医療用医薬品 詳細表示

ジクアホソルNa点眼液3%「ニットー」

処方せん医薬品

添付文書番号
企業コード
作成又は改訂年月
日本標準商品分類番号
薬効分類名
承認等
一般的名称
2.禁忌(次の患者には投与しないこと)
3.組成・性状
3.1組成
3.2製剤の性状
4.効能又は効果
5.効能又は効果に関連する注意
6.用法及び用量
9.特定の背景を有する患者に関する注意
9.7小児等
11.副作用
11.2その他の副作用
14.適用上の注意
16.薬物動態
16.1血中濃度
16.3分布
16.4代謝
17.臨床成績
17.1有効性及び安全性に関する試験
18.薬効薬理
18.1作用機序
18.2ムチンを含む涙液分泌促進作用
18.3角膜上皮細胞のムチン産生促進作用
18.4角膜上皮障害改善作用
18.5病態モデル動物を用いた涙液分泌促進作用の評価
18.6病態モデル動物を用いた涙液ムチン分泌促進作用の評価
19.有効成分に関する理化学的知見
22.包装
23.主要文献
24.文献請求先及び問い合わせ先
26.製造販売業者等

ジクアホソルNa点眼液3%「ニットー」

添付文書番号

1319758Q1030_1_01

企業コード

480018

作成又は改訂年月

2023年9月作成(第1版)

日本標準商品分類番号

871319

薬効分類名

ドライアイ治療剤
(ムチン/水分分泌促進点眼剤)

承認等

ジクアホソルNa点眼液3%「ニットー」

販売名コード

YJコード

1319758Q1030

販売名英語表記

Diquafosol Na Ophthalmic Solution 3%「NITTO」

承認番号等

承認番号

30500AMX00215000

販売開始年月

2024年4月

貯法・有効期間

貯法

室温保存

有効期間

3年

一般的名称

ジクアホソルナトリウム点眼液

2. 禁忌(次の患者には投与しないこと)

  1. 2.1 本剤の成分に対し過敏症の既往歴のある患者

3. 組成・性状

3.1 組成

ジクアホソルNa点眼液3%「ニットー」

有効成分1mL中 ジクアホソルナトリウム 30mg  
添加剤リン酸水素ナトリウム水和物、塩化ナトリウム、塩化カリウム、ベンザルコニウム塩化物、pH調節剤

3.2 製剤の性状

ジクアホソルNa点眼液3%「ニットー」

pH7.2~7.8
浸透圧比1.0~1.1
性状無色澄明、無菌水性点眼剤

4. 効能又は効果

  • ドライアイ

5. 効能又は効果に関連する注意

  • 涙液異常に伴う角結膜上皮障害が認められ、ドライアイと診断された患者に使用すること。

6. 用法及び用量

  • 通常、1回1滴、1日6回点眼する。

9. 特定の背景を有する患者に関する注意

9.7 小児等

  • 小児等を対象とした臨床試験は実施していない。

11. 副作用

次の副作用があらわれることがあるので、観察を十分に行い、異常が認められた場合には投与を中止するなど適切な処置を行うこと。

11.2 その他の副作用

5%以上

1~5%未満

1%未満

頻度不明

眼刺激

眼脂、結膜充血、眼痛、眼のそう痒感、眼の異物感、眼部不快感、眼瞼炎

結膜下出血、眼の異常感(乾燥感、違和感、ねばつき感)、霧視、羞明、流涙、結膜炎

糸状角膜炎・表層角膜炎・角膜びらん等の角膜上皮障害

その他

頭痛、好酸球増加、ALT上昇

14. 適用上の注意

14.1 薬剤交付時の注意

患者に対し以下の点に注意するよう指導すること。

  • 薬液汚染防止のため、点眼のとき、容器の先端が直接目に触れないように注意すること。
  • 患眼を開瞼して結膜囊内に点眼し、1~5分間閉瞼して涙囊部を圧迫させた後、開瞼すること。
  • 他の点眼剤を併用する場合には、少なくとも5分間以上間隔をあけてから点眼すること。
  • 本剤に含まれているベンザルコニウム塩化物は、ソフトコンタクトレンズに吸着されることがあるので、ソフトコンタクトレンズを装用している場合は、点眼前にレンズを外し、点眼後少なくとも5~10分間の間隔をあけて再装用すること。

