医療用医薬品 詳細表示

MSツワイスロンカプセル10mg/MSツワイスロンカプセル30mg/MSツワイスロンカプセル60mg

処方せん医薬品

添付文書番号
企業コード
作成又は改訂年月
日本標準商品分類番号
薬効分類名
承認等
一般的名称
2.禁忌(次の患者には投与しないこと)
3.組成・性状
3.1組成
3.2製剤の性状
4.効能又は効果
6.用法及び用量
8.重要な基本的注意
9.特定の背景を有する患者に関する注意
9.1合併症・既往歴等のある患者
9.2腎機能障害患者
9.3肝機能障害患者
9.5妊婦
9.6授乳婦
9.7小児等
9.8高齢者
10.相互作用
10.1併用禁忌(併用しないこと)
10.2併用注意(併用に注意すること)
11.副作用
11.1重大な副作用
11.2その他の副作用
13.過量投与
14.適用上の注意
16.薬物動態
16.1血中濃度
16.2吸収
16.4代謝
16.5排泄
17.臨床成績
17.1有効性及び安全性に関する試験
18.薬効薬理
18.1作用機序
18.2鎮痛作用
19.有効成分に関する理化学的知見
22.包装
23.主要文献
24.文献請求先及び問い合わせ先
25.保険給付上の注意
26.製造販売業者等

MSツワイスロンカプセル10mg/MSツワイスロンカプセル30mg/MSツワイスロンカプセル60mg

添付文書番号

8114004N4025_2_06

企業コード

470006

作成又は改訂年月

**2024年11月改訂(第3版)
2024年5月改訂(第2版)

日本標準商品分類番号

878114

薬効分類名

持続性がん疼痛治療剤

承認等

MSツワイスロンカプセル10mg

販売名コード

YJコード

8114004N4025

販売名英語表記

MS-TWICELON Capsules 10mg

販売名ひらがな

MSつわいすろんかぷせる10mg

承認番号等

承認番号

21300AMZ00348

販売開始年月

2001年12月

貯法・有効期間

貯法

室温保存

有効期間

5年

MSツワイスロンカプセル30mg

販売名コード

YJコード

8114004N5021

販売名英語表記

MS-TWICELON Capsules 30mg

販売名ひらがな

MSつわいすろんかぷせる30mg

承認番号等

承認番号

21300AMZ00347

販売開始年月

2001年12月

貯法・有効期間

貯法

室温保存

有効期間

5年

MSツワイスロンカプセル60mg

販売名コード

YJコード

8114004N6028

販売名英語表記

MS-TWICELON Capsules 60mg

販売名ひらがな

MSつわいすろんかぷせる60mg

承認番号等

承認番号

21300AMZ00349

販売開始年月

2001年12月

貯法・有効期間

貯法

室温保存

有効期間

5年

一般的名称

モルヒネ硫酸塩水和物徐放性カプセル

2. 禁忌(次の患者には投与しないこと)

  1. 2.1 重篤な呼吸抑制のある患者[呼吸抑制を増強する。]
  2. 2.2 気管支喘息発作中の患者[気道分泌を妨げる。]
  3. 2.3 重篤な肝機能障害のある患者
  4. 2.4 慢性肺疾患に続発する心不全の患者[呼吸抑制や循環不全を増強する。]
  5. 2.5 痙攣状態(てんかん重積症、破傷風、ストリキニーネ中毒)にある患者[脊髄の刺激効果があらわれる。]
  6. 2.6 急性アルコール中毒の患者[呼吸抑制を増強する。]
  7. 2.7 本剤の成分及びアヘンアルカロイドに対し過敏症の患者
  8. 2.8 出血性大腸炎の患者[腸管出血性大腸菌(O157等)や赤痢菌等の重篤な細菌性下痢のある患者では、症状の悪化、治療期間の延長を来すおそれがある。]
  9. 2.9 ナルメフェン塩酸塩水和物を投与中又は投与中止後1週間以内の患者

