医療用医薬品 詳細表示

トラチモ配合点眼液「ニットー」

処方せん医薬品

添付文書番号
企業コード
作成又は改訂年月
日本標準商品分類番号
薬効分類名
承認等
一般的名称
2.禁忌(次の患者には投与しないこと)
3.組成・性状
3.1組成
3.2製剤の性状
4.効能又は効果
5.効能又は効果に関連する注意
6.用法及び用量
7.用法及び用量に関連する注意
8.重要な基本的注意
9.特定の背景を有する患者に関する注意
9.1合併症・既往歴等のある患者
9.5妊婦
9.6授乳婦
9.7小児等
9.8高齢者
10.相互作用
10.2併用注意(併用に注意すること)
11.副作用
11.1重大な副作用
11.2その他の副作用
14.適用上の注意
16.薬物動態
16.1血中濃度
16.3分布
16.4代謝
17.臨床成績
17.1有効性及び安全性に関する試験
17.3その他
18.薬効薬理
18.1作用機序
18.2眼圧下降作用
18.3β-受容体遮断作用
19.有効成分に関する理化学的知見
20.取扱い上の注意
22.包装
23.主要文献
24.文献請求先及び問い合わせ先
26.製造販売業者等

トラチモ配合点眼液「ニットー」

添付文書番号

1319820Q1030_1_03

企業コード

480018

作成又は改訂年月

2023年10月改訂(第1版)

日本標準商品分類番号

871319

薬効分類名

プロスタグランジンF誘導体/β遮断薬配合
緑内障・高眼圧症治療剤

承認等

トラチモ配合点眼液「ニットー」

販売名コード

YJコード

1319820Q1030

販売名英語表記

TraTimo Combination Ophthalmic Solution 「NITTO」

一般的名称

トラボプロスト・チモロールマレイン酸塩配合点眼液

2. 禁忌(次の患者には投与しないこと)

  1. 2.1 本剤の成分に対し過敏症の既往歴のある患者
  2. 2.2 気管支喘息又はその既往歴のある患者、気管支痙攣又は重篤な慢性閉塞性肺疾患のある患者[喘息発作の誘発・増悪がみられるおそれがある。]
  3. 2.3 コントロール不十分な心不全、洞性徐脈、房室ブロック(Ⅱ、Ⅲ度)又は心原性ショックのある患者[これらの症状を増悪させるおそれがある。]

3. 組成・性状

3.1 組成

トラチモ配合点眼液「ニットー」

有効成分1mL中 トラボプロスト 40μg  
1mL中 日局 チモロールマレイン酸塩 6.8mg
(チモロールとして5mg)  
添加剤ポリオキシエチレン硬化ヒマシ油40、プロピレングリコール、ホウ酸、D-マンニトール、塩化ナトリウム、20%塩酸ポリヘキサニド液、pH調節剤2成分

3.2 製剤の性状

トラチモ配合点眼液「ニットー」

pH6.5~7.0
浸透圧比0.9~1.1(0.9%生理食塩液に対する比)
性状無色~淡黄色澄明の無菌水性点眼液

4. 効能又は効果

緑内障、高眼圧症

5. 効能又は効果に関連する注意

原則として、単剤での治療を優先すること。

6. 用法及び用量

1回1滴、1日1回点眼する。

7. 用法及び用量に関連する注意

頻回投与により眼圧下降作用が減弱する可能性があるので、1日1回を超えて投与しないこと1)

