医療用医薬品 詳細表示

ドルモロール配合点眼液「ニットー」

処方せん医薬品

添付文書番号
企業コード
作成又は改訂年月
日本標準商品分類番号
薬効分類名
承認等
一般的名称
2.禁忌(次の患者には投与しないこと)
3.組成・性状
3.1組成
3.2製剤の性状
4.効能又は効果
5.効能又は効果に関連する注意
6.用法及び用量
8.重要な基本的注意
9.特定の背景を有する患者に関する注意
9.1合併症・既往歴等のある患者
9.2腎機能障害患者
9.3肝機能障害患者
9.5妊婦
9.6授乳婦
9.7小児等
9.8高齢者
10.相互作用
10.2併用注意(併用に注意すること)
11.副作用
11.1重大な副作用
11.2その他の副作用
14.適用上の注意
15.その他の注意
15.1臨床使用に基づく情報
16.薬物動態
16.1血中濃度
16.3分布
16.4代謝
16.5排泄
16.7薬物相互作用
16.8その他
17.臨床成績
17.1有効性及び安全性に関する試験
18.薬効薬理
18.1作用機序
18.2眼圧下降作用
18.3血管拡張作用
18.4眼血流への作用
19.有効成分に関する理化学的知見
20.取扱い上の注意
22.包装
23.主要文献
24.文献請求先及び問い合わせ先
26.製造販売業者等

ドルモロール配合点眼液「ニットー」

添付文書番号

1319819Q1046_1_04

企業コード

480018

作成又は改訂年月

2023年7月改訂(第1版)

日本標準商品分類番号

871319

薬効分類名

炭酸脱水酵素阻害剤/β-遮断剤配合剤
緑内障・高眼圧症治療剤

承認等

ドルモロール配合点眼液「ニットー」

販売名コード

YJコード

1319819Q1046

販売名英語表記

Dormolol Combination Ophthalmic Solution 「NITTO」

承認番号等

承認番号

23000AMX00307000

販売開始年月

2018年6月

貯法・有効期間

貯法

室温保存

有効期間

3年

基準名

日本薬局方

ドルゾラミド塩酸塩・チモロールマレイン酸塩点眼液

一般的名称

ドルゾラミド塩酸塩・チモロールマレイン酸塩点眼液

2. 禁忌(次の患者には投与しないこと)

  1. 2.1 本剤の成分に対し過敏症の既往歴のある患者
  2. 2.2 気管支喘息又はその既往歴のある患者、気管支痙攣又は重篤な慢性閉塞性肺疾患のある患者[喘息発作の誘発・増悪がみられるおそれがある。]
  3. 2.3 コントロール不十分な心不全、洞性徐脈、房室ブロック(Ⅱ、Ⅲ度)又は心原性ショックのある患者[これらの症状を増悪させるおそれがある。]
  4. 2.4 重篤な腎障害のある患者

3. 組成・性状

3.1 組成

ドルモロール配合点眼液「ニットー」

有効成分1mL中
ドルゾラミド塩酸塩:11.13mg
(ドルゾラミドとして10mg)

チモロールマレイン酸塩:6.83mg
(チモロールとして5mg)  
添加剤クエン酸ナトリウム水和物、ヒドロキシエチルセルロース、D-マンニトール、ベンザルコニウム塩化物、pH調節剤

3.2 製剤の性状

ドルモロール配合点眼液「ニットー」

pH5.5~5.8
浸透圧比0.95~1.25
性状無色澄明、わずかに粘稠性のある無菌水性点眼剤

4. 効能又は効果

  • 次の疾患で、他の緑内障治療薬が効果不十分な場合:緑内障、高眼圧症

5. 効能又は効果に関連する注意

  1. 5.1 単剤での治療を優先すること。

6. 用法及び用量

1回1滴、1日2回点眼する。

8. 重要な基本的注意

  1. 8.1 全身的に吸収される可能性があり、β遮断剤又はスルホンアミド系薬剤の全身投与時と同様の副作用があらわれることがあるので、留意すること。特に、重篤な副作用もしくは過敏症状があらわれた場合には投与を中止すること。
  2. 8.2 縮瞳剤からチモロールマレイン酸塩製剤に切り替える場合、縮瞳作用の消失に伴い、屈折調整を必要とすることがある。