3. 組成・性状

3.1 組成

MSツワイスロンカプセル10mg

有効成分1カプセル中
モルヒネ硫酸塩水和物   10mg
添加剤白糖
トウモロコシデンプン
マクロゴール
ヒプロメロース
エチルセルロース
セタノール
タルク
ラウリル硫酸ナトリウム
その他1成分

MSツワイスロンカプセル30mg

有効成分1カプセル中
モルヒネ硫酸塩水和物   30mg
添加剤白糖
トウモロコシデンプン
マクロゴール
ヒプロメロース
エチルセルロース
セタノール
タルク
ラウリル硫酸ナトリウム
赤色3号
その他1成分

MSツワイスロンカプセル60mg

有効成分1カプセル中
モルヒネ硫酸塩水和物   60mg
添加剤白糖
トウモロコシデンプン
マクロゴール
ヒプロメロース
エチルセルロース
セタノール
タルク
ラウリル硫酸ナトリウム
黄色5号
その他1成分

3.2 製剤の性状

MSツワイスロンカプセル10mg

剤形徐放性顆粒を充填した硬カプセル剤
色調顆粒:白色~淡褐色
キャップ:黄色不透明
ボディ:無色透明
外形
4号カプセル
質量約0.065g
識別コードTF-TL10

MSツワイスロンカプセル30mg

剤形徐放性顆粒を充填した硬カプセル剤
色調顆粒:白色~淡褐色
キャップ:淡紅色不透明
ボディ:無色透明
外形
4号カプセル
質量約0.115g
識別コードTF-TL30

MSツワイスロンカプセル60mg

剤形徐放性顆粒を充填した硬カプセル剤
色調顆粒:白色〜淡褐色
キャップ:だいだい色不透明
ボディ:無色透明
外形
3号カプセル
質量約0.199g
識別コードTF-TL60

4. 効能又は効果

激しい疼痛を伴う各種癌における鎮痛

6. 用法及び用量

モルヒネ硫酸塩水和物として、通常、成人1日20~120mgを2回に分割経口投与する。
なお、初回量は10mgとすることが望ましい。
症状に応じて適宜増減する。

8. 重要な基本的注意

  1. 8.1 連用により薬物依存を生じることがあるので、観察を十分に行い、慎重に投与すること。
  2. 8.2 眠気、めまいが起こることがあるので、本剤投与中の患者には自動車の運転等危険を伴う機械の操作に従事させないように注意すること。
  3. 8.3 本剤を増量する場合には、副作用に十分注意すること。

9. 特定の背景を有する患者に関する注意

9.1 合併症・既往歴等のある患者

  1. 9.1.1 細菌性下痢のある患者

    治療上やむを得ないと判断される場合を除き、投与しないこと。治療期間の延長を来すおそれがある。

  2. 9.1.2 心機能障害のある患者

    循環不全を増強するおそれがある。

  3. 9.1.3 呼吸機能障害のある患者

    呼吸抑制を増強するおそれがある。

  4. 9.1.4 脳に器質的障害のある患者

    呼吸抑制や頭蓋内圧の上昇を起こすおそれがある。

  5. 9.1.5 ショック状態にある患者

    循環不全や呼吸抑制を増強するおそれがある。

  6. 9.1.6 代謝性アシドーシスのある患者

    呼吸抑制を起こすおそれがある。

  7. 9.1.7 甲状腺機能低下症(粘液水腫等)の患者

    呼吸抑制や昏睡を起こすおそれがある。

  8. 9.1.8 副腎皮質機能低下症(アジソン病等)の患者

    呼吸抑制作用に対し、感受性が高くなっている。

  9. 9.1.9 薬物依存の既往歴のある患者

    依存性を生じやすい。

  10. 9.1.10 衰弱者

    呼吸抑制作用に対し、感受性が高くなっている。

  11. 9.1.11 前立腺肥大による排尿障害、尿道狭窄、尿路手術術後の患者

    排尿障害を増悪することがある。

  12. 9.1.12 器質的幽門狭窄、麻痺性イレウス又は最近消化管手術を行った患者

    消化管運動を抑制する。

  13. 9.1.13 痙攣の既往歴のある患者

    痙攣を誘発するおそれがある。

  14. 9.1.14 胆嚢障害及び胆石のある患者

    胆道痙攣を起こすことがある。

  15. 9.1.15 重篤な炎症性腸疾患のある患者

    連用した場合、巨大結腸症を起こすおそれがある。

9.2 腎機能障害患者

排泄が遅延し、副作用があらわれるおそれがある。
腎不全患者及び血液透析患者において、薬理活性をもつ代謝物のモルヒネ-6-グルクロナイドの蓄積によると考えられる遷延性の意識障害あるいは遷延性の呼吸抑制が起きたとの報告がある1),2)

