医療用医薬品 詳細表示

ラベプラゾールNa錠20mg「AA」

処方せん医薬品以外の医薬品

添付文書番号
企業コード
作成又は改訂年月
日本標準商品分類番号
薬効分類名
承認等
一般的名称
2.禁忌(次の患者には投与しないこと)
3.組成・性状
3.1組成
3.2製剤の性状
4.効能又は効果
5.効能又は効果に関連する注意
6.用法及び用量
7.用法及び用量に関連する注意
8.重要な基本的注意
9.特定の背景を有する患者に関する注意
9.1合併症・既往歴等のある患者
9.3肝機能障害患者
9.5妊婦
9.6授乳婦
9.7小児等
9.8高齢者
10.相互作用
10.1併用禁忌(併用しないこと)
10.2併用注意(併用に注意すること)
11.副作用
11.1重大な副作用
11.2その他の副作用
14.適用上の注意
15.その他の注意
15.1臨床使用に基づく情報
15.2非臨床試験に基づく情報
16.薬物動態
16.1血中濃度
16.2吸収
16.4代謝
16.5排泄
16.7薬物相互作用
17.臨床成績
17.1有効性及び安全性に関する試験
18.薬効薬理
18.1作用機序
19.有効成分に関する理化学的知見
20.取扱い上の注意
22.包装
23.主要文献
24.文献請求先及び問い合わせ先
26.製造販売業者等

ラベプラゾールNa錠20mg「AA」

添付文書番号

2329028F2038_1_16

企業コード

470007

作成又は改訂年月

2025年3月改訂(第2版)
2023年5月改訂

日本標準商品分類番号

872329

薬効分類名

プロトンポンプ阻害剤

承認等

ラベプラゾールNa錠20mg「AA」

販売名コード

YJコード

2329028F2038

販売名英語表記

RABEPRAZOLE Na TABLETS

販売名ひらがな

らべぷらぞーるなとりうむじょう20みりぐらむ「えーえー」

承認番号等

承認番号

22200AMX00666

販売開始年月

2010年11月

貯法・有効期間

貯法

室温保存

有効期間

3年

一般的名称

ラベプラゾールナトリウム

2. 禁忌(次の患者には投与しないこと)

  1. 2.1 本剤の成分に対し過敏症の既往歴のある患者
  2. 2.2 *リルピビリン塩酸塩を投与中の患者

3. 組成・性状

3.1 組成

ラベプラゾールNa錠20mg「AA」

有効成分1錠中 日局ラベプラゾールナトリウム   20mg
添加剤D-マンニトール、酸化マグネシウム、結晶セルロース、ヒドロキシプロピルセルロース、カルメロースカルシウム、低置換度ヒドロキシプロピルセルロース、ステアリン酸マグネシウム、エチルセルロース、ヒプロメロースフタル酸エステル、グリセリン脂肪酸エステル、酸化チタン、黄色三二酸化鉄、カルナウバロウ

3.2 製剤の性状

ラベプラゾールNa錠20mg「AA」

剤形淡黄色の腸溶フィルムコーティング錠
外形表面
裏面
側面
大きさ直径約7.2mm
厚さ約3.7mm
質量約142mg
識別コードAK249

4. 効能又は効果

胃潰瘍、十二指腸潰瘍、吻合部潰瘍、逆流性食道炎、Zollinger-Ellison症候群

5. 効能又は効果に関連する注意

本剤の投与が胃癌による症状を隠蔽することがあるので、悪性でないことを確認のうえ投与すること。

6. 用法及び用量

  • 〈胃潰瘍、十二指腸潰瘍、吻合部潰瘍、Zollinger-Ellison症候群〉

    通常、成人にはラベプラゾールナトリウムとして1回10mgを1日1回経口投与するが、病状により1回20mgを1日1回経口投与することができる。なお、通常、胃潰瘍、吻合部潰瘍では8週間まで、十二指腸潰瘍では6週間までの投与とする。

  • 〈逆流性食道炎〉

    逆流性食道炎の治療においては、通常、成人にはラベプラゾールナトリウムとして1回10mgを1日1回経口投与するが、病状により1回20mgを1日1回経口投与することができる。なお、通常、8週間までの投与とする。また、プロトンポンプインヒビターによる治療で効果不十分な場合、1回10mg又は1回20mgを1日2回、さらに8週間経口投与することができる。ただし、1回20mg1日2回投与は重度の粘膜傷害を有する場合に限る。