9. 特定の背景を有する患者に関する注意

9.1 合併症・既往歴等のある患者

  1. 9.1.1 肺高血圧による右心不全のある患者

    肺高血圧による右心不全の症状を増悪させるおそれがある。

  2. 9.1.2 うっ血性心不全のある患者

    うっ血性心不全の症状を増悪させるおそれがある。

  3. 9.1.3 糖尿病性ケトアシドーシス及び代謝性アシドーシスのある患者

    アシドーシスによる心筋収縮力の抑制を増強するおそれがある。

  4. 9.1.4 コントロール不十分な糖尿病のある患者

    血糖値に注意すること。低血糖症状をマスクすることがある。

  5. 9.1.5 眼内手術の既往等のある患者

    角膜内皮細胞数の減少により角膜浮腫の発現が増加する可能性がある。

  6. 9.1.6 急性閉塞隅角緑内障の患者

    本剤を用いる場合には、薬物療法以外に手術療法などを考慮すること。

9.2 腎機能障害患者

  1. 9.2.1 重篤な腎障害のある患者

    投与しないこと。ドルゾラミド塩酸塩及びその代謝物は主に腎より排泄されるため、体内に蓄積するおそれがある。

9.3 肝機能障害患者

  • 肝機能障害患者を対象とした臨床試験は実施していない。

9.5 妊婦

  • 妊婦又は妊娠している可能性のある女性には治療上の有益性が危険性を上回ると判断される場合にのみ投与すること。
    ドルゾラミド塩酸塩の動物実験(ウサギ、経口)において、母動物に代謝性アシドーシスを生じる用量を投与したとき、胎児の中軸骨格奇形が報告されている。
    また、チモロールマレイン酸塩の動物実験(経口)において、器官形成期のラットに500mg/kg/dayを投与したとき骨化遅延が、マウスに1,000mg/kg/day、ウサギに200mg/kg/dayを投与したとき、死亡胎児数の増加が認められている。

9.6 授乳婦

  • 治療上の有益性及び母乳栄養の有益性を考慮し、授乳の継続又は中止を検討すること。チモロールマレイン酸塩はヒト母乳中へ移行することがある。

9.7 小児等

  • 小児を対象とした臨床試験は実施していない。

9.8 高齢者

  • 一般に生理機能が低下している。

10. 相互作用

    • ドルゾラミドは、主としてCYP2C9、2C19及び3A4によって代謝される。チモロールは、主としてCYP2D6によって代謝される。

10.2 併用注意(併用に注意すること)

薬剤名等臨床症状・措置方法機序・危険因子

オミデネパグ イソプロピル

結膜充血等の眼炎症性副作用の発現頻度の上昇が認められている。

機序不明

アドレナリン
ジピベフリン塩酸塩

散瞳作用が助長されたとの報告がある。

機序不明

カテコールアミン枯渇剤:

  • レセルピン等

交感神経系に対し、過剰の抑制を来すことがあり、低血圧、徐脈を生じ、眩暈、失神、起立性低血圧を起こすことがある。

カテコールアミンの枯渇を起こす薬剤は、β-遮断作用を相加的に増強する可能性がある。

β-遮断剤(全身投与):

  • アテノロール
    プロプラノロール塩酸塩
    メトプロロール酒石酸塩

眼圧下降あるいはβ-遮断剤の全身的な作用が増強されることがある。

作用が相加的にあらわれることがある。

カルシウム拮抗剤:

  • ベラパミル塩酸塩
    ジルチアゼム塩酸塩

房室伝導障害、左室不全、低血圧を起こすおそれがある。

相互に作用が増強される。

ジギタリス製剤:

  • ジゴキシン
    ジギトキシン

心刺激伝導障害(徐脈、房室ブロック等)があらわれるおそれがある。

相加的に作用(心刺激伝導抑制作用)を増強させる。

CYP2D6阻害作用を有する薬剤:

  • キニジン硫酸塩水和物
    選択的セロトニン再取り込み阻害剤

β-遮断作用(例えば心拍数減少、徐脈)が増強するとの報告がある。

これらの薬剤は本剤の代謝酵素であるP450 (CYP2D6)を阻害し、本剤の血中濃度が上昇する可能性がある。

炭酸脱水酵素阻害剤(全身投与):

  • アセタゾラミド

炭酸脱水酵素阻害剤の全身的な作用が増強される可能性がある。

作用が相加的にあらわれる可能性がある。

アスピリン(大量)

本剤を大量のアスピリンと併用すると、双方又は一方の薬剤の副作用が増強される可能性がある。

経口炭酸脱水酵素阻害剤では次のようなことが報告されている。アスピリンは炭酸脱水酵素阻害剤の血漿蛋白結合と腎からの排泄を抑制し、炭酸脱水酵素阻害剤は血液のpHを低下させ、サリチル酸の血漿から組織への移行を高める可能性がある。

11. 副作用

次の副作用があらわれることがあるので、観察を十分に行い、異常が認められた場合には投与を中止するなど適切な処置を行うこと。

11.1 重大な副作用

  1. 11.1.1 眼類天疱瘡(頻度不明)

    結膜充血、角膜上皮障害、乾性角結膜炎、結膜萎縮、睫毛内反、眼瞼眼球癒着等があらわれることがある。

  2. 11.1.2 気管支痙攣、呼吸困難、呼吸不全(いずれも頻度不明)

    β-受容体遮断による気管支平滑筋収縮作用により、気管支痙攣、呼吸困難、呼吸不全があらわれることがある。

  3. 11.1.3 心ブロック、うっ血性心不全、心停止(いずれも頻度不明)

    β-受容体遮断による陰性変時・変力作用により、心ブロック、うっ血性心不全、心停止があらわれることがある。,,

  4. 11.1.4 脳虚血、脳血管障害(いずれも頻度不明)
  5. 11.1.5 全身性エリテマトーデス(頻度不明)
  6. 11.1.6 皮膚粘膜眼症候群(Stevens-Johnson症候群)、中毒性表皮壊死融解症(Toxic Epidermal Necrolysis:TEN)(いずれも頻度不明)

11.2 その他の副作用

5%以上

1~5%未満

1%未満

頻度不明

眼刺激症状 (しみる・灼熱感・異物感・流涙・疼痛・そう痒感等)

角膜炎、結膜充血、点眼直後にみられる眼のかすみ、眼痛

角膜びらん・角膜上皮障害等の角膜障害、眼瞼炎

角膜知覚低下、複視、霧視・視力低下等の視力障害、眼乾燥感、眼のべとつき感、眼瞼下垂、眼脂、羞明、眼底黄斑部の浮腫・混濁1) 、結膜炎、結膜浮腫、白色の結膜下沈着物

循環器

失神、浮腫、レイノー現象、四肢冷感、動悸、徐脈等の不整脈、低血圧

精神神経系

頭痛

抑うつ、重症筋無力症の増悪、悪夢、感覚異常、浮動性めまい、不眠

消化器

下痢、消化不良、悪心、口渇、腹痛

その他

脱力感、耳鳴、不快、胸部圧迫感、発疹、倦怠感、咳、苦味、四肢のしびれ、筋肉痛、味覚異常

1) 無水晶体眼又は眼底に病変のある患者等に長期連用した場合

14. 適用上の注意

14.1 薬剤交付時の注意

患者に対し以下の点に注意するよう指導すること。

  • 本剤に含まれているベンザルコニウム塩化物はソフトコンタクトレンズに吸着されることがあるので、ソフトコンタクトレンズを装用している場合には、点眼前にレンズを外し、点眼後少なくとも5~10分間の間隔をあけて再装用すること。
  • 薬液汚染防止のため、点眼のとき、容器の先端が直接目に触れないように注意すること。
  • 患眼を開瞼して結膜嚢内に点眼し、1~5分間閉瞼して涙嚢部を圧迫させた後、開瞼すること。
  • 他の点眼剤を併用する場合には、少なくとも5分以上間隔をあけてから点眼すること。
  • 遮光して保存すること。