8. 重要な基本的注意

  1. 8.1 本剤は全身的に吸収される可能性があり、β-遮断剤全身投与時と同様の副作用があらわれることがあるので、留意すること。
  2. 8.2 本剤の投与により、虹彩や眼瞼への色素沈着(メラニンの増加)による色調変化、あるいは眼周囲の多毛化があらわれることがある。これらは投与の継続によって徐々に進行し、投与中止により停止する。眼瞼色調変化及び眼周囲の多毛化については、投与中止後徐々に消失、あるいは軽減する可能性があるが、虹彩色調変化については投与中止後も消失しないことが報告されている2) 。混合色虹彩の患者では虹彩の色調変化は明確に認められるが、暗褐色の単色虹彩の患者(日本人に多い)においても変化が認められている。特に片眼投与の場合、左右眼で虹彩の色調に差が生じる可能性がある。これらの症状については、長期的な情報が十分に得られていないので、患者を定期的に診察し、十分観察すること。投与に際しては、これらの症状について患者に十分説明し、また、眼瞼色調変化、眼周囲の多毛化の予防あるいは軽減のため3) 、投与の際に液が眼瞼皮膚等についた場合には、よくふき取るか、洗顔するよう患者を指導すること。,
  3. 8.3 本剤投与中に角膜上皮障害(点状角膜炎、角膜炎、角膜びらん)があらわれることがあるので、しみる、そう痒感、眼痛等の自覚症状が持続する場合には、直ちに受診するよう患者に十分指導すること。
  4. 8.4 縮瞳薬からチモロールマレイン酸塩製剤に切り替えた場合、縮瞳作用の消失に伴い、屈折調整を必要とすることがあることから、本剤投与の際も注意すること。
  5. 8.5 本剤の点眼後、一時的に霧視があらわれることがあるため、症状が回復するまで機械類の操作や自動車等の運転には従事させないよう注意すること。

9. 特定の背景を有する患者に関する注意

9.1 合併症・既往歴等のある患者

  1. 9.1.1 肺高血圧による右心不全のある患者

    肺高血圧症による右心不全の症状を増悪させるおそれがある。

  2. 9.1.2 うっ血性心不全のある患者

    うっ血性心不全の症状を増悪させるおそれがある。

  3. 9.1.3 糖尿病性ケトアシドーシス及び代謝性アシドーシスのある患者

    アシドーシスによる心筋収縮力の抑制を増強するおそれがある。

  4. 9.1.4 コントロール不十分な糖尿病のある患者

    血糖値に注意すること。低血糖症状をマスクすることがある。

  5. 9.1.5 無水晶体眼又は眼内レンズ挿入眼の患者

    囊胞様黄斑浮腫を含む黄斑浮腫、及びそれに伴う視力低下を起こすおそれがある。

  6. 9.1.6 眼内炎(虹彩炎、ぶどう膜炎)のある患者

    眼圧上昇を起こすおそれがある。

  7. 9.1.7 閉塞隅角緑内障の患者

    使用経験がない。

9.5 妊婦

妊婦又は妊娠している可能性のある女性には、治療上の有益性が危険性を上回ると判断される場合にのみ投与すること。トラボプロストの動物実験において、妊娠ラットに10μg/kg/日(臨床用量の250倍)を静脈内投与した場合に催奇形性が認められ、妊娠マウスに1μg/kg/日(臨床用量の25倍)を皮下投与又は妊娠ラットに10μg/kg/日(臨床用量の250倍)を静脈内投与した場合に着床後胚死亡率の増加及び胎児数の減少、妊娠ウサギに0.1μg/kg/日(臨床用量の2.5倍)を静脈内投与又は0.003%点眼液(体重当りの投与量として臨床用量の約10倍に相当)を投与した場合に全胚・胎児死亡、妊娠・授乳ラットに0.12μg/kg/日(臨床用量の3倍)以上の用量を妊娠7日目から授乳21日目に皮下投与した場合に発育及び分化に対する影響(早期新生児の死亡率の増加、新生児の体重増加の抑制又は眼瞼開裂の遅延等)が認められ、トラボプロストの摘出ラット子宮を用いた実験では、日本人健康成人で認められた本剤の最高血漿中濃度(0.025ng/mL=0.05nmol/L)の約6倍以上の濃度(0.3nmol/L)で、用量依存的な子宮収縮作用が認められた。また、チモロールマレイン酸塩の動物実験において、器官形成期のラットに500mg/kg/日を経口投与した場合に化骨遅延、マウスに1,000mg/kg/日又はウサギに200mg/kg/日を経口投与した場合に死亡胎児数の増加が認められている。