7. 用法及び用量に関連する注意

  • 〈胃潰瘍、十二指腸潰瘍、吻合部潰瘍、Zollinger-Ellison症候群〉
    1. 7.1 病状が著しい場合及び再発性・難治性の場合に1回20mgを1日1回投与することができる。
  • 〈逆流性食道炎〉
    1. 7.2 病状が著しい場合及び再発性・難治性の場合に1回20mgを1日1回投与することができる(再発・再燃を繰り返す逆流性食道炎の維持療法、プロトンポンプインヒビターによる治療で効果不十分な場合は除く)。また、プロトンポンプインヒビターによる治療で効果不十分な患者に対し1回10mg又は1回20mgを1日2回、さらに8週間投与する場合は、内視鏡検査で逆流性食道炎が治癒していないことを確認すること。なお、本剤1回20mgの1日2回投与は、内視鏡検査で重度の粘膜傷害を確認した場合に限る

8. 重要な基本的注意

  • 〈効能共通〉
    1. 8.1 本剤の投与中には、血液像や肝機能に注意し、定期的に血液学的検査・血液生化学的検査を行うことが望ましい。
  • 〈胃潰瘍、十二指腸潰瘍、吻合部潰瘍〉
    1. 8.2 長期の使用経験が十分でないので、維持療法には用いないことが望ましい。

9. 特定の背景を有する患者に関する注意

9.1 合併症・既往歴等のある患者

  1. 9.1.1 薬物過敏症の既往歴のある患者

9.3 肝機能障害患者

肝硬変患者で肝性脳症の報告がある。

9.5 妊婦

妊婦又は妊娠している可能性のある女性には治療上の有益性が危険性を上回ると判断される場合にのみ投与すること。動物実験(ラット経口400mg/kg、ウサギ静注30mg/kg)で胎児毒性(ラットで化骨遅延、ウサギで体重の低下、化骨遅延)が報告されている。

9.6 授乳婦

治療上の有益性及び母乳栄養の有益性を考慮し、授乳の継続又は中止を検討すること。動物実験(ラット)で乳汁中へ移行することが報告されている。

9.7 小児等

小児等を対象とした臨床試験は実施していない。

9.8 高齢者

消化器症状等の副作用があらわれた場合は休薬するなど慎重に投与すること。本剤は主として肝臓で代謝されるが、高齢者では肝機能が低下していることが多く、副作用があらわれることがある。

10. 相互作用

  • 本剤の代謝には肝代謝酵素チトクロームP450 2C19(CYP2C19)及び3A4(CYP3A4)の関与が認められている。
    また、本剤の胃酸分泌抑制作用により、併用薬剤の吸収を促進又は抑制することがある。

10.1 併用禁忌(併用しないこと)

薬剤名等臨床症状・措置方法機序・危険因子

リルピビリン塩酸塩(エジュラント)

リルピビリン塩酸塩の作用を減弱するおそれがある。

本剤の胃酸分泌抑制作用により、胃内pHが上昇し、リルピビリン塩酸塩の吸収が低下し、リルピビリンの血中濃度が低下することがある。

10.2 併用注意(併用に注意すること)

薬剤名等臨床症状・措置方法機序・危険因子

ジゴキシン

メチルジゴキシン

相手薬剤の血中濃度が上昇することがある。

本剤の胃酸分泌抑制作用により、胃内pHが上昇し、相手薬剤の吸収を促進する。

イトラコナゾール

ゲフィチニブ

相手薬剤の血中濃度が低下するおそれがある。

本剤の胃酸分泌抑制作用により、胃内pHが上昇し、相手薬剤の吸収を抑制するおそれがある。

水酸化アルミニウムゲル・水酸化マグネシウム含有の制酸剤

本剤単独投与に比べ制酸剤同時服用、制酸剤投与1時間後服用で平均血漿中濃度曲線下面積がそれぞれ8%、6%低下したとの報告がある。

機序は不明である。

メトトレキサート

メトトレキサートの血中濃度が上昇することがある。高用量のメトトレキサートを投与する場合は、一時的に本剤の投与を中止することを考慮すること。

機序は不明である。

11. 副作用

次の副作用があらわれることがあるので、観察を十分に行い、異常が認められた場合には投与を中止するなど適切な処置を行うこと。

11.1 重大な副作用

  1. 11.1.1 ショック(頻度不明)、アナフィラキシー(頻度不明)
  2. 11.1.2 汎血球減少(頻度不明)、無顆粒球症(頻度不明)、血小板減少(0.1%未満)、溶血性貧血(頻度不明)
  3. 11.1.3 劇症肝炎(頻度不明)、肝機能障害(0.1~5%未満)、黄疸(頻度不明)
  4. 11.1.4 間質性肺炎(0.1%未満)

