医療用医薬品 詳細表示

ビスダーム軟膏0.1%/ビスダームクリーム0.1%

処方せん医薬品以外の医薬品

添付文書番号
企業コード
作成又は改訂年月
日本標準商品分類番号
薬効分類名
承認等
一般的名称
2.禁忌(次の患者には投与しないこと)
3.組成・性状
3.1組成
3.2製剤の性状
4.効能又は効果
5.効能又は効果に関連する注意
6.用法及び用量
8.重要な基本的注意
9.特定の背景を有する患者に関する注意
9.5妊婦
9.7小児等
11.副作用
11.1重大な副作用
11.2その他の副作用
14.適用上の注意
15.その他の注意
15.2非臨床試験に基づく情報
16.薬物動態
16.2吸収
16.3分布
16.5排泄
17.臨床成績
17.1有効性及び安全性に関する試験
18.薬効薬理
18.1作用機序
18.2抗炎症作用
18.3胸腺萎縮作用
18.4副腎皮質機能抑制作用
19.有効成分に関する理化学的知見
22.包装
23.主要文献
24.文献請求先及び問い合わせ先
26.製造販売業者等

ビスダーム軟膏0.1%/ビスダームクリーム0.1%

添付文書番号

2646718M1040_2_01

企業コード

470006

作成又は改訂年月

2023年11月改訂(第2版)
2022年11月改訂(第1版)

日本標準商品分類番号

872646

薬効分類名

外用合成副腎皮質ホルモン剤

承認等

ビスダーム軟膏0.1%

販売名コード

YJコード

2646718M1040

販売名英語表記

VISDERM Ointment 0.1%

販売名ひらがな

びすだーむなんこう0.1%

承認番号等

承認番号

22000AMX00124000

販売開始年月

1982年2月

貯法・有効期間

貯法

室温保存

有効期間

3年

規制区分

劇薬

ビスダームクリーム0.1%

販売名コード

YJコード

2646718N1045

販売名英語表記

VISDERM Cream 0.1%

販売名ひらがな

びすだーむくりーむ0.1%

承認番号等

承認番号

22000AMX00123000

販売開始年月

1982年2月

貯法・有効期間

貯法

室温保存

有効期間

3年

規制区分

劇薬

一般的名称

アムシノニド製剤

2. 禁忌(次の患者には投与しないこと)

  1. 2.1 皮膚結核、単純疱疹、水痘、帯状疱疹、種痘疹の患者
    [症状を増悪させるおそれがある。]
  2. 2.2 本剤の成分に対し過敏症の既往歴のある患者
  3. 2.3 鼓膜に穿孔のある湿疹性外耳道炎の患者
    [穿孔の治癒を阻害するおそれがある。また、感染症があらわれるおそれがある。]
  4. 2.4 潰瘍、第2度深在性以上の熱傷・凍傷の患者
    [上皮形成を阻害するおそれがある。また、感染症があらわれるおそれがある。]

3. 組成・性状

3.1 組成

ビスダーム軟膏0.1%

有効成分1g中 アムシノニド   1mg
添加剤炭酸プロピレン、エチレンカーボネート、セタノール、モノステアリン酸ポリエチレングリコール、プロピレングリコール、ブチルヒドロキシアニソール、没食子酸プロピル、クエン酸、白色ワセリン

ビスダームクリーム0.1%

有効成分1g中 アムシノニド   1mg
添加剤ベンジルアルコール、セタノール、モノステアリン酸ポリエチレングリコール、パルミチン酸イソプロピル、グリセリン、D-ソルビトール、乳酸、水酸化ナトリウム

3.2 製剤の性状

ビスダーム軟膏0.1%

剤形軟膏剤
不透明な淡黄白色~微黄色

ビスダームクリーム0.1%

剤形クリーム剤
不透明な白色

4. 効能又は効果

  • 湿疹・皮膚炎群(手湿疹、進行性指掌角皮症、ビダール苔癬、日光皮膚炎を含む)
  • 痒疹群、虫さされ
  • 乾癬
  • 掌蹠膿疱症
  • 扁平苔癬
  • 紅皮症
  • 慢性円板状エリテマトーデス
  • 円形脱毛症

