年平均進行度は-0.16±0.32dBであり、進行9眼においては-0.56±0.15dBであった4)

18. 薬効薬理

18.1 作用機序

ウサギ5),6)、ネコ6)、健康人7),8)及び緑内障・高眼圧症患者9)でのフルオロフォトメトリー試験又はトノグラフィー試験において、イソプロピル ウノプロストン点眼液の眼圧下降作用は主経路又は副経路を介する房水流出の促進によることが示唆された。

  1. 18.1.1 ウサギ、ネコにおいてイソプロピル ウノプロストン点眼液の点眼後にトノグラフィーにより測定した房水流出率の増加が認められ、ウサギ、サルにおいてイソプロピル ウノプロストン点眼液の眼圧下降作用はピロカルピンにより阻害されないことから、各種正常動物にみられるイソプロピル ウノプロストン点眼液の眼圧下降は、主経路における房水流出抵抗の減少が関与すると考えられる6)
  2. 18.1.2 健康人を対象としたフルオロフォトメトリー試験及びトノグラフィー試験においてイソプロピル ウノプロストン点眼液の眼圧下降作用は主に副経路からの房水流出の促進によると考えられる7),8)
  3. 18.1.3 緑内障・高眼圧症患者を対象としたフルオロフォトメトリー試験においてイソプロピル ウノプロストン点眼液の眼圧下降作用は主経路からの房水流出の促進によると考えられる9)

18.2 眼圧下降作用

  1. 18.2.1 ウサギ、ネコ、サルにイソプロピル ウノプロストンを点眼した場合、速やかかつ持続的な眼圧下降作用が認められ、ウサギにおいては用量依存的であった10)
  2. 18.2.2 健康人又は緑内障・高眼圧症患者にイソプロピル ウノプロストン点眼液を点眼した場合、1日2回の点眼で瞳孔径や視力及び血圧や脈拍数に影響を及ぼすことなく眼圧コントロールが得られ、長期点眼においても眼圧が良好に維持されることが認められた1),2),11),12),13),14),15),16),17)
  3. 18.2.3 緑内障及び高眼圧症患者においてイソプロピル ウノプロストン点眼液と1%ピロカルピン点眼液の眼圧下降効果は相加的であると考えられる18)

18.3 眼組織血流に対する作用

  1. 18.3.1 ウサギにイソプロピル ウノプロストンを点眼すると脈絡膜組織血流量を増加させることが認められている19)
  2. 18.3.2 健康人に0.12%イソプロピル ウノプロストン点眼液を単回点眼すると、網膜中心動脈・短後毛様動脈の最大流速・平均流速・最低流速20)、脈絡膜-網膜NB値(血流速度の指標)21)及び視神経乳頭部・後極部網膜の血流22),23)が増加したと報告されている。また、健康人に0.12%イソプロピル ウノプロストン点眼液を7日間又は21日間点眼すると、視神経乳頭及び脈絡膜-網膜NB値が増加したと報告されている24),25)
  3. 18.3.3 正常眼圧緑内障患者に0.12%イソプロピル ウノプロストン点眼液を単回点眼すると、短後毛様動脈の流速26)及び視神経乳頭部・後極部網膜の血流22),23)が増加したと報告されている。また、早期(湖崎分類I・II期)の正常眼圧緑内障患者に0.12%イソプロピル ウノプロストン点眼液を6カ月間点眼すると、眼動脈血流速度が増加したと報告されている27)

18.4 BKチャネル活性作用

イソプロピル ウノプロストン及びその活性体(脱エステル体)は、ヒト線維柱帯細胞において、BKチャネル(大コンダクタンスカルシウム依存性カリウムチャネル)に対し活性を示すことが報告されている28),29)

18.5 生物学的同等性試験

本剤とレスキュラ点眼液0.12%を健康成人男子にそれぞれ1滴両眼の結膜嚢内に点眼し、無投与群を含む3群(クロスオーバー法)の眼圧値を測定した。本剤及びレスキュラ点眼液0.12%において各測定時点の眼圧値及び得られたパラメータ(最低眼圧値、眼圧値-時間曲線下面積)を用いて90%信頼区間法にて統計解析を行った。その結果、眼圧値-時間曲線下面積はlog(0.98)~log(1.04)、最低眼圧値はlog(0.96)~log(1.03)であり、いずれのパラメータもlog(0.80)~log(1.25)の範囲内にあることから両剤の生物学的同等性が確認された30)

 

眼圧値-時間曲線下面積

(mmHg・hr)

最低眼圧値

(mmHg)

本剤

280.7±28.3

11.0±1.3

レスキュラ
点眼液0.12%

282.9±23.0

10.9±0.9

(平均値±標準偏差、n=19)