9.3 肝機能障害患者

  1. 9.3.1 重篤な肝機能障害のある患者

    投与しないこと。昏睡に陥ることがある。

  2. 9.3.2 肝機能障害のある患者(重篤な肝機能障害のある患者を除く)

    代謝が遅延し、副作用があらわれるおそれがある。

9.5 妊婦

  1. 9.5.1 妊婦又は妊娠している可能性のある女性には、治療上の有益性が危険性を上回ると判断される場合にのみ投与すること。動物試験(マウス、ラット)で催奇形作用(マウスでは脳脱、軸骨格癒合)が報告されている3)
  2. 9.5.2 分娩前に投与した場合、出産後新生児に退薬症候(多動、神経過敏、不眠、振戦等)があらわれることがある。
  3. 9.5.3 分娩時の投与により、新生児に呼吸抑制があらわれることがある。

9.6 授乳婦

本剤投与中は授乳を避けさせること。ヒト母乳中へ移行することがある。

9.7 小児等

新生児、乳児では低用量から投与を開始するなど患者の状態を観察しながら、慎重に投与すること。新生児、乳児では呼吸抑制の感受性が高い。

9.8 高齢者

低用量から投与を開始するなど患者の状態を観察しながら、慎重に投与すること。一般に生理機能が低下しており、特に呼吸抑制の感受性が高い。

10. 相互作用

    10.1 併用禁忌(併用しないこと)

    薬剤名等臨床症状・措置方法機序・危険因子
    • ナルメフェン塩酸塩水和物
      • セリンクロ

    本剤の離脱症状があらわれるおそれがある。また、本剤の効果が減弱するおそれがある。

    μオピオイド受容体拮抗作用により、本剤の作用が競合的に阻害される。

    10.2 併用注意(併用に注意すること)

    薬剤名等臨床症状・措置方法機序・危険因子
    • 中枢神経抑制剤
      • フェノチアジン誘導体
        バルビツール酸誘導体等
    • 吸入麻酔剤
    • モノアミン酸化酵素阻害剤
    • 三環系抗うつ剤
    • β-遮断剤
    • アルコール

    呼吸抑制、低血圧及び顕著な鎮静又は昏睡が起こることがある。

    相加的に中枢神経抑制作用が増強される。

    • クマリン系抗凝血剤
      • ワルファリン

    クマリン系抗凝血剤の作用が増強されることがある。

    機序は不明である。

    • 抗コリン作動性薬剤

    麻痺性イレウスに至る重篤な便秘又は尿貯留が起こることがある。

    相加的に抗コリン作用が増強される。

    • ジドブジン(アジドチミジン)

    ジドブジンの副作用(骨髄抑制等)を増強させるおそれがある。

    ジドブジンのグルクロン酸抱合が競合的に阻害され、ジドブジンの代謝が阻害される。

    • ブプレノルフィン

    ブプレノルフィンの高用量(8mg連続皮下投与)において、本剤の作用に拮抗するとの報告がある。

    μオピオイド受容体拮抗作用により、本剤の作用が競合的に阻害される。

    • **クロピドグレル硫酸塩
    • **チカグレロル
    • **プラスグレル塩酸塩

    **左記の薬剤の血漿中濃度を低下させる可能性がある。

    **本剤の消化管運動抑制作用に関連すると考えられる。

    11. 副作用

    次の副作用があらわれることがあるので、観察を十分に行い、異常が認められた場合には投与を中止するなど適切な処置を行うこと。

    11.1 重大な副作用

    1. 11.1.1 ショック(頻度不明)
    2. 11.1.2 依存性(頻度不明)

