医療用医薬品 詳細表示

タフチモ配合点眼液「NIT」

処方せん医薬品

添付文書番号
企業コード
作成又は改訂年月
日本標準商品分類番号
薬効分類名
承認等
一般的名称
2.禁忌(次の患者には投与しないこと)
3.組成・性状
3.1組成
3.2製剤の性状
4.効能又は効果
5.効能又は効果に関連する注意
6.用法及び用量
7.用法及び用量に関連する注意
8.重要な基本的注意
9.特定の背景を有する患者に関する注意
9.1合併症・既往歴等のある患者
9.5妊婦
9.6授乳婦
9.7小児等
9.8高齢者
10.相互作用
10.1併用禁忌(併用しないこと)
10.2併用注意(併用に注意すること)
11.副作用
11.1重大な副作用
11.2その他の副作用
14.適用上の注意
16.薬物動態
16.1血中濃度
16.3分布
16.4代謝
16.8その他
17.臨床成績
17.1有効性及び安全性に関する試験
18.薬効薬理
18.1作用機序
18.2眼圧下降作用
18.3眼血流への作用
19.有効成分に関する理化学的知見
20.取扱い上の注意
22.包装
23.主要文献
24.文献請求先及び問い合わせ先
26.製造販売業者等

タフチモ配合点眼液「NIT」

添付文書番号

1319822Q1030_1_02

企業コード

480018

作成又は改訂年月

2023年2月作成(第1版)

日本標準商品分類番号

871319

薬効分類名

緑内障・高眼圧症治療剤

承認等

タフチモ配合点眼液「NIT」

販売名コード

YJコード

1319822Q1030

販売名英語表記

TafTimo Combination Ophthalmic Solution 「NIT」

承認番号等

承認番号

30500AMX00073000

販売開始年月

2023年9月

貯法・有効期間

貯法

室温保存

有効期間

3年

一般的名称

タフルプロスト・チモロールマレイン酸塩点眼液

2. 禁忌(次の患者には投与しないこと)

  1. 2.1 本剤の成分に対し過敏症の既往歴のある患者
  2. 2.2 気管支喘息又はその既往歴のある患者、気管支痙攣又は重篤な慢性閉塞性肺疾患のある患者[喘息発作の誘発・増悪がみられるおそれがある。]
  3. 2.3 コントロール不十分な心不全、洞性徐脈、房室ブロック(Ⅱ、Ⅲ度)又は心原性ショックのある患者[これらの症状を増悪させるおそれがある。]
  4. 2.4 オミデネパグ イソプロピルを投与中の患者

3. 組成・性状

3.1 組成

タフチモ配合点眼液「NIT」

有効成分1mL中
タフルプロスト 15μg
チモロールマレイン酸塩 6.83mg
(チモロールとして5mg)  
添加剤ポリオキシエチレン硬化ヒマシ油40、リン酸二水素ナトリウム水和物、プロピレングリコール、20%塩酸ポリヘキサニド液、pH調節剤

