医療用医薬品 詳細表示

メチルエルゴメトリン錠0.125mg「あすか」

処方せん医薬品

添付文書番号
企業コード
作成又は改訂年月
日本標準商品分類番号
薬効分類名
承認等
一般的名称
2.禁忌(次の患者には投与しないこと)
3.組成・性状
3.1組成
3.2製剤の性状
4.効能又は効果
6.用法及び用量
9.特定の背景を有する患者に関する注意
9.1合併症・既往歴等のある患者
9.2腎機能障害患者
9.3肝機能障害患者
9.5妊婦
9.6授乳婦
10.相互作用
10.1併用禁忌(併用しないこと)
10.2併用注意(併用に注意すること)
11.副作用
11.1重大な副作用
11.2その他の副作用
13.過量投与
14.適用上の注意
16.薬物動態
16.1血中濃度
18.薬効薬理
18.1作用機序
18.2子宮収縮作用
19.有効成分に関する理化学的知見
20.取扱い上の注意
22.包装
23.主要文献
24.文献請求先及び問い合わせ先
26.製造販売業者等

メチルエルゴメトリン錠0.125mg「あすか」

添付文書番号

2531002F1249_1_09

企業コード

470007

作成又は改訂年月

**2024年1月改訂(第4版)
2023年3月改訂

日本標準商品分類番号

872531

薬効分類名

子宮収縮止血剤

承認等

メチルエルゴメトリン錠0.125mg「あすか」

販売名コード

YJコード

2531002F1249

販売名英語表記

METHYLERGOMETRINE TABLETS

販売名ひらがな

めちるえるごめとりんじょう0.125みりぐらむ「あすか」

承認番号等

承認番号

22200AMX00004

販売開始年月

1971年5月

貯法・有効期間

貯法

室温保存

有効期間

3年

基準名

日本薬局方

メチルエルゴメトリンマレイン酸塩錠

一般的名称

メチルエルゴメトリンマレイン酸塩

2. 禁忌(次の患者には投与しないこと)

  1. 2.1 妊婦又は妊娠している可能性のある女性
  2. 2.2 児頭娩出前[子宮破裂、胎児死亡のおそれがある。]
  3. 2.3 本剤又は麦角アルカロイドに対し過敏症の既往歴のある患者
  4. 2.4 重篤な虚血性心疾患又はその既往歴のある患者[冠動脈の攣縮により、狭心症、心筋梗塞が誘発されることがある。]
  5. 2.5 敗血症の患者[血管収縮に対する感受性が増大し、症状が悪化するおそれがある。]
  6. 2.6 **,*HIVプロテアーゼ阻害剤(リトナビル含有製剤、アタザナビル、ホスアンプレナビル、ダルナビル含有製剤)、エファビレンツ、アゾール系抗真菌薬(イトラコナゾール、ボリコナゾール、ポサコナゾール)、コビシスタット含有製剤、ニルマトレルビル・リトナビル、レテルモビル、エンシトレルビル、レナカパビル、5-HT1B/1D受容体作動薬(スマトリプタン、ゾルミトリプタン、エレトリプタン、リザトリプタン、ナラトリプタン)、エルゴタミン・無水カフェイン・イソプロピルアンチピリンを投与中の患者

3. 組成・性状

3.1 組成

メチルエルゴメトリン錠0.125mg「あすか」

有効成分1錠中 日局メチルエルゴメトリンマレイン酸塩   0.125mg
添加剤乳糖水和物、トウモロコシデンプン、部分アルファー化デンプン、マレイン酸、硬化油、ステアリン酸亜鉛、ヒプロメロース、ヒドロキシプロピルセルロース、タルク、酸化チタン、マクロゴール6000、カルナウバロウ

