医療用医薬品 詳細表示

オフロキサシン眼軟膏0.3%「ニットー」

処方せん医薬品

添付文書番号
企業コード
作成又は改訂年月
日本標準商品分類番号
薬効分類名
承認等
一般的名称
2.禁忌(次の患者には投与しないこと)
3.組成・性状
3.1組成
3.2製剤の性状
4.効能又は効果
6.用法及び用量
7.用法及び用量に関連する注意
8.重要な基本的注意
9.特定の背景を有する患者に関する注意
9.5妊婦
9.6授乳婦
11.副作用
11.1重大な副作用
11.2その他の副作用
14.適用上の注意
16.薬物動態
16.3分布
17.臨床成績
17.1有効性及び安全性に関する試験
18.薬効薬理
18.1作用機序
18.2抗菌作用
18.3その他
19.有効成分に関する理化学的知見
22.包装
23.主要文献
24.文献請求先及び問い合わせ先
26.製造販売業者等

オフロキサシン眼軟膏0.3%「ニットー」

添付文書番号

1319722M1064_1_03

企業コード

480018

作成又は改訂年月

2023年11月改訂(第1版)

日本標準商品分類番号

871319

薬効分類名

広範囲抗菌点眼剤

承認等

オフロキサシン眼軟膏0.3%「ニットー」

販売名コード

YJコード

1319722M1064

販売名英語表記

Ofloxacin Ophthalmic Ointment 0.3%「NITTO」

承認番号等

承認番号

30100AMX00148000

販売開始年月

2005年7月

貯法・有効期間

貯法

室温保存

有効期間

3年

一般的名称

オフロキサシン眼軟膏

2. 禁忌(次の患者には投与しないこと)

  1. 2.1 本剤の成分及びキノロン系抗菌剤に対し過敏症の既往歴のある患者

3. 組成・性状

3.1 組成

オフロキサシン眼軟膏0.3%「ニットー」

有効成分1g中 オフロキサシン 3㎎  
添加剤精製ラノリン、流動パラフィン、白色ワセリン

3.2 製剤の性状

オフロキサシン眼軟膏0.3%「ニットー」

性状淡黄色、無菌眼軟膏剤

4. 効能又は効果

〈適応菌種〉
本剤に感性のブドウ球菌属、レンサ球菌属、肺炎球菌、腸球菌属、ミクロコッカス属、モラクセラ属、コリネバクテリウム属、クレブシエラ属、セラチア属、プロテウス属、モルガネラ・モルガニー、プロビデンシア属、インフルエンザ菌、ヘモフィルス・エジプチウス(コッホ・ウィークス菌)、シュードモナス属、緑膿菌、バークホルデリア・セパシア、ステノトロホモナス(ザントモナス)・マルトフィリア、アシネトバクター属、アクネ菌、トラコーマクラミジア(クラミジア・トラコマティス)
〈適応症〉
眼瞼炎、涙嚢炎、麦粒腫、結膜炎、瞼板腺炎、角膜炎(角膜潰瘍を含む)、眼科周術期の無菌化療法

6. 用法及び用量

通常、適量を1日3回塗布する。なお、症状により適宜増減する。

7. 用法及び用量に関連する注意

  • 〈結膜炎〉
  1. 7.1 トラコーマクラミジアによる結膜炎の場合には、8週間の投与を目安とし、その後の継続投与については慎重に行うこと。

8. 重要な基本的注意

  1. 8.1 本剤の使用にあたっては、耐性菌の発現等を防ぐため、原則として感受性を確認し、疾病の治療上必要な最小限の期間の投与にとどめること。
  2. 8.2 長期間使用しないこと。

