医療用医薬品 詳細表示

カルテオロール塩酸塩点眼液1%「ニットー」/カルテオロール塩酸塩点眼液2%「ニットー」

処方せん医薬品以外の医薬品

添付文書番号
企業コード
作成又は改訂年月
日本標準商品分類番号
薬効分類名
承認等
一般的名称
2.禁忌(次の患者には投与しないこと)
3.組成・性状
3.1組成
3.2製剤の性状
4.効能又は効果
6.用法及び用量
8.重要な基本的注意
9.特定の背景を有する患者に関する注意
9.1合併症・既往歴等のある患者
9.5妊婦
9.6授乳婦
9.7小児等
9.8高齢者
10.相互作用
10.2併用注意(併用に注意すること)
11.副作用
11.1重大な副作用
11.2その他の副作用
14.適用上の注意
16.薬物動態
16.1血中濃度
16.4代謝
16.5排泄
17.臨床成績
17.1有効性及び安全性に関する試験
18.薬効薬理
18.1作用機序
18.2眼圧下降作用
18.3眼底血流増加作用
18.4生物学的同等性試験
19.有効成分に関する理化学的知見
20.取扱い上の注意
22.包装
23.主要文献
24.文献請求先及び問い合わせ先
26.製造販売業者等

カルテオロール塩酸塩点眼液1%「ニットー」/カルテオロール塩酸塩点眼液2%「ニットー」

添付文書番号

1319701Q1129_1_02

企業コード

480018

作成又は改訂年月

2023年9月改訂(第1版)

日本標準商品分類番号

871319

薬効分類名

緑内障・高眼圧症治療剤

承認等

カルテオロール塩酸塩点眼液1%「ニットー」

販売名コード

YJコード

1319701Q1129

販売名英語表記

Carteolol Hydrochloride Ophthalmic Solution 1%「NITTO」

承認番号等

承認番号

23100AMX00031000

販売開始年月

1999年7月

貯法・有効期間

貯法

室温保存

有効期間

36箇月

カルテオロール塩酸塩点眼液2%「ニットー」

販売名コード

YJコード

1319701Q2125

販売名英語表記

Carteolol Hydrochloride Ophthalmic Solution 2%「NITTO」

承認番号等

承認番号

23100AMX00032000

販売開始年月

1999年7月

貯法・有効期間

貯法

室温保存

有効期間

36箇月

一般的名称

カルテオロール塩酸塩点眼液

2. 禁忌(次の患者には投与しないこと)

  1. 2.1 本剤の成分に対し過敏症の既往歴のある患者
  2. 2.2 気管支喘息、気管支痙攣又はそれらの既往歴のある患者、重篤な慢性閉塞性肺疾患のある患者[これらの症状が増悪するおそれがある。]
  3. 2.3 コントロール不十分な心不全、洞性徐脈、房室ブロック(Ⅱ・Ⅲ度)又は心原性ショックのある患者[これらの症状が増悪するおそれがある。]

3. 組成・性状

3.1 組成

カルテオロール塩酸塩点眼液1%「ニットー」

有効成分1mL中 カルテオロール塩酸塩   10mg
添加剤ベンザルコニウム塩化物液、塩化ナトリウム、リン酸二水素ナトリウム水和物、リン酸水素ナトリウム水和物、pH調節剤

カルテオロール塩酸塩点眼液2%「ニットー」

有効成分1mL中 カルテオロール塩酸塩   20mg
添加剤ベンザルコニウム塩化物液、塩化ナトリウム、リン酸二水素ナトリウム水和物、リン酸水素ナトリウム水和物、pH調節剤

3.2 製剤の性状

カルテオロール塩酸塩点眼液1%「ニットー」

pH6.2~7.2
浸透圧比0.9~1.1(生理食塩液に対する比)
性状無色澄明の液(無菌製剤)

カルテオロール塩酸塩点眼液2%「ニットー」

pH6.2~7.2
浸透圧比0.9~1.1(生理食塩液に対する比)
性状無色澄明の液(無菌製剤)