3.2 製剤の性状

タフチモ配合点眼液「NIT」

pH6.7~7.2
浸透圧比1.0~1.1
性状無色澄明、無菌水性点眼剤

4. 効能又は効果

  • 緑内障、高眼圧症

5. 効能又は効果に関連する注意

  • 原則として、単剤での治療を優先すること。

6. 用法及び用量

  • 1回1滴、1日1回点眼する。

7. 用法及び用量に関連する注意

  • 頻回投与により眼圧下降作用が減弱する可能性があるので、1日1回を超えて投与しないこと。

8. 重要な基本的注意

  1. 8.1 全身的に吸収される可能性があり、β遮断剤全身投与時と同様の副作用があらわれることがあるので、留意すること。
  2. 8.2 本剤の投与により、虹彩や眼瞼への色素沈着(メラニンの増加)による色調変化、あるいは眼周囲の多毛化があらわれることがある。これらは投与の継続によって徐々に進行し、投与中止により停止する。眼瞼色調変化及び眼周囲の多毛化については、投与中止後徐々に消失、あるいは軽減する可能性があるが、虹彩色調変化については投与中止後も消失しないことが報告されている。混合色虹彩の患者では虹彩の色調変化は明確に認められるが、暗褐色の単色虹彩の患者(日本人に多い)においても変化が認められている。特に片眼投与の場合、左右眼で虹彩の色調に差が生じる可能性がある。これらの症状については、長期的な情報が十分に得られていないので、患者を定期的に診察し、十分観察すること。投与に際しては、これらの症状について患者に十分説明し、また、眼瞼色調変化、眼周囲の多毛化の予防あるいは軽減のため、投与の際に液が眼瞼皮膚等についた場合には、よくふき取るか、洗顔するよう患者を指導すること。,
  3. 8.3 角膜上皮障害(点状表層角膜炎、糸状角膜炎、角膜びらん)があらわれることがあるので、しみる、そう痒感、眼痛等の自覚症状が持続する場合には、直ちに受診するよう患者に指導すること。
  4. 8.4 縮瞳剤からチモロールマレイン酸塩製剤に切り替える場合、縮瞳作用の消失に伴い、屈折調整を必要とすることがある。
  5. 8.5 本剤の点眼後、一時的に霧視があらわれることがあるため、その症状が回復するまで機械類の操作や自動車等の運転には従事させないよう注意すること。

9. 特定の背景を有する患者に関する注意

9.1 合併症・既往歴等のある患者

  1. 9.1.1 肺高血圧による右心不全のある患者

    肺高血圧による右心不全の症状を増悪させるおそれがある。

  2. 9.1.2 うっ血性心不全のある患者

    うっ血性心不全の症状を増悪させるおそれがある。

  3. 9.1.3 糖尿病性ケトアシドーシス及び代謝性アシドーシスのある患者

    アシドーシスによる心筋収縮力の抑制を増強するおそれがある。

  4. 9.1.4 コントロール不十分な糖尿病のある患者

    血糖値に注意すること。低血糖症状をマスクすることがある。

  5. 9.1.5 無水晶体眼又は眼内レンズ挿入眼の患者

    嚢胞様黄斑浮腫を含む黄斑浮腫、及びそれに伴う視力低下を起こすとの報告がある。

  6. 9.1.6 眼内炎(虹彩炎、ぶどう膜炎)のある患者

    類薬で眼圧上昇がみられたとの報告がある。

  7. 9.1.7 閉塞隅角緑内障の患者

    使用経験がない。

9.5 妊婦

  • 妊婦又は妊娠している可能性のある女性には治療上の有益性が危険性を上回ると判断される場合にのみ投与すること。
    タフルプロストの動物実験では、妊娠ラットに静脈内投与した場合、30μg/kg/日(臨床用量1) の2000倍)では催奇形性及び着床後胚死亡率の増加がみられ、10μg/kg/日(臨床用量1) の約670倍)では胎児の発育に対する影響(胎児体重の低値及び胸骨未骨化)が認められた。妊娠ウサギにタフルプロストを静脈内投与した場合、0.1μg/kg/日(臨床用量1) の約6.7倍)では流産、着床後胚死亡率の増加、黄体数・着床数の減少等が観察され、0.03μg/kg/日(臨床用量1) の2倍)では催奇形性が認められた。妊娠・授乳ラットにタフルプロストを静脈内投与した場合、1μg/kg/日(臨床用量1) の約67倍)では母動物の哺育不良及び出生児の4日生存率の低値が認められた。また、摘出ラット子宮を用いた実験では、タフルプロストの臨床用量1) 点眼投与時の推定血漿中濃度(30pg/mL未満)の約3.3倍、タンパク結合率にて換算した推定血漿中非結合型薬物濃度(0.24pg/mL未満)の約420倍で、子宮収縮への作用が認められている。
    また、チモロールマレイン酸塩の動物実験(経口)において、器官形成期のラットに500mg/kg/dayを経口投与したとき骨化遅延が、マウスに1,000mg/kg/day、ウサギに200mg/kg/dayを経口投与したとき、死亡胎児数の増加が認められている。