16. 薬物動態

16.1 血中濃度

  • 健康成人男性の両眼に0.3%、1%、3%、5%ジクアホソルナトリウム点眼液1) を1回1滴、1日1回1日間、1日6回1日間もしくは1日6回7日間点眼したときの血漿中未変化体及び代謝物濃度を測定した結果、血漿中未変化体濃度は、すべての被験者における全測定時点で定量下限値(2ng/mL)未満であった。代謝物(UTP、UDP、UMP、ウリジン)についても、内因性成分に由来する生理的濃度に影響を与えなかった1),2)
  • 1) 本剤が承認されている濃度は3%である。

16.3 分布

  • 白色ウサギの両眼に3%14C-ジクアホソルナトリウム点眼液を単回点眼したとき、結膜、角膜などの外眼部組織に高い濃度で検出され、結膜及び角膜では点眼後5分に最高濃度を示し、点眼後24時間には最高濃度の4~30%となった3)

16.4 代謝

  • ヒト血漿及びヒト肝ミクロソームを用いたin vitro代謝反応において、ジクアホソルナトリウムは速やかに代謝を受け、UMP、ウリジン及びウラシルの生成が認められた4),5)in vitro)。
    ジクアホソルナトリウムはecto alkaline phosphodiesterase Iにより、UTP及びUMPに加水分解されると考えられた6)

17. 臨床成績

17.1 有効性及び安全性に関する試験

  1. 17.1.1 国内第Ⅲ相試験

    ドライアイ患者287例(有効性解析対象286例)を対象とした無作為化二重盲検比較試験において、観察期にプラセボ点眼液を2週間1日6回点眼後、3%ジクアホソルナトリウム点眼液又は0.1%精製ヒアルロン酸ナトリウム点眼液を1日6回、4週間点眼した結果、3%ジクアホソルナトリウム点眼液(シェーグレン症候群患者36例を含む144例)は対照薬(シェーグレン症候群患者32例を含む142例)に比較して、同等の角膜フルオレセイン染色スコア*の低下が認められた。さらに、3%ジクアホソルナトリウム点眼液は対照薬に比較して、角膜及び結膜ローズベンガル染色スコア*を有意に低下させた。
    副作用は3%ジクアホソルナトリウム点眼液群144例中22例(15.3%)に認められ、主な副作用は眼刺激6.3%(9/144例)、眼脂2.8%(4/144例)及び眼の異物感2.8%(4/144例)であった7)

フルオレセイン染色スコアの比較

3%DQS

(n=144)

0.1%HA

(n=142)

変化量
(4週後または中止時)

-2.12±0.14

-2.08±0.13

群間差[95%信頼区間]
(3%DQS-0.1%HA)

-0.03[-0.405~0.338]

3%DQS:3%ジクアホソルナトリウム点眼液

0.1%HA:0.1%精製ヒアルロン酸ナトリウム点眼液
(平均±標準誤差)


ローズベンガル染色スコアの比較

3%DQS

(n=144)

0.1%HA

(n=141)

変化量
(4週後または中止時)

-3.06±0.19

-2.38±0.18

群間差[95%信頼区間]
(3%DQS-0.1%HA)

-0.67[-1.18~-0.16]

3%DQS:3%ジクアホソルナトリウム点眼液

0.1%HA:0.1%精製ヒアルロン酸ナトリウム点眼液
(平均±標準誤差)

  • 臨床試験でのスコアリング方法
    フルオレセイン染色では角膜を上中下に3分割し、それぞれ0点から3点で障害の程度をスコア化し、合計9点満点として評価した。ローズベンガル染色では3分割した角膜の評価に加えて鼻側結膜及び耳側結膜をそれぞれ0点から3点で障害の程度をスコア化し、合計15点満点として評価した。
  1. 17.1.2 臨床効果の類似性を確認する試験