5. 効能又は効果に関連する注意

皮膚感染を伴う湿疹・皮膚炎には使用しないことを原則とするが、やむを得ず使用する必要がある場合には、あらかじめ適切な抗菌剤、抗真菌剤による治療を行うか、又はこれらとの併用を考慮すること。

6. 用法及び用量

通常1日1~数回、適量を患部に塗布する。
なお、症状により適宜増減する。

8. 重要な基本的注意

  1. 8.1 大量又は長期にわたる広範囲の密封法(ODT)等の使用により、副腎皮質ステロイド剤を全身投与した場合と同様な症状があらわれることがある。,,

9. 特定の背景を有する患者に関する注意

9.5 妊婦

妊婦又は妊娠している可能性のある女性に対しては大量又は長期にわたる広範囲の使用を避けること。

9.7 小児等

長期・大量使用又は密封法(ODT)により発育障害を来すおそれがある。

11. 副作用

次の副作用があらわれることがあるので、観察を十分に行い、異常が認められた場合には投与を中止するなど適切な処置を行うこと。

11.1 重大な副作用

  1. 11.1.1 後囊白内障、緑内障(頻度不明)

    眼瞼皮膚への使用により、眼圧亢進、緑内障を起こすことがある。大量又は長期にわたる広範囲の使用、密封法(ODT)により、後囊白内障、緑内障等があらわれることがある。

11.2 その他の副作用

0.1~5%未満

0.1%未満

頻度不明

皮膚の感染症1)

細菌性感染症(伝染性膿痂疹、毛囊炎等)

真菌性感染症(カンジダ症・白癬症等)

その他の皮膚症状2)

ステロイドざ瘡、刺激感(そう痒、熱感を含む)

酒さ様皮膚炎・口囲皮膚炎(頬、口囲等に丘疹、膿疱、毛細血管拡張)、ステロイド皮膚(皮膚萎縮、毛細血管拡張)、乾燥、紫斑、多毛、色素脱失、接触皮膚炎様症状

魚鱗癬様皮膚変化

過敏症

紅斑、腫脹

下垂体・副腎皮質系機能3)

下垂体・副腎皮質系機能抑制

1) 密封法(ODT)の場合、起こりやすい。適切な抗菌剤、抗真菌剤等を併用し、症状が速やかに改善しない場合には、使用を中止すること。
2) 長期連用によりあらわれることがある。できるかぎりその使用を差し控え、副腎皮質ステロイドを含有しない薬剤に切り替えること(刺激感(そう痒、熱感を含む)、乾燥及び接触皮膚炎様症状を除く)。
3) 大量又は長期にわたる広範囲の使用、密封法(ODT)により来すことがあるので注意すること。

14. 適用上の注意

14.1 薬剤投与時の注意

眼科用として使用しないこと。

15. その他の注意

15.2 非臨床試験に基づく情報

妊娠ラットの器官形成期に皮下投与したとき、高用量群(0.5mg/kg/日)で死亡児の増加、生存児の低体重、口蓋裂及び肋骨の化骨遅延等が認められている。

16. 薬物動態

16.2 吸収

14C-アムシノニドクリームをラットへ塗布したところ、アムシノニドは主に経皮付属器官から皮膚内へ移行し、皮膚親和性は良好であると考えられた1)

16.3 分布

14C-アムシノニド軟膏及びクリームをラットへ塗布したところ、アムシノニドは肝にのみ非常に低い濃度で分布した1)

16.5 排泄

ラット、ウサギ、イヌでは主に糞中に、サルでは主に尿中に排泄された1)

17. 臨床成績

17.1 有効性及び安全性に関する試験

国内59施設で実施された二重盲検比較試験を含む臨床試験(総計1,527例)における臨床効果の概要は次のとおりである2),3),4),5),6),7),8)

〈疾患別臨床効果〉

疾患名/剤形

軟膏

クリーム

湿疹・皮膚炎群

313/343
(91.3%)

162/176
(92.0%)

475/519
(91.5%)

痒疹群

64/73
(87.7%)

57/71
(80.3%)

121/144
(84.0%)

虫さされ

48/49
(98.0%)