1) タフルプロスト点眼液0.0015%を60kgの患者の両眼に1回1滴(30μL)を点眼投与したときの投与量(0.015μg/kg/日)

9.6 授乳婦

  • 治療上の有益性及び母乳栄養の有益性を考慮し、授乳の継続又は中止を検討すること。動物実験(ラット:点眼投与)でタフルプロストは乳汁中への移行が報告されている。チモロールマレイン酸塩はヒト母乳中へ移行することがある。

9.7 小児等

  • 小児等を対象とした臨床試験は実施していない。

9.8 高齢者

  • 一般に生理機能が低下している。

10. 相互作用

    • チモロールは、主としてCYP2D6によって代謝される。

10.1 併用禁忌(併用しないこと)

  • 以下の薬剤とは併用しないこと。
薬剤名等臨床症状・措置方法機序・危険因子

オミデネパグ イソプロピル
 エイベリス点眼液

 

中等度以上の羞明、虹彩炎等の眼炎症が高頻度に認められている。

機序不明

10.2 併用注意(併用に注意すること)

以下の薬剤との併用に注意すること。

薬剤名等臨床症状・措置方法機序・危険因子

アドレナリン
ジピベフリン塩酸塩

散瞳作用が助長されたとの報告がある。

機序不明

カテコールアミン枯渇剤:

  • レセルピン等

交感神経系に対し、過剰の抑制を来すことがあり、低血圧、徐脈を生じ、眩暈、失神、起立性低血圧を起こすことがある。

カテコールアミンの枯渇を起こす薬剤は、β-遮断作用を相加的に増強する可能性がある。

β-遮断剤(全身投与):

  • アテノロール
    プロプラノロール塩酸塩
  • メトプロロール酒石酸塩

眼圧下降あるいはβ-遮断剤の全身的な作用が増強されることがある。

作用が相加的にあらわれることがある。

カルシウム拮抗剤:

  • ベラパミル塩酸塩
    ジルチアゼム塩酸塩

房室伝導障害、左室不全、低血圧を起こすおそれがある。

相互に作用が増強される。

ジギタリス製剤:

  • ジゴキシン
    ジギトキシン

心刺激伝導障害(徐脈、房室ブロック等)があらわれるおそれがある。

相加的に作用(心刺激伝導抑制作用)を増強させる。

CYP2D6阻害作用を有する薬剤

  • キニジン硫酸塩水和物
    選択的セロトニン再取り込み阻害剤

β-遮断作用(例えば心拍数減少、徐脈)が増強するとの報告がある。

これらの薬剤は本剤の代謝酵素であるP450(CYP2D6)を阻害し、本剤の血中濃度が上昇する可能性がある。

11. 副作用

次の副作用があらわれることがあるので、観察を十分に行い、異常が認められた場合には投与を中止するなど適切な処置を行うこと。

11.1 重大な副作用

  1. 11.1.1 虹彩色素沈着(頻度不明)

  2. 11.1.2 眼類天疱瘡(頻度不明)

    結膜充血、角膜上皮障害、乾性角結膜炎、結膜萎縮、睫毛内反、眼瞼眼球癒着等があらわれることがある。

  3. 11.1.3 気管支痙攣、呼吸困難、呼吸不全(いずれも頻度不明)

    β-受容体遮断による気管支平滑筋収縮作用により、気管支痙攣、呼吸困難、呼吸不全があらわれることがある。

  4. 11.1.4 心ブロック、うっ血性心不全、心停止(いずれも頻度不明)

    β-受容体遮断による陰性変時・変力作用により、心ブロック、うっ血性心不全、心停止があらわれることがある。,,

  5. 11.1.5 脳虚血、脳血管障害(いずれも頻度不明)
  6. 11.1.6 全身性エリテマトーデス(頻度不明)

11.2 その他の副作用

5%以上

1~5%未満

1%未満

頻度不明

睫毛の異常(睫毛が長く、太く、多くなる等)、結膜充血、点状角膜炎等の角膜上皮障害

眼瞼色素沈着、眼のそう痒感、眼刺激、眼瞼炎、乾性角結膜炎

眼瞼部多毛、結膜下出血、結膜炎、眼の異物感、眼痛、上眼瞼溝深化、虹彩炎、眼重感

角膜知覚低下、複視、結膜浮腫、眼の異常感(違和感、ねばつき感、乾燥感等)、視力低下等の視力障害、眼底黄斑部の浮腫・混濁2) 、眼瞼下垂、眼脂、羞明、流涙増加、霧視、黄斑浮腫