4. 効能又は効果

緑内障、高眼圧症

6. 用法及び用量

通常、1%製剤を1回1滴、1日2回点眼する。なお、十分な効果が得られない場合は、2%製剤を用いて1回1滴、1日2回点眼する。

8. 重要な基本的注意

全身的に吸収され、β遮断剤全身投与時と同様の副作用があらわれることがあるので、留意すること。

9. 特定の背景を有する患者に関する注意

9.1 合併症・既往歴等のある患者

  1. 9.1.1 肺高血圧による右心不全の患者

    心機能を抑制し症状が増悪するおそれがある。

  2. 9.1.2 うっ血性心不全の患者

    心機能を抑制し症状が増悪するおそれがある。

  3. 9.1.3 コントロール不十分な糖尿病の患者

    血糖値に注意すること。低血糖症状を起こしやすく、かつ症状をマスクすることがある。

  4. 9.1.4 糖尿病性ケトアシドーシス及び代謝性アシドーシスのある患者

    アシドーシスによる心筋収縮力の抑制を増強するおそれがある。

9.5 妊婦

妊婦又は妊娠している可能性のある女性には治療上の有益性が危険性を上回ると判断される場合にのみ投与すること。

9.6 授乳婦

治療上の有益性及び母乳栄養の有益性を考慮し、授乳の継続又は中止を検討すること。動物実験(ラット)で乳汁中への移行が報告されている。

9.7 小児等

  1. 9.7.1 小児等を対象とした有効性及び安全性を指標とした臨床試験は実施していない。
  2. 9.7.2 低血糖症状があらわれた場合には、経口摂取可能な状態では角砂糖、あめ等の糖分の摂取、意識障害、痙攣を伴う場合には、ブドウ糖の静注等を行い、十分に経過観察すること。食事摂取不良等体調不良の状態の患児にカルテオロール塩酸塩点眼液1%・2%を投与した症例で低血糖が報告されている。

9.8 高齢者

一般に生理機能が低下している。

10. 相互作用

    10.2 併用注意(併用に注意すること)

    薬剤名等臨床症状・措置方法機序・危険因子

    β遮断剤
    (全身投与)

    全身的なβ遮断作用が増強することがあるので、減量するなど注意すること。

    相加的にβ遮断作用を増強させる。

    交感神経系に対し抑制的に作用する他の薬剤

    • レセルピン等

    過剰の交感神経抑制を来すおそれがあるので、減量するなど注意すること。

    相加的に交感神経抑制作用を増強させる。

    カルシウム拮抗剤

    • ベラパミル塩酸塩
      ジルチアゼム塩酸塩

    徐脈、房室ブロック等の伝導障害、うっ血性心不全等があらわれることがある。併用する場合には用量に注意すること。

    相互に作用が増強される。

    アドレナリン

    類薬(チモロールマレイン酸塩点眼液)でアドレナリンの散瞳作用が助長されたとの報告がある。

    アドレナリンのβ作用のみが遮断され、α作用が優位になる。

    11. 副作用

    次の副作用があらわれることがあるので、観察を十分に行い、異常が認められた場合には投与を中止するなど適切な処置を行うこと。

    11.1 重大な副作用

    1. 11.1.1 喘息発作(頻度不明)

      β-受容体遮断による気管支平滑筋収縮作用により、喘息発作を誘発することがあるので、咳・呼吸困難等の症状があらわれた場合には投与を中止し、適切な処置を行うこと。

    2. 11.1.2 失神(頻度不明)

      高度な徐脈に伴う失神があらわれることがある。

    3. 11.1.3 房室ブロック、洞不全症候群、洞停止等の徐脈性不整脈、うっ血性心不全、冠攣縮性狭心症(いずれも頻度不明)

      β-受容体遮断による刺激伝導系抑制作用・心拍出量抑制作用により、房室ブロック、洞不全症候群、洞停止等の徐脈性不整脈、うっ血性心不全、冠攣縮性狭心症があらわれることがある。,,

    4. 11.1.4 眼類天疱瘡(頻度不明)

      結膜充血、角膜上皮障害、乾性角結膜炎、結膜萎縮、睫毛内反、眼瞼眼球癒着等があらわれることがある。

    5. 11.1.5 脳虚血、脳血管障害(いずれも頻度不明)
    6. 11.1.6 全身性エリテマトーデス(頻度不明)

    11.2 その他の副作用

    5%以上

    0.1~5%未満

    頻度不明

    眼刺激症状(しみる感じ、疼痛、灼熱感、かゆみ、乾燥感等)

    霧視、異物感、眼脂、結膜炎、眼瞼炎、眼瞼腫脹、羞明感、角膜障害(角膜炎、角膜びまん性混濁、角膜びらん等)、視力異常、眼瞼発赤

    眼底黄斑部の浮腫・混濁注1)

    循環器

    徐脈

    低血圧、不整脈、動悸、胸痛

    呼吸器

    呼吸困難

    鼻症状(くしゃみ、鼻水、鼻づまり)、咳、咽喉頭症状(違和感等)