15. その他の注意

15.1 臨床使用に基づく情報

  • 本剤投与により高度の流涙を伴う眼刺激症状が発現した場合には、薬剤が洗い流され、所期の効果が得られないことがある。

16. 薬物動態

16.1 血中濃度

健康成人男性(8例)に2.5%ドルゾラミド点眼液を1回1滴、1日3回、7日間点眼したとき、全血中ドルゾラミド濃度は投与8日目に最高1028ng/mLであった1)
健康成人(8例)に0.5%チモロール点眼液1回40μLを単回点眼したとき、最高血漿中チモロール濃度は1.14ng/mLであった2)

16.3 分布

  • ・有色ウサギに2%ドルゾラミド塩酸塩/0.5%チモロールマレイン酸塩点眼液注)を1回点眼したとき、いずれの配合成分も前眼部及び後眼部の各眼組織(角膜、虹彩、毛様体、房水、水晶体、硝子体、網膜、脈絡膜及び強膜)に広範に分布した。また、両成分ともに前眼部の角膜及び虹彩・毛様体に高濃度で分布した3)
    ・ドルゾラミド濃度0.1µg/mL及び1.0µg/mLでのヒト血漿タンパク結合率はそれぞれ30.1%及び27.8%であった4)in vitro)。
    ・ヒト赤血球においてドルゾラミドの結合部位は高親和性及び低親和性の2種類の存在が示唆された。ドルゾラミドのヒト炭酸脱水酵素Ⅱ及び炭酸脱水酵素Ⅰに対する解離定数(Kd値)は、それぞれ0.0006µmol/L及び2.43µmol/Lであった5)in vitro)。
  • ・ チモロールの血漿タンパク結合率は約60%である6)

16.4 代謝

  • ・ ドルゾラミドは主としてCYP2C9、2C19及び3A4によって代謝される7)in vitro )。チモロールは主としてCYP2D6によって代謝される8)
    14C-チモロール4mgを単回経口投与した後のヒト尿中には、ジメチルエチルアミノ基が脱離して生成されたカルボン酸代謝物、及びモルホリン環が開裂した代謝物が認められた(外国人データ)9),10)

16.5 排泄

  • ・健康成人男性(8例)に、2.5%ドルゾラミド点眼液を1回1滴、1日3回、7日間点眼したとき、ドルゾラミドの尿中排泄量は投与8日目までに全投与量の約0.6%であった1)

16.7 薬物相互作用

  • ヒト肝ミクロソームを用いてチモロールの代謝に及ぼすドルゾラミドの影響を評価した。ドルゾラミド200µmol/L添加時のチモロール(基質濃度:79nmol/L)の代謝率は対照試料(ドルゾラミド添加濃度:0µmol/L)に対して96%であり、ドルゾラミドはチモロールの代謝を阻害しなかった11)

16.8 その他

  1. 16.8.1 生物学的同等性試験

    ドルモロール配合点眼液「ニットー」は、コソプト配合点眼液の分析結果に基づき添加剤の種類及び含量(濃度)がコソプト配合点眼液と同一となるよう処方設計を行ったものであり、pH、粘度、浸透圧などの物理化学的性質が近似することから、生物学的に同等とみなされた。

17. 臨床成績

17.1 有効性及び安全性に関する試験

  1. 17.1.1 国内第Ⅲ相試験

    原発開放隅角緑内障又は高眼圧症の患者474例(有効性解析対象463例)を対象とした国内第Ⅲ相二重盲検比較試験において、観察期に0.5%チモロール点眼液を1日2回4週間投与した後、治療期に1%ドルゾラミド塩酸塩/0.5%チモロールマレイン酸塩点眼液(以下、配合剤)1日2回又は各対照薬[対照薬:0.5%チモロール点眼液1日2回(以下、チモロール群)、1%ドルゾラミド点眼液1日3回/0.5%チモロール点眼液1日2回併用(以下、併用療法群)]をそれぞれ8週間投与した結果、治療期8週時の眼圧変化量の最小二乗平均は、配合剤群、チモロール群及び併用療法群において、それぞれ-2.50mmHg、-1.82mmHg及び-2.78mmHgであり、配合剤のチモロールに対する優越性及び併用療法に対する非劣性が示された(ベースライン眼圧値を共変量、投与群を要因とした共分散分析)(表1)。