    発熱、咳嗽、呼吸困難、肺音の異常(捻髪音)等が認められた場合には、速やかに胸部X線等の検査を実施し、本剤の投与を中止するとともに、副腎皮質ホルモン剤の投与等の適切な処置を行うこと。

  5. 11.1.5 皮膚障害(頻度不明)

    中毒性表皮壊死融解症(Toxic Epidermal Necrolysis:TEN)、皮膚粘膜眼症候群(Stevens-Johnson症候群)、多形紅斑等があらわれることがある。

  6. 11.1.6 急性腎障害(頻度不明)、間質性腎炎(頻度不明)

    腎機能検査(BUN、クレアチニン等)に注意すること。

  7. 11.1.7 低ナトリウム血症(頻度不明)
  8. 11.1.8 横紋筋融解症(頻度不明)

    筋肉痛、脱力感、CK上昇、血中及び尿中ミオグロビン上昇を特徴とする横紋筋融解症があらわれることがある。

  9. 11.1.9 視力障害(頻度不明)
  10. 11.1.10 錯乱状態(頻度不明)

    せん妄、異常行動、失見当識、幻覚、不安、焦燥、攻撃性等があらわれることがある。

11.2 その他の副作用

0.1~5%未満

0.1%未満

頻度不明

過敏症

発疹、瘙痒感

蕁麻疹

血液

白血球減少、白血球増加、好酸球増多、貧血

赤血球減少、好中球増多、リンパ球減少

肝臓

AST、ALT、Al-P、γ-GTP、LDHの上昇

総ビリルビンの上昇

循環器

血圧上昇

動悸

消化器

便秘、下痢、腹部膨満感、嘔気、口内炎

腹痛、苦味、カンジダ症、胃もたれ、口渇、食欲不振、鼓腸

舌炎、嘔吐、顕微鏡的大腸炎(collagenous colitis、lymphocytic colitis)

精神神経系

頭痛

めまい、ふらつき、眠気、四肢脱力、知覚鈍麻、握力低下、口のもつれ、失見当識

せん妄、昏睡

その他

総コレステロール・中性脂肪・BUNの上昇、蛋白尿、血中TSH増加

かすみ目、浮腫、倦怠感、発熱、脱毛症、しびれ感、CKの上昇

目のちらつき、関節痛、筋肉痛、高アンモニア血症、低マグネシウム血症、女性化乳房

注)発現頻度は製造販売後調査を含む。

14. 適用上の注意

14.1 薬剤交付時の注意

  1. 14.1.1 PTP包装の薬剤はPTPシートから取り出して服用するよう指導すること。PTPシートの誤飲により、硬い鋭角部が食道粘膜へ刺入し、更には穿孔をおこして縦隔洞炎等の重篤な合併症を併発することがある。
  2. 14.1.2 本剤は腸溶錠であり、服用にあたっては、噛んだり、砕いたりせずに、のみくだすよう注意すること。

15. その他の注意

15.1 臨床使用に基づく情報

  1. 15.1.1 本剤の長期投与中に良性の胃ポリープを認めたとの報告がある。
  2. 15.1.2 海外における複数の観察研究で、プロトンポンプインヒビターによる治療において骨粗鬆症に伴う股関節骨折、手関節骨折、脊椎骨折のリスク増加が報告されている。特に、高用量及び長期間(1年以上)の治療を受けた患者で、骨折のリスクが増加した。
  3. 15.1.3 海外における主に入院患者を対象とした複数の観察研究で、プロトンポンプインヒビターを投与した患者においてクロストリジウム・ディフィシルによる胃腸感染のリスク増加が報告されている。

15.2 非臨床試験に基づく情報

  1. 15.2.1 ラットに5mg/kg以上を2年間経口投与した毒性試験において、雌で胃にカルチノイドの発生がみられたとの報告がある。
  2. 15.2.2 動物実験(ラット経口投与25mg/kg以上)で甲状腺重量及び血中サイロキシンの増加が報告されているので、使用にあたっては甲状腺機能に注意する。

16. 薬物動態

16.1 血中濃度

  1. 16.1.1 ラベプラゾールナトリウム単剤投与

    健康成人男子に20mgを絶食下又は食後に経口投与した時の被験者毎に算出した薬物動態パラメータの平均値を表に示す1)