眼圧値ならびに最低眼圧値、眼圧値-時間曲線下面積のパラメータは、被験者の選択、眼圧の測定回数・時間等の試験条件によって異なる可能性がある。

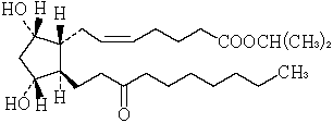
19. 有効成分に関する理化学的知見

一般的名称

イソプロピル ウノプロストン(Isopropyl Unoprostone)

化学名

(+)-isopropyl(Z)-7-[(1R,2R,3R,5S)-3,5-dihydroxy-2-(3-oxodecyl)cyclopentyl]hept-5-enoate

分子式

C25H44O5

分子量

424.61

性状

本品は無色の粘稠性のある液である。
本品はエタノール(95)、エタノール(99.5)、ジエチルエーテル又はヘキサンに極めて溶けやすく、水にほとんど溶けない。

化学構造式


20. 取扱い上の注意

外箱開封後は、遮光して保存すること。

22. 包装

プラスチック点眼容器:5mL×10本

23. 主要文献

1) 東郁郎他.: 日本眼科紀要. 1992; 43(12): 1432-1440

2) 東郁郎他.: あたらしい眼科. 1994; 11(9): 1435-1444

3) 藤森千憲他.: 日本眼科学会雑誌. 1993; 97(10): 1231-1235

4) 小川一郎他.: 日本眼科紀要. 2006; 57(2): 132-138

5) Sakurai, M. et al.: Jpn. J. Ophthalmol. 1993; 37(3): 252-258

6) 吉田祥子他.: 基礎と臨床. 1994; 28(12): 3827-3838

7) Sakurai, M. et al.: Jpn. J. Ophthalmol. 1991; 35(2): 156-165

8) 手塚ひとみ他.: 日本眼科学会雑誌. 1992; 96(4): 496-500

9) Toris, B. et al.: Arch Ophthalmol. 2004; 122: 1782-1787

10) 上野隆司他.: 日本眼科学会雑誌. 1992; 96(4): 462-468

11) 高瀬正彌他.: あたらしい眼科. 1992; 9(11): 1917-1925

12) 東郁郎他.: 日本眼科紀要. 1992; 43(12): 1425-1431

13) 茂木豊他.: 日本眼科紀要. 1993; 44(1): 12-18

14) 逸見知弘他.: あたらしい眼科. 1993; 10(12): 2123-2127

15) 新家真他.: あたらしい眼科. 1993; 10(12): 2117-2121

16) 高瀬正彌他.: 日本眼科学会雑誌. 1992; 96(10): 1261-1267

17) 高瀬正彌他.: あたらしい眼科. 1992; 9(6): 1055-1059

18) 山本哲也他.: 日本眼科学会雑誌. 1994; 98(2): 202-205

19) 杉山哲也他.: あたらしい眼科. 1992; 9(8): 1430-1434

20) 西篤美他.: あたらしい眼科. 1996; 13(9): 1422-1424

21) 小嶌祥太他.: 日本眼科学会雑誌. 1997; 101(7): 605-610

22) 木村至他.: 厚生省特定疾患 網膜脈絡膜・視神経萎縮症調査研究班 平成11年度報告書. 2000; 238-240

23) Kimura, I. et al.: Jpn. J. Ophthalmol. 2005; 49(4): 287-293

24) Tamaki, Y. et al.: J. Ocul. Pharmacol. Ther. 2001; 17(6): 517-527

25) Makimoto,Y. et al.: Jpn. J. Ophthalmol. 2002; 46: 31-35

26) 井戸正史他.: あたらしい眼科. 1999; 16(11): 1577-1579

27) 西村幸英他.: あたらしい眼科. 1998; 15(2): 281-284

28) Thieme, H. et al.: Invest Ophthalmol Vis Sci. 2001; 42(13): 3193-3201

29) Cuppoletti, J. et al.: Invest Ophthalmol Vis Sci. 2012; 53(9): 5178-5189

30) 社内資料: 生物学的同等性に関する資料

24. 文献請求先及び問い合わせ先

テイカ製薬株式会社 学術グループ

〒930-0982 富山市荒川一丁目3番27号

TEL 076-431-1717  FAX 076-431-6707

26. 製造販売業者等

26.1 製造販売元

テイカ製薬株式会社

富山市荒川一丁目3番27号

〒100-0013 東京都千代田区霞が関3-3-2 新霞が関ビル

画面を閉じる

Copyright © Pharmaceuticals and Medical Devices Agency, All Rights reserved.