    その他

    頭痛、不快感、倦怠感、めまい、悪心、味覚異常(苦味等)、皮膚炎、発疹

    血糖値の低下、筋肉痛、こわばり(四肢等)、脱力感、抑うつ、重症筋無力症の増悪

    注1)無水晶体眼又は眼底に病変のある患者等に長期連用してあらわれることがある。
    注)副作用の項に記載の頻度は、原則として本剤とミケランLA点眼液1%・2%のうち、発現頻度の高い方の値に基づく。

    14. 適用上の注意

    14.1 薬剤交付時の注意

    患者に対し以下の点に注意するよう指導すること。

    • 薬液汚染防止のため、点眼のとき、容器の先端が直接目に触れないように注意すること。
    • 患眼を開瞼して結膜囊内に点眼し、1~5分間閉瞼して涙囊部を圧迫させた後、開瞼すること。
    • 他の点眼剤を併用する場合には、少なくとも5分以上間隔をあけてから点眼すること。

    16. 薬物動態

    16.1 血中濃度

    1. 16.1.1 単回点眼

      カルテオロール塩酸塩2%点眼液を健康成人(11例)の両眼に20µLずつ単回点眼した時の血漿中カルテオロール濃度は投与後15分に最高値1.33ng/mLを示し、減衰期の消失半減期は13.8時間であった1)

    2. 16.1.2 反復点眼

      カルテオロール塩酸塩2%点眼液を原発開放隅角緑内障又は高眼圧症の患者(両眼に1滴、1日2回、12例)に8週間反復点眼した時の血漿中カルテオロール濃度(平均値±標準偏差)は、3.198±1.500ng/mL(点眼2時間後)であった2)

    16.4 代謝

    カルテオロールは、ヒト肝ミクロゾームチトクロームP450の分子種のうち、主としてCYP2D6により代謝される3)in vitro)。

    16.5 排泄

    カルテオロール2%点眼薬を健常人の両眼に1滴ずつ点眼後、24時間までに約16%が塩基として尿中に排泄され、尿中排泄速度の半減期は約5時間、点眼後の血漿中濃度は定量限界(5ng/mL)以下である4)

    17. 臨床成績

    17.1 有効性及び安全性に関する試験

    1. 17.1.1 国内臨床試験

      正常眼圧緑内障患者22例を対象にカルテオロール塩酸塩2%点眼液1日2回18カ月間点眼群(10例)と無治療経過観察群(12例)でのハンフリー視野計による視野測定値を比較検討した。その結果、カルテオロール塩酸塩点眼群は無治療経過観察群に比較し視野の指標であるMean deviation(MD)及びCorrected pattern standard deviation(CPSD)の悪化を有意に抑制した5)

    18. 薬効薬理

    18.1 作用機序

    カルテオロール塩酸塩は内因性交感神経刺激様作用を有するβ受容体遮断薬である6)
    健康成人におけるフルオロフォトメトリー試験の結果、並びに緑内障及び高眼圧症患者におけるトノグラフィー試験の結果から、カルテオロール塩酸塩は房水産生の抑制により眼圧を下降させるものと推察されている7), 8)

    18.2 眼圧下降作用

    1. 18.2.1 ウサギにカルテオロール塩酸塩0.25~2%液を点眼した場合、用量依存的で持続的な眼圧下降が認められた9)
    2. 18.2.2 ウサギの水負荷眼圧上昇試験において、カルテオロール塩酸塩0.1~2%液点眼により眼圧上昇の有意な抑制が認められた9)
    3. 18.2.3 ビーグル犬にカルテオロール塩酸塩1~4%液を1回0.1mL、1日2回、連続8週間点眼しても眼圧下降作用の減弱は認められなかった9)

    18.3 眼底血流増加作用

    健康成人にカルテオロール塩酸塩2%点眼液を30µL、1回点眼し、レーザースペックル法により測定したところ、視神経乳頭末梢血流量の定量指標であるnormalized blur(NB)値の増加が認められた10)
    また、健康成人にカルテオロール塩酸塩2%点眼液を30µL、1日2回、連続21日間点眼し、レーザースペックル法により測定したところ、視神経乳頭末梢血流量の定量指標であるnormalized blur(NB)値の増加が認められた11)

    18.4 生物学的同等性試験

    • 〈カルテオロール塩酸塩点眼液1%「ニットー」〉
    1. 18.4.1 ウサギ水負荷眼圧上昇モデルに対する眼圧上昇抑制作用(旧処方とミケラン点眼液1%の生物学的同等性)


      ウサギ水負荷眼圧上昇モデルに対して、カルテオロール塩酸塩点眼液1%「ニットー」(旧処方)又はミケラン点眼液1%を水負荷5分前に100μL点眼し、点眼前、水負荷後0.5、1、1.5、2、3及び4時間に眼圧を測定し、眼圧上昇抑制作用を調べた。その結果、カルテオロール塩酸塩点眼液1%「ニットー」(旧処方)は水負荷後0.5及び1時間においてControl(無処置)群に対して有意な差が認められ、両剤間では有意な差が認められず、両剤の生物学的同等性が確認された12)

