医療用医薬品 詳細表示

小児用ムコソルバンシロップ0.3%

処方せん医薬品以外の医薬品

添付文書番号
企業コード
作成又は改訂年月
日本標準商品分類番号
薬効分類名
承認等
一般的名称
2.禁忌(次の患者には投与しないこと)
3.組成・性状
3.1組成
3.2製剤の性状
4.効能又は効果
6.用法及び用量
9.特定の背景を有する患者に関する注意
9.5妊婦
9.6授乳婦
9.7小児等
11.副作用
11.1重大な副作用
11.2その他の副作用
14.適用上の注意
16.薬物動態
16.2吸収
16.4代謝
16.5排泄
17.臨床成績
17.1有効性及び安全性に関する試験
18.薬効薬理
18.1作用機序
19.有効成分に関する理化学的知見
20.取扱い上の注意
22.包装
23.主要文献
24.文献請求先及び問い合わせ先
26.製造販売業者等

小児用ムコソルバンシロップ0.3%

添付文書番号

2239001Q1166_1_04

企業コード

470310

作成又は改訂年月

2023年4月改訂(第1版)

日本標準商品分類番号

872239

薬効分類名

気道潤滑去痰剤

承認等

小児用ムコソルバンシロップ0.3%

販売名コード

YJコード

2239001Q1166

販売名英語表記

Mucosolvan Syrup 0.3% for Pediatric

販売名ひらがな

むこそるばん

承認番号等

承認番号

22100AMX01490000

販売開始年月

1989年11月

貯法・有効期間

貯法

室温保存

有効期間

3年

一般的名称

アンブロキソール塩酸塩

2. 禁忌(次の患者には投与しないこと)

本剤の成分に対し過敏症の既往歴のある患者

3. 組成・性状

3.1 組成

小児用ムコソルバンシロップ0.3%

有効成分アンブロキソール塩酸塩   1mL中3.0mg
添加剤酒石酸  
ヒドロキシエチルセルロース  
D-ソルビトール  
グリセリン  
ピロ亜硫酸ナトリウム  
エタノール  
安息香酸  
香料(ラズベリーフレーバー)  

3.2 製剤の性状

小児用ムコソルバンシロップ0.3%

剤形シロップ剤
pH2.3~3.3
色調・性状無色~微黄色澄明の液で、果実様の香気があり味は甘い

4. 効能又は効果

下記疾患の去痰

  • 急性気管支炎、気管支喘息

6. 用法及び用量

通常、幼・小児に1日0.3mL/kg(アンブロキソール塩酸塩として0.9mg/kg)を3回に分けて経口投与する。
なお、年齢・症状により適宜増減する。

9. 特定の背景を有する患者に関する注意

9.5 妊婦

妊婦又は妊娠している可能性のある女性には、治療上の有益性が危険性を上回ると判断される場合にのみ投与すること。

9.6 授乳婦

治療上の有益性及び母乳栄養の有益性を考慮し、授乳の継続又は中止を検討すること。動物実験(ラット)で母乳中へ移行することが報告されている。

9.7 小児等

低出生体重児及び新生児を対象とした臨床試験は実施していない。

11. 副作用

次の副作用があらわれることがあるので、観察を十分に行い、異常が認められた場合には投与を中止するなど適切な処置を行うこと。

11.1 重大な副作用

  1. 11.1.1 ショック、アナフィラキシー(いずれも頻度不明)

    発疹、顔面浮腫、呼吸困難、血圧低下等があらわれることがある。

  2. 11.1.2 皮膚粘膜眼症候群(Stevens-Johnson症候群)(頻度不明)

11.2 その他の副作用

0.1~5%未満

0.1%未満

頻度不明

消化器

胃不快感

胃痛、腹部膨満感、腹痛、下痢、嘔気、嘔吐、便秘、食思不振、消化不良(胃部膨満感、胸やけ等)