    投与条件

    Cmax
    (ng/mL)

    tmax
    (hr)

    AUC
    (ng・hr/mL)

    絶食下

    437±237

    3.6±0.9

    937±617

    食後

    453±138

    5.3±1.4

    901±544

    (Mean±S.D., n=12)

    また、健康成人男子に5mg、10mg、20mgを絶食下で反復投与した時(投与5日目)の薬物動態パラメータは以下のとおりである2)

    投与量

    表現型

    Cmax
    (ng/mL)

    tmax
    (hr)

    AUC(0-t)
    (ng・hr/mL)

    t1/2
    (hr)

    5mg

    EM

    146±56

    3.0(2.0-4.5)

    236±97

    1.8±0.9

    PM

    252±55

    2.5(1.5-5.5)

    585±137

    4.2±0.5

    10mg

    EM

    383±83

    3.3(2.0-5.0)

    539±200

    1.5±0.4

    PM

    509±64

    2.8(2.0-4.5)

    1230±200

    3.8±0.3

    20mg

    EM

    654±348

    4.0(2.5-8.0)

    994±477

    2.3±1.4

    PM

    822±232

    3.3(3.0-6.0)

    2331±663

    3.7±0.3

    (Mean±S.D., tmaxはMedian(Min-Max),EM n=16,PM n=8)
    ※肝代謝酵素チトクロームP450 2C19(CYP2C19)表現型は、下記遺伝子型より分類される。
    EM(extensive metabolizer):CYP2C191/1、CYP2C191/2又はCYP2C191/3
    PM(poor metabolizer):CYP2C192/2、CYP2C192/3又はCYP2C193/3

  2. 16.1.2 生物学的同等性試験

    ラベプラゾールNa錠20mg「AA」とパリエット錠20mgを、クロスオーバー法によりそれぞれ1錠(ラベプラゾールナトリウムとして20mg)健康成人男性に絶食単回経口投与して血漿中ラベプラゾールナトリウム濃度を測定し、得られた薬物動態パラメータ(AUC、Cmax)について90%信頼区間法にて統計解析を行った結果、log(0.80)~log(1.25)の範囲内であり、両剤の生物学的同等性が確認された3)

    投与量

    AUC0-10
    (ng・hr/mL)

    Cmax
    (ng/mL)

    Tmax
    (hr)

    T1/2
    (hr)

    ラベプラゾールNa錠20mg「AA」

    20mg

    861.854±264.810

    501.6±162.5

    2.8±0.7

    1.010±0.161

    パリエット錠20mg

    20mg

    853.253±310.642

    545.6±220.9

    3.5±0.7

    0.933±0.149

    (mean±S.D., n=29)

    血漿中濃度並びにAUC、Cmax等のパラメータは、被験者の選択、体液の採取回数・時間等の試験条件によって異なる可能性がある。

16.2 吸収

  1. 16.2.1 食事の影響

    健康成人男子に20mgを絶食下又は食後に経口投与した時、食後投与では絶食下投与に比しtmaxが1.7時間遅延するとともに吸収に個体差が認められている1)

16.4 代謝

健康成人男子に10mg、20mgを経口投与した時の血漿中の代謝物は、主に非酵素的な還元反応により生成したチオエーテル体であった。その他に肝代謝酵素チトクロームP450 2C19(CYP2C19)が関与する脱メチル化反応により生成した脱メチル体、3A4(CYP3A4)が関与するスルホン化反応により生成したスルホン体が認められた1),4),5)

16.5 排泄

健康成人男子に20mgを経口投与した場合、投与後24時間までに尿中にラベプラゾールナトリウムの未変化体は検出されず、代謝物であるカルボン酸体及びそのグルクロン酸抱合体が投与量の約29~40%、メルカプツール酸抱合体が13~19%排泄された4)

16.7 薬物相互作用

類薬(オメプラゾール)で肝代謝酵素チトクロームP450 2C19(CYP2C19)への代謝競合により相互作用が認められているジアゼパム、ワルファリン(R-ワルファリン)に対してラベプラゾールナトリウム錠はこれらの薬剤の血中濃度に影響を与えないことが報告されている。また、類薬(ランソプラゾール)で肝代謝酵素チトクロームP450 1A2(CYP1A2)の誘導により相互作用が認められているテオフィリンに対してもラベプラゾールナトリウム錠は血中濃度に影響を与えないことが報告されている5),6)