    副作用(臨床検査値の副作用を含む)は、配合剤群189例中26例(13.8%)に認められ、主な副作用は滴下投与部位刺激感6.9%(13/189例)であった12)

表1 最終評価時(治療期8週時又は中止時)における投与2時間後の眼圧値及びベースラインからの眼圧変化量(mmHg)の比較(FAS:463例)

測定時期

眼圧値(mmHg)

配合剤群
(n=185)

チモロール群
(n=90)

併用療法群
(n=188)

ベースライン(治療期開始時)の眼圧値

20.58±2.07

20.27±1.85

20.41±2.32

最終評価時の眼圧値

18.04±2.79

18.51±2.91

17.64±2.90

眼圧変化量の最小二乗平均[95%信頼区間]

-2.50
[-2.86, -2.15]

-1.82
[-2.33, -1.31]

-2.78
[-3.13, -2.43]

配合剤群との差
[95%信頼区間]

-0.68
[-1.30, -0.06]

0.28
[-0.22, 0.78]

平均値±標準偏差

18. 薬効薬理

18.1 作用機序

本剤の配合成分であるドルゾラミド塩酸塩は、炭酸脱水酵素アイソザイムⅡの阻害薬である。一方の配合成分であるチモロールマレイン酸塩は、非選択的β-受容体遮断薬である。両剤は異なる作用機序により眼圧下降作用を示す。

  • 炭酸脱水酵素阻害作用
  • 炭酸脱水酵素は眼を含む多くの組織に存在し、生体内での二酸化炭素の水和、炭酸の脱水の可逆的反応(CO2+H2O⇔ H2CO3)をあずかる酵素である。ドルゾラミド塩酸塩は毛様体に存在するこの酵素を特異的に阻害し、炭酸水素イオンの形成を遅延させ、ナトリウムの液輸送を低下させることにより、房水産生を抑制し、眼圧下降作用を示すと考えられる13),14),15)
  • β-受容体遮断作用
  • チモロールマレイン酸塩の眼圧下降作用機序の詳細は明らかではないが、サル、健康成人でのフルオロフォトメトリー試験及び緑内障患者でのトノグラフィー試験において、主に房水産生の抑制によることが示唆されている16),17),18),19)

18.2 眼圧下降作用

  • カニクイザルにおけるアルゴンレーザー処置高眼圧及び白色ウサギにおけるα-キモトリプシン誘発高眼圧に対し、2%ドルゾラミド塩酸塩/0.5%チモロールマレイン酸塩点眼液2) の点眼により有意な眼圧下降効果が認められている。また、正常眼圧白色ウサギにおいても同様に2%ドルゾラミド塩酸塩/0.5%チモロールマレイン酸塩点眼液の点眼により眼圧下降効果が認められている20)

2) 本剤の承認された濃度は1%ドルゾラミド塩酸塩/0.5%チモロールマレイン酸塩点眼液である。

18.3 血管拡張作用

  • ブタを用いた実験において、ドルゾラミド塩酸塩500mgの静脈投与による網膜血管拡張作用が認められている21)

18.4 眼血流への作用

  • 正常眼圧緑内障患者に、1%ドルゾラミド塩酸塩点眼液を1日3回、2週間点眼した結果、網膜中心動脈の最低血流速度の上昇が認められた22)

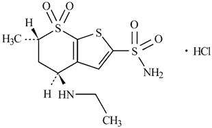
19. 有効成分に関する理化学的知見

19.1 ドルゾラミド塩酸塩

一般名:ドルゾラミド塩酸塩(Dorzolamide Hydrochloride)
化学名:(4S,6S)-4-Ethylamino-6-methyl-5,6-dihydro-4H-thieno[2,3-b]thiopyran-2-sulfonamide 7,7-dioxide monohydrochloride
分子式:C10H16N2O4S3・HCl
分子量:360.90
性状:ドルゾラミド塩酸塩は白色の結晶性の粉末である。
水にやや溶けやすく、メタノールにやや溶けにくく、エタノール(99.5)に極めて溶けにくい。
薄めたアンモニア水(28)(13→400)に溶ける。
旋光度〔α〕25404.7:-16.0~-17.5°(脱水物に換算したもの0.25g、水、25mL、100mm)。
結晶多形が認められる。