3.2 製剤の性状

メチルエルゴメトリン錠0.125mg「あすか」

剤形白色フィルムコーティング錠
外形表面
裏面
側面
大きさ直径約6.6mm
厚さ約2.9mm
質量約102mg
識別コードTZ157

4. 効能又は効果

子宮収縮の促進並びに子宮出血の予防及び治療の目的で次の場合に使用する。

胎盤娩出後、子宮復古不全、流産、人工妊娠中絶

6. 用法及び用量

メチルエルゴメトリンマレイン酸塩として、通常成人1回0.125~0.25mgを1日2~4回経口投与する。
なお、症状により適宜増減する。

9. 特定の背景を有する患者に関する注意

9.1 合併症・既往歴等のある患者

  1. 9.1.1 高血圧症、妊娠高血圧症候群又は子癇の患者、心疾患又は閉塞性血管障害のある患者

    血管収縮作用により、これらの症状が悪化するおそれがある。

9.2 腎機能障害患者

  1. 9.2.1 腎疾患のある患者

    本剤の代謝・排泄が遅延するおそれがある。

9.3 肝機能障害患者

  1. 9.3.1 肝疾患のある患者

    本剤の代謝・排泄が遅延するおそれがある。

9.5 妊婦

妊婦又は妊娠している可能性のある女性には投与しないこと。子宮収縮作用により、子宮内胎児への悪影響、流産のおそれがある。

9.6 授乳婦

治療上の有益性及び母乳栄養の有益性を考慮し、授乳の継続又は中止を検討すること。母乳中へ移行することが報告されている。

10. 相互作用

  • 本剤は主にCYP3A4で代謝される。

10.1 併用禁忌(併用しないこと)

薬剤名等臨床症状・措置方法機序・危険因子

HIVプロテアーゼ阻害剤

  • **リトナビル含有製剤(ノービア、カレトラ)
  • アタザナビル(レイアタッツ)
  • ホスアンプレナビル(レクシヴァ)
  • **ダルナビル含有製剤(プリジスタ、プリジスタナイーブ、プレジコビックス、シムツーザ)

エファビレンツ(ストックリン)

アゾール系抗真菌薬

  • イトラコナゾール(イトリゾール)
  • ボリコナゾール(ブイフェンド)
  • ポサコナゾール(ノクサフィル)

**コビシスタット含有製剤(ゲンボイヤ、プレジコビックス、シムツーザ)

ニルマトレルビル・リトナビル(パキロビッド)

レテルモビル(プレバイミス)

*エンシトレルビル(ゾコーバ)

**レナカパビル(シュンレンカ)

本剤の血中濃度が上昇し、血管攣縮等の重篤な副作用を起こすおそれがある。

**これらの薬剤がCYP3A4を阻害することにより、本剤の代謝が阻害されるおそれがある。

5-HT1B/1D受容体作動薬

  • スマトリプタン(イミグラン)
  • ゾルミトリプタン(ゾーミッグ)
  • エレトリプタン(レルパックス)
  • リザトリプタン(マクサルト)
  • ナラトリプタン(アマージ)

エルゴタミン・無水カフェイン・イソプロピルアンチピリン(クリアミン)

血圧上昇又は血管攣縮が増強されるおそれがある。なお、5-HT1B/1D受容体作動薬と本剤を前後して投与する場合は24時間以上の間隔をあけて投与すること。

これらの薬剤との薬理的相加作用により、相互に作用(血管収縮作用)を増強させる。

10.2 併用注意(併用に注意すること)

薬剤名等臨床症状・措置方法機序・危険因子

ブロモクリプチン

血圧上昇、頭痛、痙攣等があらわれるおそれがある。

機序は明確ではないが、相互に血管収縮作用、血圧上昇作用を増強すると考えられる。

マクロライド系抗生物質

  • エリスロマイシン
  • クラリスロマイシン

シメチジン

スチリペントール

グレープフルーツジュース

本剤の血中濃度が上昇し、血管攣縮等の重篤な副作用を起こすおそれがある。

**これらの薬剤がCYP3A4を阻害することにより、本剤の代謝が阻害されるおそれがある。

ネビラピン

リファンピシン

本剤の血中濃度が低下し、効果が減弱するおそれがある。

これらの薬剤はCYP3A4を誘導することから本剤の代謝が促進されると考えられる。

11. 副作用

次の副作用があらわれることがあるので、観察を十分に行い、異常が認められた場合には投与を中止するなど適切な処置を行うこと。

11.1 重大な副作用

  1. 11.1.1 アナフィラキシー(頻度不明)
  2. 11.1.2 心筋梗塞、狭心症、冠動脈攣縮、房室ブロック(いずれも頻度不明)