17. 臨床成績

17.1 有効性及び安全性に関する試験

  1. 17.1.1 一般臨床試験及び二重盲検比較試験

    胃潰瘍、十二指腸潰瘍、逆流性食道炎及び吻合部潰瘍を対象に1日1回10mg又は20mgを投与した一般臨床試験及び二重盲検比較試験(投与期間:6~8週間)の成績は下表のとおりである7),8),9),10),11),12),13),14),15)

    対象疾患

    内視鏡治癒率

    胃潰瘍

    93.6%(162例/173例)

    十二指腸潰瘍

    99.3%(136例/137例)

    逆流性食道炎

    90.9%(50例/55例)

    吻合部潰瘍

    83.3%(10例/12例)

    通常用法及び用量のプロトンポンプインヒビター治療に抵抗性1)の逆流性食道炎患者を対象とした投与8週後の内視鏡検査による治癒率は下表のとおりであった16)

    1回20mg
    1日1回

    1回10mg
    1日2回

    1回20mg
    1日2回

    全体

    58.8%
    (60例/102例)

    78.4%
    (80例/102例)

    77.0%
    (77例/100例)

    grade A 及び grade B

    65.1%
    (56例/86例)

    87.1%
    (74例/85例)

    79.5%
    (66例/83例)

    grade C 及び grade D

    25.0%
    (4例/16例)

    35.3%
    (6例/17例)

    64.7%
    (11例/17例)

    1) ラベプラゾールナトリウム10mg/日、ランソプラゾール30mg/日、オメプラゾール20mg/日を8週間以上投与後に未治癒又は維持療法中に再発

    ※ロサンゼルス分類(改変2)による重症度
    また、臨床薬理試験において胃内pH上昇作用がラベプラゾールナトリウム錠1日1回20mg投与で1日1回10mg投与に比べて強く、難治性潰瘍に対するラベプラゾールナトリウム錠1日1回20mg投与の有用性が認められている8),10)

18. 薬効薬理

18.1 作用機序

ラベプラゾールナトリウムは酸分泌細胞の酸性領域で活性体(スルフェンアミド体)になり、プロトンポンプ(H+、K+-ATPase)のSH基を修飾して酵素活性を阻害し、酸分泌を抑制する。さらに阻害された酵素活性の回復には、主に作用部位からの薬物の消失あるいはグルタチオンによる活性体の消失が関与しているものと考えられる。その他、グルタチオンによって酵素活性が回復する可能性も推測される。

18.2 胃酸分泌抑制作用

  1. 18.2.1 健康成人男子におけるガストリン刺激酸分泌に対し、1日1回10mg投与、1日1回20mg投与でともに投与初日から著明な抑制作用を示し、投与1日目及び7日目の酸分泌量の減少率は1日1回10mg投与で72~76%、90~96%、1日1回20mg投与で88~89%、99%である17),18)
  2. 18.2.2 ウサギ摘出胃腺標本におけるジブチリルサイクリックAMP刺激による胃酸分泌を抑制する19)in vitro)。
  3. 18.2.3 慢性胃ろう管装着犬におけるヒスタミン、ペンタガストリン刺激胃酸分泌、並びにラットにおける基礎胃酸分泌及びヒスタミン刺激胃酸分泌に対し強力な抑制作用を示す19),20),21)
    イヌあるいはラットにおける胃酸分泌抑制作用の回復は、他のプロトンポンプ阻害剤に比較し速く、血中ガストリンの上昇は少ない19),22)

18.3 胃内pH上昇作用

健康成人男子における胃内pHに対し、1日1回5mg投与、1日1回10mg投与、1日1回20mg投与でともに著明な上昇作用を示し、投与5日目の24時間中にpH4以上を示す時間の割合は1日1回5mg投与のEMで46%、PMで63%、1日1回10mg投与のEMで58%、PMで72%、1日1回20mg投与のEMで61%、PMで76%である23)

※肝代謝酵素チトクロームP450 2C19(CYP2C19)表現型は、下記遺伝子型より分類される。
EM(extensive metabolizer):CYP2C191/1、CYP2C191/2又はCYP2C191/3
PM(poor metabolizer):CYP2C192/2、CYP2C192/3又はCYP2C193/3

18.4 H+、K+-ATPase阻害作用

ブタ胃粘膜より調製したH+、K+-ATPaseに対し、強い阻害作用を示す24),25)in vitro)。

18.5 抗潰瘍作用

ラットを用いた各種実験潰瘍あるいは実験胃粘膜病変(寒冷拘束ストレス、水浸拘束ストレス、幽門結紮、システアミン、塩酸-エタノール及びアスピリン)に対し、強い抗潰瘍作用あるいは胃粘膜病変改善作用を示す20),26),27)