    ドライアイ患者において、ジクアホソルNa点眼液3%「ニットー」又はジクアス点眼液3%を、部分遮蔽、並行群間比較法により、両眼に1日6回、1回1滴、4週間反復点眼した結果、得られたパラメータ(治療期4週におけるベースラインからの角膜染色スコア変化量)について製剤間差の点推定値は類似性の許容域±0.40の範囲内であり、両剤の臨床効果の類似性が確認された。
    副作用は、ジクアホソルNa点眼液3%「ニットー」群72例中7例(9.7%)に認められ、眼脂4.2%(3/72例)、眼刺激4.2%(3/72例)及び結膜炎1.4%(1/72例)であった8)

角膜染色スコアの比較

ジクアホソルNa点眼液3%

「ニットー」#

ジクアス点眼液3%##

ベースライン

3.89±1.05

4.00±1.12

治療期4週

2.07±1.55

1.93±1.47

角膜染色スコア変化量

-1.82±1.36

-2.07±1.48

製剤間差(最小二乗平均)

0.21

(平均値±標準偏差,#n=71,##n=70)

18. 薬効薬理

18.1 作用機序

  • ジクアホソルナトリウムは、結膜上皮及び杯細胞膜上のP2Y2受容体に作用し、細胞内のカルシウムイオン濃度を上昇させることにより、水分及びムチンの分泌促進作用を示す。また、角膜上皮の膜結合型ムチンの発現・産生促進作用も有する9),10),11),12),13)

18.2 ムチンを含む涙液分泌促進作用

  • 正常動物(ウサギ及びラット)において、ジクアホソルナトリウムの単回点眼により、涙液の分泌及び結膜細胞からのムチン分泌を促進した12) ,14) ,15)
  • ラットドライアイモデルにおいて、ジクアホソルナトリウムの単回点眼により、涙液の分泌を促進した。また、反復点眼により結膜組織内のムチン量は増加した16), 17)

18.3 角膜上皮細胞のムチン産生促進作用

  • ジクアホソルナトリウムは、角膜上皮細胞のムチンの遺伝子発現及びタンパク質産生を促進した(in vitro13) ,18)

18.4 角膜上皮障害改善作用

  • ラットドライアイモデルにおける角膜上皮障害は、ジクアホソルナトリウム溶液を1日6回、4週間反復点眼した結果、濃度依存的に改善され、1%以上で最大効果を示した。また、1%ジクアホソルナトリウム溶液を2週間反復点眼した結果、1日6回以上の点眼回数で最大改善効果を示した19), 20)

18.5 病態モデル動物を用いた涙液分泌促進作用の評価

  • 涙腺を摘出したモルモット(Hartley系,雄性,n=40/群)にジクアホソルNa点眼液3%「ニットー」又はジクアス点眼液3%を点眼投与して涙液増加量を比較した。その結果、涙液増加量の平均値の差の割合は90%信頼区間で許容域の範囲内にあり、両剤の涙液分泌促進作用は同等であった21)
涙腺摘出モルモットにおける涙液分泌促進作用の比較

涙液増加量(mm/30 sec.)*1

平均値の差の割合の90%信頼区間*2(%)

ジクアホソルNa点眼液3%

「ニットー」


ジクアス点眼液3%

6.69±2.30

6.71±2.17

-12.70~12.12

*1:平均値±標準偏差
*2:90%信頼区間が許容域(±20%)の範囲内にある場合に同等と判定

18.6 病態モデル動物を用いた涙液ムチン分泌促進作用の評価

  • 涙腺を摘出したモルモット(Hartley系,雄性,n=34/群)にジクアホソルNa点眼液3%「ニットー」又はジクアス点眼液3%を点眼投与して涙液ムチンの増加量を比較した。その結果、涙液ムチン増加量の平均値の差の割合は許容域の範囲内にあり、両剤の涙液ムチン分泌促進作用に類似性が認められた22)
涙腺摘出モルモットにおける涙液ムチン分泌促進作用の比較

涙液ムチン増加量(µg)*1

平均値の差の割合*2
(%)