11.2 その他の副作用

頻度不明

過敏症

発疹等

循環器

動悸、頻脈、徐脈、胸痛、胸部圧迫感、血圧上昇、血圧低下等

血管系

静脈血栓、末梢循環障害、血管痙攣

精神神経系

頭痛、めまい、眠気、痙攣、耳鳴、幻覚、興奮、口渇、錯感覚等

消化器

悪心、嘔吐、下痢、腹痛等

筋・骨格系

筋痙攣

その他

胎盤嵌頓、多汗

13. 過量投与

  1. 13.1 症状

    悪心、嘔吐、腹痛、しびれ感、手足の刺痛感、血圧上昇、血圧低下、呼吸抑制、低体温、痙攣、昏睡等を生じることがある。

14. 適用上の注意

14.1 薬剤交付時の注意

PTP包装の薬剤はPTPシートから取り出して服用するよう指導すること。PTPシートの誤飲により、硬い鋭角部が食道粘膜へ刺入し、更には穿孔をおこして縦隔洞炎等の重篤な合併症を併発することがある。

16. 薬物動態

16.1 血中濃度

体重9.0~14.5kgの雄ビーグル犬にメチルエルゴメトリンマレイン酸塩0.5mg/匹を経口投与した結果、血漿中メチルエルゴメトリン濃度は0.7~1.1時間で最高に達し(82~92ng/mL)、半減期は1.5~1.8時間であった1)

18. 薬効薬理

18.1 作用機序

本剤は子宮平滑筋に選択的に作用して子宮を持続的に収縮させ、子宮血管を圧迫して止血効果を発現する。また、分娩第III期(胎盤娩出期)を短縮させ、子宮出血量を減少させる。

18.2 子宮収縮作用

本剤の子宮収縮作用はエルゴメトリンよりやや強く、作用持続時間も長いが、血圧上昇作用はエルゴメトリン、エルゴタミンより弱い2),3),4),5)
作用発現は経口投与で3~5分、静脈内注射で0.5~1分、筋肉内注射で2~5分で、作用持続時間は3~6時間である2),3)

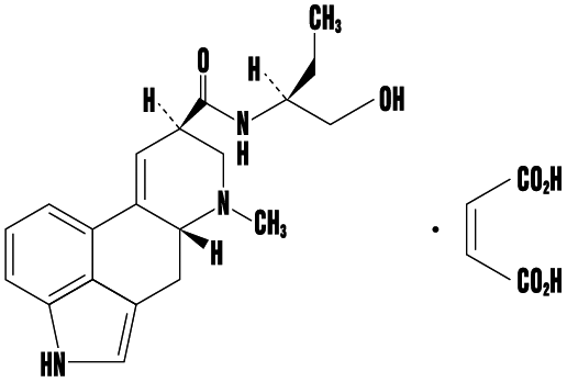
19. 有効成分に関する理化学的知見

一般的名称

メチルエルゴメトリンマレイン酸塩(Methylergometrine Maleate)

化学名

(8R)-N-[(1S)-1-(Hydroxymethyl)propyl]-6-methyl-9,10-didehydroergoline-8-carboxamide monomaleate

分子式

C20H25N3O2・C4H4O4

分子量

455.50

性状

白色~微黄色の結晶性の粉末で、においはない。
水、メタノール又はエタノール(95)に溶けにくく、ジエチルエーテルにほとんど溶けない。
光によって徐々に黄色となる。

化学構造式

融点

約190℃(分解)

20. 取扱い上の注意

外箱開封後は遮光して保存すること。

22. 包装

100錠[10錠(PTP)×10]
1,000錠[10錠(PTP)×100]

24. 文献請求先及び問い合わせ先

あすか製薬株式会社 くすり相談室

〒108-8532 東京都港区芝浦二丁目5番1号

TEL 0120-848-339
FAX 03-5484-8358

26. 製造販売業者等

26.1 製造販売元

あすか製薬株式会社

東京都港区芝浦二丁目5番1号

26.2 販売元

武田薬品工業株式会社

大阪市中央区道修町四丁目1番1号

〒100-0013 東京都千代田区霞が関3-3-2 新霞が関ビル

画面を閉じる

Copyright © Pharmaceuticals and Medical Devices Agency, All Rights reserved.