医療用医薬品 詳細表示

ムコソルバン内用液0.75%

添付文書番号

2239001S1112_1_04

企業コード

470310

作成又は改訂年月

2023年4月改訂(第1版)

日本標準商品分類番号

872239

薬効分類名

気道潤滑去痰剤

承認等

ムコソルバン内用液0.75%

販売名コード

YJコード

2239001S1112

販売名英語表記

Mucosolvan Solution 0.75%

販売名ひらがな

むこそるばん

承認番号等

承認番号

22100AMX01491000

販売開始年月

1988年6月

貯法・有効期間

貯法

室温保存

有効期間

3年6ヵ月

一般的名称

アンブロキソール塩酸塩

2. 禁忌(次の患者には投与しないこと)

本剤の成分に対し過敏症の既往歴のある患者

3. 組成・性状

3.1 組成

ムコソルバン内用液0.75%

有効成分アンブロキソール塩酸塩   1mL中7.5mg
添加剤クエン酸  
リン酸水素ナトリウム  
塩化ナトリウム  
パラオキシ安息香酸メチル  
パラオキシ安息香酸エチル  

3.2 製剤の性状

ムコソルバン内用液0.75%

剤形液剤
pH5.0~6.0
色調・性状無色~微黄色澄明の液剤で、においはなく味は苦い

4. 効能又は効果

  • 下記疾患の去痰
    • 急性気管支炎、気管支喘息、慢性気管支炎、気管支拡張症、肺結核、塵肺症、手術後の喀痰喀出困難
  • 慢性副鼻腔炎の排膿

6. 用法及び用量

通常、成人には1回2mL(アンブロキソール塩酸塩として15.0mg)を1日3回経口投与する。
なお、年齢・症状により適宜増減する。

9. 特定の背景を有する患者に関する注意

9.5 妊婦

妊婦又は妊娠している可能性のある女性には、治療上の有益性が危険性を上回ると判断される場合にのみ投与すること。

9.6 授乳婦

治療上の有益性及び母乳栄養の有益性を考慮し、授乳の継続又は中止を検討すること。動物実験(ラット)で母乳中へ移行することが報告されている。

9.8 高齢者

減量するなど注意すること。一般に生理機能が低下している。

11. 副作用

次の副作用があらわれることがあるので、観察を十分に行い、異常が認められた場合には投与を中止するなど適切な処置を行うこと。

11.1 重大な副作用

  1. 11.1.1 ショック、アナフィラキシー(いずれも頻度不明)

    発疹、顔面浮腫、呼吸困難、血圧低下等があらわれることがある。

  2. 11.1.2 皮膚粘膜眼症候群(Stevens-Johnson症候群)(頻度不明)

11.2 その他の副作用

0.1~5%未満

0.1%未満

頻度不明

消化器

胃不快感

胃痛、腹部膨満感、腹痛、下痢、嘔気、嘔吐、便秘、食思不振、消化不良(胃部膨満感、胸やけ等)

過敏症

発疹、蕁麻疹、蕁麻疹様紅斑、そう痒

血管浮腫(顔面浮腫、眼瞼浮腫、口唇浮腫等)

肝臓

肝機能障害(AST上昇、ALT上昇等)

その他

口内しびれ感、上肢のしびれ感

めまい

注)発現頻度は錠、液、シロップ及び徐放カプセルの承認時までの臨床試験及び使用成績調査を含む。

16. 薬物動態

16.2 吸収

健康成人男子にアンブロキソール塩酸塩錠15mgを単回経口投与したとき、消化管から速やかかつ良好に吸収された。血漿中の未変化体濃度は、投与後2~4時間でピークに到達し半減期は約5時間であり、その後比較的速やかに減少した1),2)
連続的に経口投与したときの血漿中未変化体濃度の推移は、単回投与の場合とほぼ一致し、連続投与によっても血中薬物動態の変化は認められなかった1),2)

16.4 代謝

健康成人男子にアンブロキソール塩酸塩錠15mgを単回経口投与したとき、血漿中では未変化体、未変化体のβ-グルクロン酸抱合体及びN-脱アルキル化代謝物が認められ、尿中では主として未変化体のβ-グルクロン酸抱合体及びN-脱アルキル化代謝物が認められた。また、血漿中及び尿中共にホルミル化閉環代謝物が微量検出された1),2)

16.5 排泄

健康成人男子にアンブロキソール塩酸塩錠15mgを単回経口投与したとき、投与後72時間までに尿中へ未変化体及びその抱合体が50~70%、脱アルキル化体が5%排泄された1),2)

17. 臨床成績

17.1 有効性及び安全性に関する試験

  1. 17.1.1 国内臨床試験

    本剤及びアンブロキソール塩酸塩錠15mgの承認時までに国内延べ276施設で実施された二重盲検試験を含む臨床試験の効果判定症例953例における有効率は下記のとおりであった3),4),5)

    疾患名\有効率(%)

    有効以上

    急性気管支炎

    75.3%(55/73)

    気管支喘息

    51.5%(51/99)

    慢性気管支炎

    54.2%(147/271)

    気管支拡張症

    43.7%(38/87)

    肺結核

    43.2%(32/74)

    塵肺症

    54.1%(59/109)

    手術後の喀痰喀出困難

    41.4%(46/111)

    慢性副鼻腔炎の排膿

    45.7%(59/129)

18. 薬効薬理

18.1 作用機序

アンブロキソール塩酸塩は、気管・気管支領域において、肺表面活性物質の分泌促進作用、気道液の分泌促進作用、線毛運動亢進作用が総合的に作用して喀痰喀出効果を示すものと考えられる。この際、肺表面活性物質の役割としては、線毛の存在しない肺胞や呼吸細気管支を含め気道中の粘性物質を排出しやすくするものと考えられている6),7),8),9),10),11),12),13)
また、副鼻腔領域においては、病的副鼻腔分泌の正常化作用、線毛運動亢進作用が総合的に作用して慢性副鼻腔炎の排膿を促進するものと考えられる14),15)

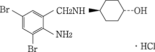
19. 有効成分に関する理化学的知見

一般的名称

アンブロキソール塩酸塩(Ambroxol Hydrochloride)

化学名

trans-4-[(2-amino-3,5-dibromobenzyl)amino]cyclohexanol hydrochloride

分子式

C13H18Br2N2O・HCl

分子量

414.56

性状

白色の結晶性の粉末で、においはなく、わずかに特異な味がある。メタノールにやや溶けやすく、水又はエタノール(99.5)にやや溶けにくく、酢酸(100)に溶けにくく、ジエチルエーテルにほとんど溶けない。

化学構造式

融点

約235℃(分解)

22. 包装

40mL(褐色ガラス瓶入り)
250mL(褐色ガラス瓶入り)

24. 文献請求先及び問い合わせ先

帝人ファーマ株式会社 メディカル情報グループ

〒100-8585 東京都千代田区霞が関3丁目2番1号

フリーダイヤル 0120-189-315

26. 製造販売業者等

26.1 製造販売元

帝人ファーマ株式会社

東京都千代田区霞が関3丁目2番1号

26.2 提携

sanofi

〒100-0013 東京都千代田区霞が関3-3-2 新霞が関ビル

画面を閉じる

Copyright © Pharmaceuticals and Medical Devices Agency, All Rights reserved.