9. 特定の背景を有する患者に関する注意

9.5 妊婦

妊婦又は妊娠している可能性のある女性には治療上の有益性が危険性を上回ると判断される場合にのみ投与すること。

9.6 授乳婦

治療上の有益性及び母乳栄養の有益性を考慮し、授乳の継続又は中止を検討すること。

11. 副作用

次の副作用があらわれることがあるので、観察を十分に行い、異常が認められた場合には投与を中止するなど適切な処置を行うこと。

11.1 重大な副作用

  1. 11.1.1 ショック、アナフィラキシー(いずれも頻度不明)

紅斑、発疹、呼吸困難、血圧低下、眼瞼浮腫等の症状が認められた場合には投与を中止し、適切な処置を行うこと。

11.2 その他の副作用

1%未満

頻度不明

びまん性表層角膜炎等の角膜障害、眼瞼炎、結膜炎、眼のそう痒感、眼痛

皮膚

発疹

そう痒、蕁麻疹

14. 適用上の注意

14.1 薬剤交付時の注意

患者に対し以下の点に注意するよう指導すること。

  • 〈投与方法共通〉

    ・薬剤汚染防止のため、塗布するとき、容器の先端が直接目に触れないように注意すること。
    ・他の点眼剤を併用する場合には、本剤を最後に使用すること。その際、少なくとも5分以上間隔をあけること。

  • 〈結膜嚢内に塗布する場合〉

    ・患眼を開瞼して結膜囊内に塗布し、閉瞼して軟膏が全体に広がった後、開瞼すること。
    ・軟膏が眼瞼皮膚等についた場合には、すぐにふき取ること。

16. 薬物動態

16.3 分布

  • 16.3.1 生物学的同等性試験
  • ウサギにおける眼組織内移行
  • オフロキサシン眼軟膏0.3%「ニットー」 とタリビッド眼軟膏0.3%について、ウサギに点眼して眼房水中オフロキサシン濃度を測定したところ、両剤の点眼1時間後の眼房水中オフロキサシン濃度に有意な差は認められず、両剤の生物学的同等性が確認された1)

点眼1時間後眼房水中オフロキサシン濃度(μg/mL)

オフロキサシン眼軟膏0.3%「ニットー」

0.0836±0.0523

タリビッド眼軟膏0.3%

0.104±0.0424

(平均値±標準偏差、n=10)

17. 臨床成績

17.1 有効性及び安全性に関する試験

  • 〈眼瞼炎、涙嚢炎、麦粒腫、結膜炎、瞼板腺炎、角膜炎(角膜潰瘍を含む)〉
  1. 17.1.1 国内一般臨床試験

    外眼部細菌感染症患者87例を対象に、0.3%オフロキサシン眼軟膏を1回(チューブから圧出した約1cmの長さの量)、1日3回、3日以上(原則として症状消失後2日まで)塗布した結果、有効率は95.2%(79/83例)で、副作用は認められなかった2)
    ※ 眼感染症研究会制定の評価判定基準(1985年)に準拠し評価。

  2. 17.1.2 疾患別有効菌種別臨床効果

    外眼部感染症を対象に実施した0.3%オフロキサシン眼軟膏の臨床試験(国内一般臨床試験、国内症例報告)87例における各疾患別臨床効果は下表のとおりであった。

疾患名

有効率(%) 〔有効以上〕

眼瞼炎

100.0(6/6)

涙嚢炎

85.7(6/7)

麦粒腫

87.5(7/8)

結膜炎

96.0(48/50)

瞼板腺炎

100.0(1/1)

角膜炎

100.0(5/5)

角膜潰瘍

100.0(13/13)

※複数の疾患を合併している場合は各々の疾患に1例として算入

また、上記87例における有効菌種別臨床効果は下表のとおりであった2)

菌種

有効率(%) 〔有効以上〕

ブドウ球菌属

94.0(47/50)

レンサ球菌属

100.0(11/11)

肺炎球菌

75.0(3/4)

ミクロコッカス属

100.0(1/1)

モラクセラ属

100.0(5/5)

コリネバクテリウム属

100.0(10/10)

クレブシエラ属

100.0(2/2)

セラチア属

100.0(1/1)