※)トラボプロスト0.004%を体重50kgの患者に1回1滴(25μL)を両眼に投与したと仮定して算出された投与量(0.04μg/kg/日)との比較

9.6 授乳婦

治療上の有益性及び母乳栄養の有益性を考慮し、授乳の継続又は中止を検討すること。
トラボプロストでは授乳ラットに皮下投与した場合に乳汁中へ移行することが報告されている4) 。チモロールマレイン酸塩はヒト母乳中へ移行することがある。

9.7 小児等

小児等を対象とした臨床試験は実施していない。

9.8 高齢者

一般に生理機能が低下している。

10. 相互作用

    10.2 併用注意(併用に注意すること)

    以下の薬剤との併用に注意すること。

    薬剤名等臨床症状・措置方法機序・危険因子

    アドレナリン
    ジピベフリン塩酸塩

    散瞳作用が助長されたとの報告がある。

    機序不明

    カテコールアミン枯渇剤

    • レセルピン等

    交感神経系に対し、過剰の抑制を来すことがあり、低血圧、徐脈を生じ、眩暈、失神、起立性低血圧を起こすことがある。

    β-遮断作用が相加的に増強する可能性がある。

    β-遮断剤(全身投与)

    • アテノロール

      プロプラノロール塩酸塩

      メトプロロール

    眼圧下降あるいはβ-遮断剤の全身的な作用が増強されることがある。

    作用が相加的にあらわれることがある。

    カルシウム拮抗剤

    • ベラパミル塩酸塩

      ジルチアゼム塩酸塩

    房室伝導障害、左室不全、低血圧を起こすおそれがある。

    相互に作用を増強させる。

    ジギタリス製剤

    • ジゴキシン

      ジギトキシン

    心刺激伝導障害(徐脈、房室ブロック等)があらわれるおそれがあるので、心機能に注意する。

    相加的に作用(心刺激伝導抑制作用)を増強させる。

    CYP2D6阻害作用を有する薬剤

    • キニジン

      選択的セロトニン再取り込み阻害剤

    β-遮断作用(例えば心拍数減少、徐脈)の増強が報告されている。

    チモロールの代謝酵素であるP450(CYP2D6)を阻害し、チモロールの血中濃度が上昇する可能性がある。

    オミデネパグ イソプロピル

    チモロールマレイン酸塩との併用例で結膜充血等の眼炎症性副作用の発現頻度の上昇が認められた。

    機序不明

    11. 副作用

    次の副作用があらわれることがあるので、観察を十分に行い、異常が認められた場合には投与を中止するなど適切な処置を行うこと。

    11.1 重大な副作用

    1. 11.1.1 虹彩色素沈着(頻度不明)

    2. 11.1.2 眼類天疱瘡(頻度不明)

      結膜充血、角膜上皮障害、乾性角結膜炎、結膜萎縮、睫毛内反、眼瞼眼球癒着等があらわれることがある。

    3. 11.1.3 気管支痙攣、呼吸困難、呼吸不全(いずれも頻度不明)

      β-受容体遮断による気管支平滑筋収縮作用により、気管支痙攣、呼吸困難、呼吸不全があらわれることがある。

    4. 11.1.4 心ブロック、うっ血性心不全、心停止(いずれも頻度不明)

      β-受容体遮断による陰性変時・変力作用により、心ブロック、うっ血性心不全、心停止があらわれることがある。,,

    5. 11.1.5 脳虚血、脳血管障害(いずれも頻度不明)
    6. 11.1.6 全身性エリテマトーデス(頻度不明)