ジクアホソルNa点眼液3%

「ニットー」

ジクアス点眼液3%

0.21±0.10

0.18±0.07

14.72

*1:平均値±標準偏差
*2:許容域(±20%)の範囲内にある場合に類似と判定

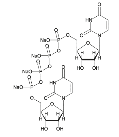
19. 有効成分に関する理化学的知見

一般的名称

ジクアホソルナトリウム(Diquafosol Sodium)

化学名

Tetrasodium P1,P4-bis(5'-uridyl)tetraphosphate

分子式

C18H22N4Na4O23P4

分子量

878.23

性状

ジクアホソルナトリウムは白色の粉末である。

化学構造式

22. 包装

プラスチック点眼容器5mL×10本、5mL×50本

23. 主要文献

1) 第Ⅰ相単回・1日頻回点眼試験(ジクアス点眼液3%:2010年4月16日承認、申請資料概要2.7.6.1)

2) 第Ⅰ相連続点眼試験(ジクアス点眼液3%:2010年4月16日承認、申請資料概要2.7.6.2)

3) ウサギ単回点眼時の眼内動態(ジクアス点眼液3%:2010年4月16日承認、申請資料概要2.6.4.4)

4) In vitroにおける代謝(血漿におけるin vitro代謝物)(ジクアス点眼液3%:2010年4月16日承認、申請資料概要2.6.4.5)

5) In vitroにおける代謝(ヒト肝ミクロソームにおけるin vitro代謝物)(ジクアス点眼液3%:2010年4月16日承認、申請資料概要2.6.4.5)

6) Picher,M.et al.:Am.J.Respir.Cell Mol.Biol.2000;23:255-261

7) Takamura,E.et al.:Br.J.Ophthalmol.2012;96:1310-1315

8) 社内資料:ジクアホソルNa点眼液3%「ニットー」の臨床試験

9) Cowlen,MS.et al.:Exp.Eye Res.2003;77:77-84

10) Pendergast,W.et al.:Bioorg.Med.Chem.Lett.2001;11:157-160

11) 七條優子ほか:あたらしい眼科.2011;28(4):543-548

12) 七條優子ほか:あたらしい眼科.2011;28(7):1029-1033

13) 阪元明日香ほか:別冊 BIO Clinica.2015;4(3):114-117

14) 正常動物に対する作用(涙液分泌促進作用)(ジクアス点眼液3%:2010年4月16日承認、申請資料概要2.6.2.2)

15) Fujihara,T.et al.:J.Ocul.Pharmacol.Ther.2002;18(4):363-370

16) ドライアイモデル動物に対する作用(涙液分泌促進作用)(ジクアス点眼液3%:2010年4月16日承認、申請資料概要2.6.2.2)

17) ドライアイモデル動物に対する作用(ムチン分泌促進作用)(ジクアス点眼液3%:2010年4月16日承認、申請資料概要2.6.2.2)

18) 七條優子ほか:あたらしい眼科.2011;28(3):425-429

19) ラット眼窩外涙腺摘出ドライアイモデルにおける角膜上皮障害改善作用-用量反応試験-(ジクアス点眼液3%:2010年4月16日承認、申請資料概要2.6.2.2)

20) ラット眼窩外涙腺摘出ドライアイモデルにおける角膜上皮障害改善作用-点眼回数の検討-(ジクアス点眼液3%:2010年4月16日承認、申請資料概要2.6.2.2)

21) 社内資料:ジクアホソルNa点眼液3%「ニットー」の病態モデル動物を用いた涙液分泌促進作用の評価

22) 社内資料:ジクアホソルNa点眼液3%「ニットー」の病態モデル動物を用いた涙液ムチン分泌促進作用の評価

24. 文献請求先及び問い合わせ先

日東メディック株式会社 おくすり相談窓口

〒104-0031 東京都中央区京橋1-10-7

電話:03-3523-0345
FAX:03-6264-4086

26. 製造販売業者等

26.1 製造販売元

東亜薬品株式会社

富山県富山市水橋開発277番10

26.2 発売元

日東メディック株式会社

富山県富山市八尾町保内1-14-1

〒100-0013 東京都千代田区霞が関3-3-2 新霞が関ビル

画面を閉じる

Copyright © Pharmaceuticals and Medical Devices Agency, All Rights reserved.