57/58
(98.3%)

105/107
(98.1%)

乾癬

241/255
(94.5%)

138/145
(95.2%)

379/400
(94.8%)

円形脱毛症

3/4
(75.0%)

57/78
(73.1%)

60/82
(73.2%)

その他4)

112/141
(79.4%)

109/134
(81.3%)

221/275
(80.4%)

781/865
(90.3%)

580/662
(87.6%)

1,361/1,527
(89.1%)

4) その他:掌蹠膿疱症、扁平苔癬、紅皮症、慢性円板状エリテマトーデス

18. 薬効薬理

18.1 作用機序

アラキドン酸代謝の抑制、炎症・免疫担当細胞の抑制などの作用が総合的に作用して抗炎症効果を発揮するものと考えられる。

18.2 抗炎症作用

  1. 18.2.1 血管収縮作用

    0.1%アムシノニド軟膏、同クリームをヒト健常皮膚に貼付したときの血管収縮作用は、0.1%トリアムシノロンアセトニド軟膏、同クリーム、0.12%べタメタゾン吉草酸エステル軟膏、同クリームより強い9)

  2. 18.2.2 浮腫抑制作用

    アムシノニド軟膏、同クリームのクロトン油耳介浮腫に対する抑制作用は、べタメタゾン吉草酸エステルより強く、軟膏で2倍、クリームで8倍である10) (ラット、塗布) 。

  3. 18.2.3 遅延型アレルギー皮膚炎症抑制作用

    アムシノニド軟膏、同クリームのピクリルクロライドによる皮膚炎惹起動物に対する炎症抑制作用は、べタメタゾン吉草酸エステルより強い10) (マウス、塗布)。

18.3 胸腺萎縮作用

アムシノニド軟膏、同クリームを48時間塗布したときの胸腺萎縮作用は、べタメタゾン吉草酸エステルより弱く、約1/3以下である10) (ラット、塗布) 。

18.4 副腎皮質機能抑制作用

0.1%アムシノニド軟膏、同クリームを乾癬患者等に大量(軟膏30g/日×3日、クリーム20g/日×7日)に密封塗布した場合は、一時的な副腎皮質機能抑制がみられるが、軟膏1日5g・5日間密封塗布した場合は、副腎皮質機能抑制はほとんどみられない11),12)
クロスオーバー法による0.1%アムシノニド軟膏と0.12%べタメタゾン吉草酸エステル軟膏との比較では、アムシノニドはべタメタゾン吉草酸エステルより、副腎皮質機能抑制は軽度である11)

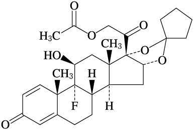
19. 有効成分に関する理化学的知見

一般的名称

アムシノニド(Amcinonide)〔JAN〕

化学名

16α,17α-cyclopentylidenedioxy-9α-fluoro-11β,21-dihydroxy-1,4-pregnadiene-3,20-dione-21-acetate

分子式

C28H35FO7

分子量

502.57

性状

本品は白色~淡黄色の結晶性の粉末である。
本品はアセトン、ジクロロメタン又はクロロホルムに溶けやすく、メタノールにやや溶けやすく、エタノール(95)又は2-プロパノールにやや溶けにくく、ジエチルエーテルに溶けにくく、水にほとんど溶けない。

化学構造式

融点

約252℃(分解)

旋光度

〔α〕20D+86~+94°

22. 包装

  • ビスダーム軟膏0.1%

    〔チューブ〕5g×20、5g×50
    〔ボトル〕500g

  • ビスダームクリーム0.1%

    〔チューブ〕5g×20、5g×50
    〔ボトル〕500g

24. 文献請求先及び問い合わせ先

*帝國製薬株式会社 医薬営業部 製品情報室

〒103-0024 東京都中央区日本橋小舟町6番6号

TEL:0120-189-567

26. 製造販売業者等

26.1 製造販売元

帝國製薬株式会社

香川県東かがわ市三本松567番地

〒100-0013 東京都千代田区霞が関3-3-2 新霞が関ビル

画面を閉じる

Copyright © Pharmaceuticals and Medical Devices Agency, All Rights reserved.