    11.2 その他の副作用

    5%以上

    1~5%未満

    0.1~1%未満

    頻度不明

    充血(眼充血、結膜充血)

    眼そう痒症、眼刺激、眼痛、眼の異物感、点状角膜炎、眼乾燥、羞明

    眼瞼そう痒症、眼部不快感、虹彩炎、霧視、瞼板腺炎

    眼周囲の多毛化、睫毛の成長、睫毛剛毛化、睫毛乱生、睫毛変色、睫毛重生、睫毛色素過剰、眼の異常感、結膜炎(アレルギー性結膜炎を含む)、結膜浮腫、結膜濾胞、結膜出血、角膜障害(角膜上皮障害)、角膜炎、角膜びらん、角膜知覚低下、角膜着色、乾性角結膜炎、ぶどう膜炎、虹彩毛様体炎、眼底黄斑部の浮腫・混濁1)、眼脂、眼瞼色素沈着、眼瞼浮腫、眼瞼炎(アレルギー性眼瞼炎を含む)、眼瞼紅斑、眼瞼下垂、眼瞼溝深化2)(上眼瞼がくぼむ、二重瞼になる等)、眼瞼縁痂皮、複視、視力障害、黄斑浮腫、視力低下、眼精疲労、前房のフレア、前房内細胞、眼部腫脹、流涙増加、白内障、眼部単純ヘルペス

    精神神経系

    感覚異常、頭痛、めまい、重症筋無力症の増悪、抑うつ、悪夢、不眠症、不安

    循環器

    徐脈

    レイノー現象、四肢冷感、低血圧、失神、浮腫、動悸、高血圧、不整脈

    呼吸器

    咳嗽、喘息、鼻炎(アレルギー性鼻炎を含む)

    消化器

    下痢、消化不良、悪心、口渇、腹痛

    皮膚

    発疹、アレルギー性皮膚炎、接触性皮膚炎

    その他

    脱力感、けん怠感、不快、胸部不快感、耳鳴、筋肉痛、過敏症、胸痛、味覚異常、筋骨格痛、前立腺特異性抗原増加

    1) 無水晶体眼又は眼底に病変のある患者等に長期連用した場合。
    2) 文献等において高い頻度で眼瞼溝深化が発現することが報告されている5)

    14. 適用上の注意

    14.1 薬剤交付時の注意

    患者に対し以下の点に注意するよう指導すること。

    • 薬液汚染防止のため、点眼のとき、容器の先端が直接目に触れないように注意すること。
    • 患眼を開瞼して結膜囊内に点眼し、1~5分間閉瞼して涙囊部を圧迫させた後、開瞼すること。
    • 他の点眼剤を併用する場合には、少なくとも5分以上間隔をあけてから点眼すること。
    • 点眼のとき、液が眼瞼皮膚等についた場合には、よくふき取るか、洗顔すること。

    16. 薬物動態

    16.1 血中濃度

    1. 16.1.1 反復投与

      日本人健康被験者を対象とした薬物動態試験
      日本人健康成人(10例)にトラボプロスト0.004%/チモロール0.5%配合点眼液(ベンザルコニウム塩化物含有製剤)を両眼に反復点眼し、血漿中のトラボプロスト遊離酸及びチモロール濃度を測定した6), 7)

    • トラボプロスト

      1例1サンプルを除いて定量限界(10pg/mL)未満であり、定量できた1サンプルは点眼30分後のもので、血漿中濃度は12pg/mLであった。
      [参考:日本人健康成人(23例)にトラボプロスト0.004%点眼液を両眼に反復投与し、血漿中のトラボプロスト遊離酸濃度を測定したとき、多くは定量限界(10pg/mL)未満であったが、定量限界以上であったものは、いずれも点眼後30分以内にCmaxに達し(平均Cmax:15±6pg/mL)、点眼1時間後には定量限界未満となった。]