    1. 18.4.2 ウサギ水負荷眼圧上昇モデルに対する眼圧上昇抑制作用(旧処方と新処方の生物学的同等性)

      ウサギ水負荷眼圧上昇モデルに対して、カルテオロール塩酸塩点眼液1%「ニットー」(新処方)又はカルテオロール塩酸塩点眼液1%「ニットー」(旧処方)を水負荷5分前に100μL点眼し、点眼前、水負荷後0.5、1、1.5、2、3及び4時間に眼圧を測定し、眼圧上昇抑制作用を調べた。その結果、両剤ともに水負荷後0.5、1及び1.5時間においてControl(無処置)群に対して有意な差が認められ、両剤間では有意な差が認められず、両剤の生物学的同等性が確認された 12)

    • 〈カルテオロール塩酸塩点眼液2%「ニットー」〉
    1. 18.4.3 ウサギ水負荷眼圧上昇モデルに対する眼圧上昇抑制作用(旧処方とミケラン点眼液2%の生物学的同等性)


      ウサギ水負荷眼圧上昇モデルに対して、カルテオロール塩酸塩点眼液2%「ニットー」(旧処方)又はミケラン点眼液2%を水負荷5分前に100μL点眼し、点眼前、水負荷後0.5、1、1.5、2、3及び4時間に眼圧を測定し、眼圧上昇抑制作用を調べた。その結果、カルテオロール塩酸塩点眼液2%「ニットー」(旧処方)は水負荷後0.5及び1時間においてControl(無処置)群に対して有意な差が認められ、両剤間では有意な差が認められず、両剤の生物学的同等性が確認された13)

    1. 18.4.4 ウサギ水負荷眼圧上昇モデルに対する眼圧上昇抑制作用(旧処方と新処方の生物学的同等性)


      ウサギ水負荷眼圧上昇モデルに対して、カルテオロール塩酸塩点眼液2%「ニットー」(新処方)又はカルテオロール塩酸塩点眼液2%「ニットー」(旧処方)を水負荷5分前に100μL点眼し、点眼前、水負荷後0.5、1、1.5、2、3及び4時間に眼圧を測定し、眼圧上昇抑制作用を調べた。その結果、両剤ともに水負荷後0.5、1及び1.5時間においてControl(基剤)群に対して有意な差が認められ、両剤間では有意な差が認められず、両剤の生物学的同等性が確認された13)

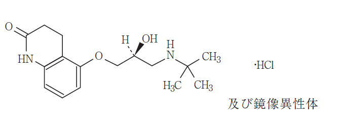
    19. 有効成分に関する理化学的知見

    一般的名称

    カルテオロール塩酸塩(Carteolol Hydrochloride)

    化学名

    5-[(2RS)-3-(1,1-Dimethylethyl)amino-2-hydroxypropyloxy]-3,4-dihydroquinolin-2(1H)-one monohydrochloride

    分子式

    C16H24N2O3・HCl

    分子量

    328.83

    性状

    カルテオロール塩酸塩は白色の結晶又は結晶性の粉末である。
    水にやや溶けやすく、メタノールにやや溶けにくく、エタノール(95)又は酢酸(100)に極めて溶けにくく、ジエチルエーテルにほとんど溶けない。
    本品1.0gを水100mLに溶かした液のpHは5.0~6.0である。
    水溶液(1→20)は旋光性を示さない。
    融点:約277℃(分解)。

    化学構造式

    20. 取扱い上の注意

    外箱開封後は遮光して保存すること。

    22. 包装

    • 〈カルテオロール塩酸塩点眼液1%「ニットー」〉

      プラスチック点眼容器:5mL×5本、5mL×10本

    • 〈カルテオロール塩酸塩点眼液2%「ニットー〉

      プラスチック点眼容器:5mL×5本、5mL×10本

    24. 文献請求先及び問い合わせ先

    日東メディック株式会社 おくすり相談窓口

    〒104-0031 東京都中央区京橋1-10-7

    電話 03-3523-0345
    FAX  03-6264-4086

    26. 製造販売業者等

    26.1 製造販売元

    東亜薬品株式会社

    富山県富山市水橋開発277番10

    26.2 発売元

    日東メディック株式会社

    富山県富山市八尾町保内1-14-1

    〒100-0013 東京都千代田区霞が関3-3-2 新霞が関ビル

    画面を閉じる

    Copyright © Pharmaceuticals and Medical Devices Agency, All Rights reserved.