医療用医薬品 詳細表示

ソフラチュール貼付剤10cm/ソフラチュール貼付剤30cm

添付文書番号

2634711S1046_2_04

企業コード

470004

作成又は改訂年月

2023年10月改訂(第1版)

日本標準商品分類番号

872634

薬効分類名

化膿性疾患用剤

承認等

ソフラチュール貼付剤10cm

販売名コード

YJコード

2634711S1046

販売名英語表記

Sofuratulle Gauze Dressing 10cm

販売名ひらがな

そふらちゅーるちょうふざい10cm

承認番号等

承認番号

22100AMX01306000

販売開始年月

1965年1月

貯法・有効期間

貯法

室温保存

有効期間

2年

ソフラチュール貼付剤30cm

販売名コード

YJコード

2634711S2034

販売名英語表記

Sofuratulle Guaze Dressing 30cm

販売名ひらがな

そふらちゅーるちょうふざい30cm

承認番号等

承認番号

22100AMX01305000

販売開始年月

1982年2月

貯法・有効期間

貯法

室温保存

有効期間

2年

一般的名称

フラジオマイシン硫酸塩貼付剤

2. 禁忌(次の患者には投与しないこと)

ストレプトマイシン、カナマイシン、ゲンタマイシン、フラジオマイシン等のアミノグリコシド系抗生物質及びバシトラシンに対し過敏症の既往歴のある患者

3. 組成・性状

3.1 組成

ソフラチュール貼付剤10cm

有効成分1枚中
日局 フラジオマイシン硫酸塩   10.8mg(力価)
添加剤精製ラノリン、白色ワセリン

ソフラチュール貼付剤30cm

有効成分1枚中
日局 フラジオマイシン硫酸塩   32.4mg(力価)
添加剤精製ラノリン、白色ワセリン

3.2 製剤の性状

ソフラチュール貼付剤10cm

性状黄白色の軟膏を木綿ガーゼに浸透させたものである。
大きさ(cm)10×10
重量(g)1.8

ソフラチュール貼付剤30cm

性状黄白色の軟膏を木綿ガーゼに浸透させたものである。
大きさ(cm)10×30
重量(g)5.4

4. 効能又は効果

〈適応菌種〉

フラジオマイシンに感性のブドウ球菌属、レンサ球菌属(肺炎球菌を除く)

〈適応症〉

外傷・熱傷及び手術創等の二次感染、びらん・潰瘍の二次感染

6. 用法及び用量

本品の1~数枚を直接患部に当て、その上を無菌ガーゼで覆う。

8. 重要な基本的注意

  1. 8.1 本剤の使用にあたっては、耐性菌の発現等を防ぐため、原則として感受性を確認し、疾病の治療上必要な最小限の期間の使用にとどめること。
  2. 8.2 感作されるおそれがあるので、観察を十分に行い感作されたことを示す兆候(そう痒、発赤、腫脹、丘疹、小水疱等)があらわれた場合には、使用を中止すること。
  3. 8.3 広範囲な熱傷、潰瘍のある皮膚には長期間連用しないこと。
  4. 8.4 腎障害、難聴があらわれることがあるので、長期連用を避けること。

9. 特定の背景を有する患者に関する注意

9.5 妊婦

妊婦又は妊娠している可能性のある女性には、治療上の有益性が危険性を上回ると判断される場合にのみ使用すること。

11. 副作用

次の副作用があらわれることがあるので、観察を十分に行い、異常が認められた場合には投与を中止するなど適切な処置を行うこと。

11.1 重大な副作用

  1. 11.1.1 腎障害、難聴(いずれも頻度不明)

11.2 その他の副作用

頻度不明

過敏症

発疹、接触皮膚炎

18. 薬効薬理

18.1 作用機序

フラジオマイシン硫酸塩の作用は殺菌的で、作用機序は蛋白合成阻害である。

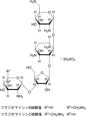
19. 有効成分に関する理化学的知見

一般的名称

フラジオマイシン硫酸塩(Fradiomycin Sulfate)

化学名

フラジオマイシンB硫酸塩

2,6-Diamino-2,6-dideoxy-α-D-glucopyranosyl-(1→4)-[2,6-diamino-2,6-dideoxy-β-L-idopyranosyl-(1→3)-β-D-ribofuranosyl-(1→5)]-2-deoxy-D-streptamine trisulfate

フラジオマイシンC硫酸塩

2,6-Diamino-2,6-dideoxy-α-D-glucopyranosyl-(1→4)-[2,6-diamino-2,6-dideoxy-α-D-glucopyranosyl-(1→3)-β-D-ribofuranosyl-(1→5)]-2-deoxy-D-streptamine trisulfate

分子式

C23H46N6O13・3H2SO4

分子量

908.88

性状

本品は白色~淡黄色の粉末である。
本品は水に溶けやすく、エタノール(95)にほとんど溶けない。
本品は吸湿性である。

化学構造式


20. 取扱い上の注意

夏季には涼しい場所に保管すること。

22. 包装

  • 〈ソフラチュール貼付剤10cm〉

    10枚

  • 〈ソフラチュール貼付剤30cm〉

    10枚

24. 文献請求先及び問い合わせ先

テイカ製薬株式会社 学術部

〒930-0982 富山市荒川一丁目3番27号

TEL 076-431-1717  FAX 076-431-6707

26. 製造販売業者等

26.1 製造販売元

テイカ製薬株式会社

富山市荒川一丁目3番27号

〒100-0013 東京都千代田区霞が関3-3-2 新霞が関ビル

画面を閉じる

Copyright © Pharmaceuticals and Medical Devices Agency, All Rights reserved.