    • チモロール
    • チモロールの血漿中濃度は、点眼後2時間以内にCmaxに達し(平均Cmax:0.7±0.4ng/mL)、半減期は4.7時間であった。
    1. 16.1.2 生物学的同等性試験
    • 原発開放隅角緑内障(広義)又は高眼圧症患者において、導入期にデュオトラバ配合点眼液を2~5週間点眼後、トラチモ配合点眼液「ニットー」またはデュオトラバ配合点眼液を、部分遮蔽、クロスオーバー法により、両眼に1日1回、1回1滴、1期あたり5週間反復点眼し、眼圧値を測定した試験にて、第Ⅰ期治療期5週の血漿中チモロール濃度を測定した結果、両剤に差はみられなかった8)

    16.3 分布

    • 16.3.1 生物学的同等性試験
    • ウサギを用いた眼組織内濃度測定
    • トラチモ配合点眼液「ニットー」及びデュオトラバ配合点眼液をウサギに単回点眼投与し、投与後15、30、60、120及び240分の虹彩-毛様体中薬物濃度を測定した結果、両剤の各有効成分の虹彩-毛様体への移行性に大きな差はなかった9)

    16.4 代謝

    トラボプロストはイソプロピルエステル型のプロドラッグであり、角膜通過の際にエステラーゼにより活性代謝物であるトラボプロスト遊離酸に加水分解される。

    17. 臨床成績

    17.1 有効性及び安全性に関する試験

    1. 17.1.1 国内第Ⅲ相試験(ベンザルコニウム塩化物含有製剤)


      原発開放隅角緑内障又は高眼圧症患者256例を対象としたトラボプロスト0.004%点眼液の第Ⅲ相二重盲検比較試験(投与期間:12週間)において、トラボプロスト0.004%/チモロール0.5%配合点眼液(ベンザルコニウム塩化物含有製剤)群の平均眼圧下降値は-7.1mmHgであり、トラボプロスト0.004%点眼液群に対する優越性が示された(p<0.001、対応のないt検定)。

      眼圧下降値(mmHg)の比較(最小二乗平均値と95%信頼区間)

      ベースライン眼圧値
      (mmHg)

      眼圧下降値
      (mmHg)

      配合
      点眼液群

      対照薬群

      配合
      点眼液群

      対照薬群

      群間差
      (配合剤群-
      対照薬群)

      評価例数

      129

      127

      129

      127

      測定
      時刻

      10時

      24.8
      [24.3,25.3]

      24.8
      [24.3,25.3]

      -7.3
      [-7.7,-6.8]

      -6.1[-6.5,-5.7]

      -1.1
      [-1.7,-0.5]

      12時

      24.6
      [24.1,25.0]

      24.5
      [24.1,25.0]

      -7.1
      [-7.5,-6.7]

      -6.0
      [-6.4,-5.5]

      -1.1
      [-1.7,-0.6]

      16時

      24.0
      [23.5,24.4]

      24.1
      [23.6,24.6]

      -7.0
      [-7.4,-6.6]

      -6.3
      [-6.7,-5.9]

      -0.7
      [-1.3,-0.1]

      併合††

      -7.1
      [-7.5,-6.7]

      -6.1
      [-6.5,-5.7]

      -1.0
      [-1.6,-0.4]

      配合点眼液:トラボプロスト0.004%/チモロール0.5%配合点眼液(ベンザルコニウム塩化物含有製剤)、対照薬:トラボプロスト0.004%点眼液†:測定時刻ごとに全観察日を併合、††:全観察日と測定時刻を併合

      副作用発現頻度はトラボプロスト0.004%/チモロール0.5%配合点眼液群で24.8%(32/129例)であった。主な副作用は、眼充血10.9%(14/129例)、多毛症3.9%(5/129例)、眼刺激3.1%(4/129例)、眼そう痒症、点状角膜炎、眼瞼色素沈着及び霧視が各2.3%(3/129例)であった10)