19. 有効成分に関する理化学的知見

一般的名称

ラベプラゾールナトリウム(Rabeprazole Sodium)

化学名

Monosodium(RS)-2-({[4-(3-methoxypropoxy)-3-methylpyridin-2-yl]methyl}sulfinyl)-1H-benzimidazolide

分子式

C18H20N3NaO3S

分子量

381.42

性状

白色~微黄白色の粉末である。
水に極めて溶けやすく、エタノール(99.5)に溶けやすい。
0.01mol/L水酸化ナトリウム試液に溶ける。
吸湿性である。
水溶液(1→20)は旋光性を示さない。
結晶多形が認められる。

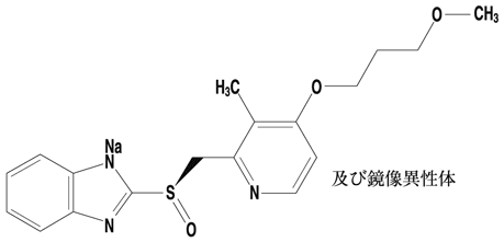
化学構造式

20. 取扱い上の注意

  1. 20.1 アルミ袋開封後は湿気を避けて保存すること。

22. 包装

100錠[10錠(PTP)×10、乾燥剤入り]

23. 主要文献

1) Yasuda,S.et al.:Int.J.Clin.Pharmacol.Ther.1994;32(9):466-473

2) ラベプラゾールナトリウム単剤投与(パリエット錠:2014年12月26日承認、CTD2.7.6.1)

3) 社内資料:ラベプラゾールNa錠20mg「AA」生物学的同等性試験

4) Yasuda,S.et al.:Clin.Pharmacol.Ther.1995;58(2):143-154

5) Ishizaki,T.et al.:Aliment.Pharmacol.Ther.1999;13(Suppl.3):27-36

6) Ishizaki,T.et al.:Clin.Pharmacol.Ther.1995;58(2):155-164

7) 中澤三郎他:Modern Physician.1994;14(S.):38-68

8) 本村 明他:Modern Physician.1994;14(S.):23-37

9) 篠村恭久他:Modern Physician.1994;14(S.):69-84

10) 八尾恒良他:Modern Physician.1994;14(S.):85-99

11) 中川充文他:Modern Physician.1994;14(S.):100-107

12) 吉田 豊他:Modern Physician.1994;14(S.):108-115

13) 中野 哲他:Modern Physician.1994;14(S.):116-123

14) 谷内 昭他:Modern Physician.1994;14(S.):124-136

15) 吉田 豊他:Modern Physician.1994;14(S.):137-147

16) Kinoshita,Y.et al.:Am.J.Gastroenterol.2012;107(4):522-530

17) 岩崎有良他:薬理と治療.1999;27(4):705-712

18) 井上正規他:内科宝函.1994;41(7):143-150

19) Fujisaki,H.et al.:Biochem.Pharmacol.1991;42(2):321-328

20) Fujisaki,H.et al.:Drug Invest.1991;3(5):328-332

21) 村上 学他:G.I.Research.1993;1(5):493-496

22) 河合 隆他:G.I.Research.1993;1(3):274-280

23) 胃内pH上昇作用(パリエット錠:2014年12月26日承認、CTD2.7.6.1)

24) 藤崎秀明他:日本薬理学雑誌.1993;102(6):389-397

25) Morii,M.et al.:Biochem.Pharmacol.1990;39(4):661-667

26) 村上 学他:G.I.Research.1993;1(5):497-500

27) 抗潰瘍作用(パリエット錠:2014年12月26日承認、CTD2.6.2.2)

24. 文献請求先及び問い合わせ先

あすか製薬株式会社 くすり相談室

〒108-8532 東京都港区芝浦二丁目5番1号

TEL 0120-848-339
FAX 03-5484-8358

26. 製造販売業者等

26.1 製造販売元

あすか製薬株式会社

東京都港区芝浦二丁目5番1号

26.2 販売元

武田薬品工業株式会社

大阪市中央区道修町四丁目1番1号

〒100-0013 東京都千代田区霞が関3-3-2 新霞が関ビル

画面を閉じる

Copyright © Pharmaceuticals and Medical Devices Agency, All Rights reserved.