      連用により生じることがある。また、連用中における投与量の急激な減少ないし投与の中止により、あくび、くしゃみ、流涙、発汗、悪心、嘔吐、下痢、腹痛、散瞳、頭痛、不眠、不安、せん妄、振戦、全身の筋肉・関節痛、呼吸促迫等の退薬症候があらわれることがあるので、投与を中止する場合には、1日用量を徐々に減量するなど、患者の状態を観察しながら行うこと。

    3. 11.1.3 呼吸抑制(0.7%)

      息切れ、呼吸緩慢、不規則な呼吸、呼吸異常等があらわれた場合には、投与を中止するなど適切な処置を行うこと。なお、本剤による呼吸抑制には、麻薬拮抗剤(ナロキソン、レバロルファン等)が拮抗する。

    4. 11.1.4 錯乱(1.7%)、せん妄(頻度不明)
    5. 11.1.5 無気肺(頻度不明)、気管支痙攣(頻度不明)、喉頭浮腫(頻度不明)
    6. 11.1.6 *麻痺性イレウス(頻度不明)、中毒性巨大結腸(頻度不明)

      炎症性腸疾患の患者に投与した場合、中毒性巨大結腸があらわれるとの報告がある。

    7. 11.1.7 肝機能障害(頻度不明)

      AST上昇、ALT上昇、Al-P上昇等があらわれることがある。

    11.2 その他の副作用

    5%以上

    5%未満

    頻度不明

    過敏症

    発疹、そう痒感等

    循環器

    不整脈、血圧変動、顔面潮紅等

    精神神経系

    眠気・傾眠(11.2%)

    不安定感、意識障害、発汗、めまい、視調節障害等

    *不穏、不安、興奮、痛覚過敏1)、アロディニア

    消化器

    便秘(13.3%)、悪心(14.3%)、嘔吐、口渇

    食欲不振

    その他

    排尿障害、頭蓋内圧の亢進

    *
    1) 増量により痛みが増悪する。

    13. 過量投与

    1. 13.1 症状

      呼吸抑制、意識不明、痙攣、錯乱、血圧低下、重篤な脱力感、重篤なめまい、嗜眠、心拍数の減少、神経過敏、不安、縮瞳、皮膚冷感等を起こすことがある。

    2. 13.2 処置

      麻薬拮抗剤投与を行い、患者に退薬症候又は麻薬拮抗剤の副作用が発現しないよう慎重に投与する。なお、麻薬拮抗剤の作用持続時間はモルヒネのそれより短いので、患者のモニタリングを行うか又は患者の反応に応じて初回投与後は注入速度を調節しながら持続静注する。

    14. 適用上の注意

    14.1 薬剤交付時の注意

    1. 14.1.1 本剤は徐放性の製剤であるため、カプセルの内容物を砕いたり、すりつぶしたりしないで、そのままかまずに服用させること。
    2. 14.1.2 PTP包装の薬剤はPTPシートから取り出して服用するよう指導すること。PTPシートの誤飲により、硬い鋭角部が食道粘膜へ刺入し、更には穿孔をおこして縦隔洞炎等の重篤な合併症を併発することがある。
    3. 14.1.3 本剤が不要となった場合には、病院又は薬局へ返却するなどの処置について適切に指導すること。

    16. 薬物動態

    16.1 血中濃度

    1. 16.1.1 単回投与

      健康成人男子24名に、絶食状態で本剤(30mg)を単回投与したときの血漿中モルヒネ濃度は、下図のような推移を示した4) (外国人データ)。

    16.2 吸収

    健康成人男子24名において、高脂肪食摂取後に本剤(30mg)を単回投与したとき、モルヒネの吸収に対する影響は認められなかった5) (外国人データ)。

    16.4 代謝

    モルヒネの主な代謝産物は、3位及び6位の水酸基が肝臓においてグルクロン酸抱合を受けたモルヒネ-3-グルクロナイド及びモルヒネ-6-グルクロナイドである6),7)