    1. 17.1.2 国内で実施された長期投与試験(ベンザルコニウム塩化物含有製剤)


      正常眼圧緑内障を含む原発開放隅角緑内障又は高眼圧症患者140例を対象とした第Ⅲ相長期投与試験(投与期間:12ヵ月)において、トラボプロスト0.004%/チモロール0.5%配合点眼液(ベンザルコニウム塩化物含有製剤)群の平均眼圧下降値は-5.6~-4.5mmHgであり、12ヵ月間を通して安定した眼圧下降効果が認められた。



      副作用発現頻度はトラボプロスト0.004%/チモロール0.5%配合点眼液群で36.4%(51/140例)であった。主な副作用は、眼充血11.4%(16/140例)、眼刺激5.7%及び眼瞼色素沈着が各5.7%(8/140例)、眼そう痒症5.0%(7/140例)、点状角膜炎4.3%(6/140例)であった11)

    1. 17.1.3 国際共同第Ⅲ相試験

      トラボプロスト0.004%/チモロール0.5%配合点眼液(ベンザルコニウム塩化物含有製剤)とトラボプロスト0.004%/チモロール0.5%配合点眼液(ベンザルコニウム塩化物非含有製剤)との生物学的同等性の検証を目的に実施された原発開放隅角緑内障又は高眼圧症患者372例(日本人患者87例、外国人患者285例)を対象とした二重盲検比較試験(投与期間:6週間)において、平均眼圧値はベンザルコニウム塩化物非含有製剤群で17.1mmHg、ベンザルコニウム塩化物含有製剤群で16.7mmHgであり、両製剤の同等性が示された。

    眼圧値(mmHg)の比較(最小二乗平均値と95%信頼区間)

    BAC非含有製剤群

    BAC含有
    製剤群

    群間差
    (BAC非含有製剤群-BAC含有製剤群)

    全集団

    17.1[16.8,17.4]
    (188)

    16.7[16.4,17.1]
    (183)

    0.4[-0.1,0.8]

    日本人

    16.9[16.2,17.5]
    (44)

    16.5[15.9,17.2]
    (43)

    0.3[-0.6,1.3]

    外国人

    17.2[16.8,17.5]
    (144)

    16.8[16.4,17.2]
    (140)

    0.4[-0.1,0.9]

    BAC含有製剤:トラボプロスト0.004%/チモロール0.5%配合点眼液
    (ベンザルコニウム塩化物含有製剤)
    ( )内は評価例数、同等性マージン:±1.5mmHg

    • 日本人患者では、副作用発現頻度はベンザルコニウム塩化物非含有製剤群で11.4%(5/44例)であった。主な副作用は、眼充血9.1%(4/44例)、眼刺激及び虹彩炎が各2.3%(1/44例)であった。外国人患者では、副作用発現頻度はベンザルコニウム塩化物非含有製剤で23.8%(36/151例)であった。主な副作用は、眼充血8.6%(13/151例)、眼刺激5.3%(8/151例)、結膜充血及び眼そう痒症が各4.0%(6/151例)、眼痛及び眼の異物感が各2.6%(4/151例)であった12), 13)

    17.3 その他

    • 17.3.1 生物学的同等性試験

      原発開放隅角緑内障(広義)又は高眼圧症患者において、導入期にデュオトラバ配合点眼液を2~5週間点眼後、トラチモ配合点眼液「ニットー」またはデュオトラバ配合点眼液を、部分遮蔽、クロスオーバー法により、両眼に1日1回、1回1滴、1期あたり5週間反復点眼し、眼圧値を測定した。得られたパラメータ(治療期10時(点眼直前)におけるベースライン(デュオトラバ配合点眼液を2~5週間点眼後の眼圧値)からの眼圧変化量)について95%信頼区間法にて統計解析を行った結果、同等の許容域±1.0mmHgの範囲内であり、両剤の生物学的同等性が確認された。
      副作用は140例中16例(11.4%)に認められた。副作用は結膜充血(8.6%)、点状角膜炎(1.4%)、視神経乳頭出血(0.7%)、眼瞼色素沈着(0.7%)、虹彩炎(0.7%)、視野欠損(0.7%)であった8)