構造式:

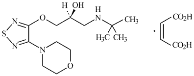
19.2 チモロールマレイン酸塩

一般名:チモロールマレイン酸塩(Timolol Maleate)
化学名:(2S)-1-[(1,1-Dimethylethyl)amino]-3-(4-morpholin-4-yl-1,2,5-thiadiazol-3-yloxy)propan-2-ol monomaleate
分子式:C13H24N4O3S・C4H4O4
分子量:432.49
性状:チモロールマレイン酸塩は白色~微黄白色の結晶性の粉末である。
酢酸(100)に溶けやすく、水又はエタノール(99.5)にやや溶けやすい。
0.1mol/L塩酸試液に溶ける。
融点:約197℃(分解)

構造式:

20. 取扱い上の注意

外箱開封後は、遮光して保存すること。

22. 包装

プラスチック点眼容器 5mL×5本、5mL×10本

23. 主要文献

1) 北澤克明ほか:臨床医薬.1993;9(6):1309-1325

2) Korte JM, et al.:Graefe's Arch Clin Exp Ophthalmol.2002;240:430-435

3) 有色ウサギにおける眼組織分布試験(コソプト配合点眼液:2010年4月16日承認、申請資料概要2.6.4.4)

4) 原健一ほか:薬物動態.1995;10(1):1-17

5) Hasegawa T, et al.:Drug Metab Dispos.1994;22(3):377-382

6) 第十八改正日本薬局方解説書(廣川書店).2021:C-3266

7) Wong BK, et al.:ISSX Proceedings.1995;8:140-140

8) Volotinen M, et al.:Drug Metab Dispos.2007;35(7):1135-1141

9) Wasson B. K, et al.:J. Med. Chem.1980;23(11):1178-1184

10) Tocco, D. J, et al.:Drug Metab. Dispos.1975;3(5):361-370

11) ヒト肝ミクロソームによるチモロールの代謝に及ぼすドルゾラミドの影響(コソプト配合点眼液:2010年4月16日承認、申請資料概要2.7.2.2)

12) 北澤克明ほか:日本眼科学会雑誌.2011;115(6):495-507

13) Vanlandingham BD, et al.:Ophthalmology.1998;105(8):1537-1540

14) 中島正之:あたらしい眼科.1993;10(6):959-964

15) Iester M:Clin Ophthalmol.2008;2(3):517-523

16) Miichi H, et al.:Invest Ophthalmol Vis Sci.1983;24(9):1269-1275

17) 新家真ほか:日本眼科学会雑誌.1980;84(10):1436-1446

18) 藤永豊ほか:眼科臨床医報.1980;74(4):409-414

19) 玉田康房ほか:日本眼科紀要.1980;31(10):1667-1673

20) サル及びウサギの高眼圧症モデル並びに正常眼圧ウサギにおける2%ドルゾラミド/0.5%チモロール点眼液を用いた効力を裏付ける試験(コソプト配合点眼液:2010年4月16日承認、申請資料概要2.6.2.2)

21) Pedersen DB, et al.:Graefe's Arch Clin Exp Ophthalmol.2005;243:163-168

22) 江見和雄:あたらしい眼科.2001;18(2):255-257

24. 文献請求先及び問い合わせ先

日東メディック株式会社 おくすり相談窓口

〒104-0031 東京都中央区京橋1-10-7

電話:03-3523-0345
FAX:03-6264-4086

26. 製造販売業者等

26.1 製造販売元

東亜薬品株式会社

富山県富山市水橋開発277番10

26.2 発売元

日東メディック株式会社

富山県富山市八尾町保内1-14-1

〒100-0013 東京都千代田区霞が関3-3-2 新霞が関ビル

画面を閉じる

Copyright © Pharmaceuticals and Medical Devices Agency, All Rights reserved.