過敏症

発疹、蕁麻疹、蕁麻疹様紅斑、そう痒

血管浮腫(顔面浮腫、眼瞼浮腫、口唇浮腫等)

肝臓

肝機能障害(AST上昇、ALT上昇等)

その他

口内しびれ感、上肢のしびれ感

めまい

注)発現頻度は錠、液、シロップ及び徐放カプセルの承認時までの臨床試験及び使用成績調査を含む。

14. 適用上の注意

14.1 薬剤調製時の注意

抗生物質を含有するシロップ用細粒との混合により、外観(色、にごり)変化の起こることがあるので、これらの薬剤との併用を必要とする場合には別々に投与すること。

16. 薬物動態

16.2 吸収

患児に本剤を単回経口投与したとき、健康成人男子にアンブロキソール塩酸塩錠15mg1)を単回経口投与したときの場合と同様、消化管から速やかかつ良好に吸収された。血漿中の未変化体濃度は投与後2~4時間でピークに達し半減期は約3時間であり、その後比較的速やかに減少した1),2),3)

16.4 代謝

患児に本剤を投与後、尿中には未変化体、未変化体のβ-グルクロン酸抱合体及びN-脱アルキル化代謝物が認められた。また、ホルミル化閉環代謝物が微量検出された2),3),4)
成人においても代謝は小児と同じであった4)

16.5 排泄

患児に本剤を0.3mg/kg投与後24時間までの未変化体及び抱合体の尿中排泄率は19.1%であった4)。なお、健康成人男子にアンブロキソール塩酸塩錠15mg1)を経口投与すると、投与後72時間までに50~70%が尿中に排泄された2),3)

1) 本剤の承認用量は幼・小児に1日0.3mL/kg(アンブロキソール塩酸塩として0.9mg/kg)である。

17. 臨床成績

17.1 有効性及び安全性に関する試験

  1. 17.1.1 国内臨床試験

    国内延べ14施設で実施された比較試験を含む臨床試験の効果判定症例211例における有効率は下記のとおりであった5)

    疾患名\有効率(%)

    有効以上

    急性気管支炎

    64.3%(45/70)

    気管支喘息

    58.2%(82/141)

18. 薬効薬理

18.1 作用機序

アンブロキソール塩酸塩は、肺表面活性物質の分泌促進作用、気道液の分泌促進作用、線毛運動亢進作用が総合的に作用して喀痰喀出効果を示すものと考えられる。この際、肺表面活性物質の役割としては、線毛の存在しない肺胞や呼吸細気管支を含め気道中の粘性物質を排出しやすくするものと考えられている6),7),8),9),10),11),12),13)

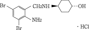
19. 有効成分に関する理化学的知見

一般的名称

アンブロキソール塩酸塩(Ambroxol Hydrochloride)

化学名

trans-4-[(2-amino-3,5-dibromobenzyl)amino]cyclohexanol hydrochloride

分子式

C13H18Br2N2O・HCl

分子量

414.56

性状

白色の結晶性の粉末で、においはなく、わずかに特異な味がある。メタノールにやや溶けやすく、水又はエタノール(99.5)にやや溶けにくく、酢酸(100)に溶けにくく、ジエチルエーテルにほとんど溶けない。

化学構造式

融点

約235℃(分解)

20. 取扱い上の注意

本剤は、低温下で添加剤の結晶が析出することがあるので、保管に際しては注意すること。

22. 包装

500mL(褐色ガラス瓶入り)

24. 文献請求先及び問い合わせ先

帝人ファーマ株式会社 メディカル情報グループ

〒100-8585 東京都千代田区霞が関3丁目2番1号

フリーダイヤル 0120-189-315

26. 製造販売業者等

26.1 製造販売元

帝人ファーマ株式会社

東京都千代田区霞が関3丁目2番1号

26.2 提携

sanofi

〒100-0013 東京都千代田区霞が関3-3-2 新霞が関ビル

画面を閉じる

Copyright © Pharmaceuticals and Medical Devices Agency, All Rights reserved.