    • トラチモ配合点眼液「ニットー」#

      デュオトラバ配合点眼液##

      ベースライン
      10 時###

      14.128 ± 2.549

      治療期10 時
      (治療期4 週及び5

      週の平均)

      14.133 ± 2.674

      14.160 ± 2.704

      眼圧変化量

      -0.004 ± 1.360

      0.011 ± 1.306

      投与群間差
      [95%信頼区間]

      -0.0230
      [-0.215 ~ 0.169]

      (平均値±標準偏差、#n=137、##n=136、###n=139)

    18. 薬効薬理

    18.1 作用機序

    • 〈トラボプロスト〉

      FP受容体に対して選択的に作用するフルアゴニストであり、房水の流出経路のうち、ぶどう膜強膜流出経路からの房水の流出を促進することにより眼圧下降効果がもたらされると考えられている14), 15) ,16) ,17)

    • 〈チモロールマレイン酸塩〉
    • サルにおけるチモロールマレイン酸塩の眼圧下降作用は主に房水産生の抑制によることが示唆されている18)

    18.2 眼圧下降作用

    • 〈トラボプロスト〉

      レーザー照射により眼圧を上昇させたカニクイザルに対し、トラボプロスト0.001%及び0.0033%点眼液を1日1回、9日ないし10日間点眼したところ、いずれの用量群とも測定したほとんどの時点で、ベースラインから有意な眼圧下降が認められた19)

    • 〈チモロールマレイン酸塩〉

      ウサギにおけるα-キモトリプシン惹起高眼圧及び水負荷による眼圧上昇試験において、チモロールマレイン酸塩の点眼は有意に眼圧上昇を抑制することが認められている20)

    18.3 β-受容体遮断作用

    • 〈チモロールマレイン酸塩〉

      ラット、イヌ、ネコにおいてイソプロテレノール(イソプレナリン)による心拍数、心筋収縮力及び心拍出量の増加はチモロールマレイン酸塩の静注、経口投与により著明に抑制され、その効果はプロプラノロールより3倍及び10倍強い21)

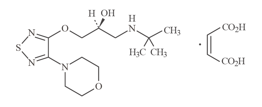
    19. 有効成分に関する理化学的知見

    19.1 トラボプロスト

    一般的名称

    トラボプロスト(Travoprost)

    化学名

    Isopropyl(5Z)-7-((1R,2R,3R,5S)-3,5-dihydroxy-2-{(1E,3R)-3-hydroxy-4-[3-(trifluoromethyl)phenoxy]but-1-enyl}cyclopentyl)hept-5-enoate

    分子式

    C26H35F3O6

    分子量

    500.55

    性状

    トラボプロストは無色~淡黄色澄明の粘性のある液である。
    アセトニトリル及びエタノール(99.5)に極めて溶けやすく、水にほとんど溶けない。
    旋光度〔α〕25365 :+52~+58°(0.2g、エタノール(99.5)、10mL、100mm)

    化学構造式

    19.2 チモロールマレイン酸塩

    一般的名称

    チモロールマレイン酸塩(Timolol Maleate)

    化学名

    (2S)-1-[(1,1-Dimethylethyl)amino]-3-(4-morpholin-4-yl-1,2,5-thiadiazol-3-yloxy)propan-2-ol monomaleate

    分子式

    C13H24N4O3S・C4H4O4

    分子量

    432.49

    性状

    チモロールマレイン酸塩は白色~微黄白色の結晶性の粉末である。
    酢酸(100)に溶けやすく、水又はエタノール(99.5)にやや溶けやすい。
    0.1mol/L塩酸試液に溶ける。
    融点:約197℃(分解)