インフルエンザ菌

100.0(5/5)

シュードモナス属

100.0(7/7)

緑膿菌

100.0(3/3)

※複数の菌種が検出された場合は各々の菌種に1例として算入

18. 薬効薬理

18.1 作用機序

  • 抗菌作用は殺菌的でMIC濃度で溶菌が認められた3) 。また、0.3%オフロキサシン眼軟膏はトラコーマクラミジア(クラミジア・トラコマティス)に対し、その発育環における原始体を破壊することが認められた4)

18.2 抗菌作用

オフロキサシンの抗菌スペクトラムは広範囲に及び、ブドウ球菌属、肺炎球菌を含むレンサ球菌属、ミクロコッカス属、コリネバクテリウム属等のグラム陽性菌及び緑膿菌を含むシュードモナス属、インフルエンザ菌、ヘモフィルス・エジプチウス(コッホ・ウィークス菌)、モラクセラ属、セラチア属、クレブシエラ属、プロテウス属、アシネトバクター属等のグラム陰性菌並びに嫌気性菌であるアクネ菌等の眼感染症の起炎菌に対し、強い抗菌力を示す3),5),6)in vitro )。また、オフロキサシンはトラコーマクラミジア(クラミジア・トラコマティス)に対しても抗菌作用を示し、クラミジアはオフロキサシンに対して耐性化しにくいことが認められている7),8)

18.3 その他

  • 18.3.1 生物学的同等性試験
  • ウサギ緑膿菌角膜感染モデルに対する効果
  • オフロキサシン眼軟膏0.3%「ニットー」 とタリビッド眼軟膏0.3%について、実験的ウサギ緑膿菌角膜感染モデルに対する治癒効果の比較を行った。その結果、両剤とも優れた治癒効果を示し、また、両剤の治癒効果に有意な差は認められず、両剤の生物学的同等性が確認された1)

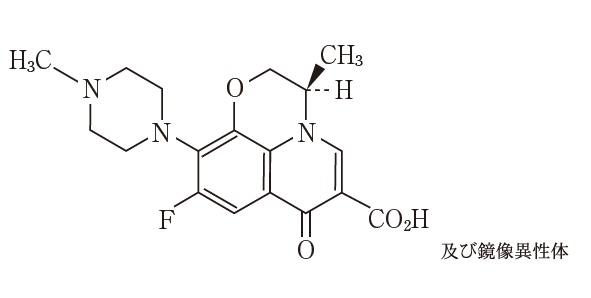
19. 有効成分に関する理化学的知見

一般的名称

オフロキサシン(Ofloxacin)

化学名

(3RS)-9-Fluoro-3-methyl-10-(4-methylpiperazin-1-yl)-7-oxo-2,3-dihydro-7H-pyrido[1,2,3-de][1,4]benzoxazine-6-carboxylic acid

分子式

C18H20FN3O4

分子量

361.37

性状

オフロキサシンは帯微黄白色〜淡黄白色の結晶又は結晶性の粉末である。
酢酸(100)に溶けやすく、水に溶けにくく、アセトニトリル又はエタノール(99.5)に極めて溶けにくい。
水酸化ナトリウム試液溶液(1→20)は旋光性を示さない。光によって変色する。
融点:約265℃(分解)

化学構造式

略号

OFLX

22. 包装

3.5gチューブ入×10本

24. 文献請求先及び問い合わせ先

日東メディック株式会社 おくすり相談窓口

〒104-0031 東京都中央区京橋1-10-7

電話:03-3523-0345
FAX:03-6264-4086

26. 製造販売業者等

26.1 製造販売元

東亜薬品株式会社

富山県富山市水橋開発277番10

26.2 発売元

日東メディック株式会社

富山県富山市八尾町保内1-14-1

〒100-0013 東京都千代田区霞が関3-3-2 新霞が関ビル

画面を閉じる

Copyright © Pharmaceuticals and Medical Devices Agency, All Rights reserved.