    16.5 排泄

    主として尿中に排泄される6),7) 。がん疼痛患者12例のMSコンチン錠1回30mg、1日2回投与時の定常状態時におけるモルヒネ、モルヒネ-6-グルクロナイド、モルヒネ-3-グルクロナイド及びこれら3者の合計の24時間の全尿中排泄率(平均値±標準偏差)は、それぞれ2.6±2.6%、4.8±1.8%、21.6±11.2%及び29.1±14.1%であった8)

    17. 臨床成績

    17.1 有効性及び安全性に関する試験

    1. 17.1.1 国内第III相臨床試験

      がん疼痛患者を対象としたモルヒネ硫酸塩徐放錠からの切り替え試験において、本剤の疼痛全般改善度を患者アンケート並びに医師評価を指標として評価した結果は、以下のとおりであった9)

      評価法

      有効率(%)

      患者アンケートによる疼痛全般改善度

      95.2%(40/42)

      医師評価による疼痛全般改善度

      100.0%(42/42)

      本剤へ切り替えた後に新たに発現した副作用は、発疹1例、ふらつきによる転倒1例及び動悸1例であった。

    18. 薬効薬理

    18.1 作用機序

    オピオイド受容体の主としてμ受容体を介し、大脳皮質知覚領域の痛覚閾値を上昇させるほか、痛覚伝導路のうち脊髄以上の部位に作用し、脳幹の下行性抑制系の賦活や、視床及び脊髄後角を抑制するものと考えられている。

    18.2 鎮痛作用

    鎮痛作用についてモルヒネ塩酸塩水和物を対照薬として比較した。マウスのhot plate法、酢酸ライジング法及びラットのtail flick法(いずれも経口投与)を用いて検討した結果、硫酸塩(モルヒネ硫酸塩水和物)と塩酸塩(モルヒネ塩酸塩水和物)はほぼ同程度の効力を有することが確認された10)

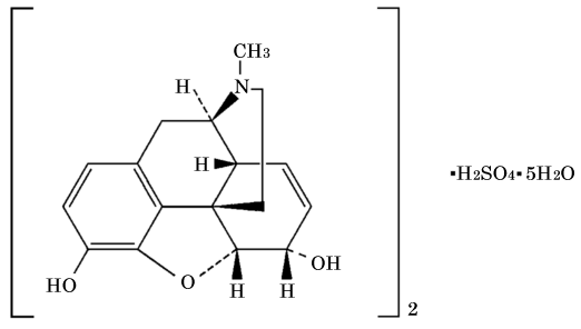
    19. 有効成分に関する理化学的知見

    一般的名称

    モルヒネ硫酸塩水和物
    (Morphine Sulfate Hydrate)(JAN)[日局]

    化学名

    (5R,6S)-4,5-Epoxy-17-methyl-7,8-didehydromorphinan-3,6-diol hemisulfate hemipentahydrate

    分子式

    (C17H19NO32・H2SO4・5H2O

    分子量

    758.83

    性状

    白色の結晶又は結晶性の粉末である。
    ギ酸に極めて溶けやすく、水にやや溶けやすく、メタノールに溶けにくく、エタノール(99.5)に極めて溶けにくい。
    希水酸化ナトリウム試液に溶ける。

    化学構造式

    22. 包装

    • 〈MSツワイスロンカプセル10mg〉

       40カプセル、100カプセル

    • 〈MSツワイスロンカプセル30mg〉

       40カプセル、100カプセル

    • 〈MSツワイスロンカプセル60mg〉

       40カプセル

    24. 文献請求先及び問い合わせ先

    帝國製薬株式会社 医薬営業部 製品情報室

    〒103-0024 東京都中央区日本橋小舟町6番6号

    TEL 0120-189-567

    25. 保険給付上の注意

    本剤は厚生労働省告示第75号(平成24年3月5日付)に基づき、投薬量は1回30日分を限度とされている。

    26. 製造販売業者等

    26.1 製造販売元

    帝國製薬株式会社

    香川県東かがわ市三本松567番地

    26.2 提携

    エチファーム社

    〒100-0013 東京都千代田区霞が関3-3-2 新霞が関ビル

    画面を閉じる

    Copyright © Pharmaceuticals and Medical Devices Agency, All Rights reserved.