    化学構造式

    20. 取扱い上の注意

    外箱開封後は遮光して保存すること。

    22. 包装

    2.5mL×5本

    23. 主要文献

    1) Nagasubramanian S, et al.:Ophthalmol.1993;100(9):1305-1311

    2) Stjernschantz JW, et al.:Surv.Ophthalmol.2002;47(Suppl.1):S162-S175

    3) 出光俊郎ほか:臨床皮膚科.2002;56(5増刊):158-160

    4) 授乳ラットにおける乳汁への移行(デュオトラバ配合点眼液:2010 年4月16日承認、申請資料概要2.4.3.1.3)

    5) Maruyama K, et al.:J.Glaucoma.2014;23(3):160-163

    6) 日本人健康被験者を対象とした薬物動態試験(デュオトラバ配合点眼液:2010年4月16日承認、申請資料概要2.7.6.1)

    7) 日本人健康被験者を対象とした薬物動態試験(トラバタンズ点眼液:2007年7月31日承認、申請資料概要2.7.2.2)

    8) 社内資料:トラチモ配合点眼液「ニットー」の生物学的同等性試験

    9) 社内資料:トラチモ配合点眼液「ニットー」の非臨床薬物動態試験

    10) 日本人患者を対象とした第Ⅲ相実薬対照(トラボプロスト単剤)比較試験(デュオトラバ配合点眼液:2010年4月16日承認、申請資料概要2.7.6.3)

    11) 日本人患者を対象とした第Ⅲ相長期投与試験(デュオトラバ配合点眼液:2010年4月16日承認、申請資料概要2.7.6.4)

    12) 外国人患者及び日本人患者を対象とした第Ⅲ相実薬対照(トラボプロスト0.004%/チモロール0.5%配合点眼液(ベンザルコニウム塩化物含有製剤))比較試験(デュオトラバ配合点眼液:2010年4月16日承認、申請資料概要2.5.4.2(総合評価))

    13) 外国人患者及び日本人患者を対象とした第Ⅲ相実薬対照(トラボプロスト0.004%/チモロール0.5%配合点眼液(ベンザルコニウム塩化物含有製剤))比較試験(デュオトラバ配合点眼液:2010年4月16日承認、申請資料概要2.7.4.2)

    14) Griffin BW, et al.:J. Pharmacol.Exp.Ther.1997;281(2):845-854

    15) Hellberg MR, et al.:J.Ocul.Pharmacol.Ther.2001;17(5):421-432

    16) Sharif NA, et al.:Eur.J.Pharmacol.2001;432(2-3):211-213

    17) Toris CB, et al.:J.Glaucoma.2005;14(1):70-73

    18) Miichi H, et al.:Invest.Ophthalmol.Vis.Sci.1983;24(9):1269-1275

    19) 高眼圧サルにおける眼圧下降作用(デュオトラバ配合点眼液:2010年4月16日承認、申請資料概要2.4.2.1.1)

    20) Vareilles P, et al.:Invest.Ophthalmol.Vis.Sci.1977;16(11):987-996

    21) Hall RA, et al.:Arch.Int.Pharmacodyn.1975;213(2):251-263

    24. 文献請求先及び問い合わせ先

    日東メディック株式会社 おくすり相談窓口

    〒104-0031 東京都中央区京橋1-10-7

    電話:03-3523-0345
    FAX:03-6264-4086

    26. 製造販売業者等

    26.1 製造販売元

    東亜薬品株式会社

    富山県富山市水橋開発277番10

    26.2 発売元

    日東メディック株式会社

    富山県富山市八尾町保内1-14-1

    〒100-0013 東京都千代田区霞が関3-3-2 新霞が関ビル

    画面を閉じる

    Copyright © Pharmaceuticals and Medical Devices Agency, All Rights reserved.