循環器

失神、浮腫、レイノー現象、四肢冷感、動悸、徐脈等の不整脈、低血圧

精神神経系

頭痛

抑うつ、重症筋無力症の増悪、悪夢、感覚異常、めまい、不眠

消化器

下痢、消化不良、悪心、口渇、腹痛

皮膚

発疹

紅斑

その他

尿糖陽性、白血球数減少

脱力感、耳鳴、不快、胸部圧迫感、倦怠感、咳、筋肉痛、尿蛋白陽性、血清カリウム上昇、AST(GOT)上昇、ALT(GPT)上昇、γ-GTP上昇、好酸球増加、尿酸上昇

2) 無水晶体眼または眼底に病変のある患者等に長期連用した場合

14. 適用上の注意

14.1 薬剤交付時の注意

患者に対し以下の点に注意するよう指導すること。
・薬液汚染防止のため、点眼のとき、容器の先端が直接目に触れないように注意すること。
・患眼を開瞼して結膜囊内に点眼し、1~5分間閉瞼して涙囊部を圧迫させた後、開瞼すること。
・点眼したときに液が眼瞼皮膚等についた場合には、すぐにふき取るか、洗顔すること。
・他の点眼剤を併用する場合には、少なくとも5分以上間隔をあけてから点眼すること。
・遮光して保存すること。

16. 薬物動態

16.1 血中濃度

  1. 16.1.1 健康成人における検討

    健康成人男性(32例)に、タフルプロスト・チモロールマレイン酸塩点眼液(タフルプロスト0.0015%、チモロール0.5%)(1日1回)、0.0015%タフルプロスト点眼液(1日1回)、0.5%チモロール点眼液(1日2回)及び0.0015%タフルプロスト点眼液(1日1回)と0.5%チモロール点眼液(1日2回)の併用をそれぞれ1回1滴で両眼に7日間反復点眼し、タフルプロストの活性代謝物であるタフルプロストカルボン酸体及びチモロールの血漿中濃度を測定した。タフルプロスト・チモロールマレイン酸塩点眼液を反復点眼したときの血漿中タフルプロストカルボン酸体のCmaxは、点眼1日目及び7日目ともタフルプロスト単剤点眼及びタフルプロスト/チモロール併用点眼と同程度であった。また、タフルプロスト・チモロールマレイン酸塩点眼液の点眼1日目及び7日目の血漿中チモロールについては、Cmax及びAUCinfともにチモロール単剤点眼及びタフルプロスト/チモロール併用点眼と同程度であった1)

    タフルプロスト・チモロールマレイン酸塩点眼液を1日1回7日間反復点眼時の薬物動態パラメータ

    タフルプロストカルボン酸体

    チモロール

    Cmax(ng/mL)

    Cmax(ng/mL)

    AUCinf(ng・hr/mL)

    点眼1日目

    0.02480±0.00537

    1.409±0.344

    6.766±1.888

    点眼7日目

    0.02223±0.01267

    1.293±0.551

    6.449±2.774

    (平均値±標準偏差)

  1. 16.1.2 患者における検討


    原発開放隅角緑内障(広義)又は高眼圧症患者において、導入期にタプロス点眼液0.0015%(1日1回)及びチモプトール点眼液0.5%(1日2回)を2~5週間点眼後、タフチモ配合点眼液「NIT」又はタプコム配合点眼液を、部分遮蔽、クロスオーバー法により、両眼に1日1回、1回1滴、1期あたり5週間反復点眼し、眼圧値を測定した試験(生物学的同等性試験)にて、第Ⅰ期又は第Ⅱ期治療期5週の10時及び12時における血漿中チモロール濃度を測定した結果、タフチモ配合点眼液「NIT」で0.1082±0.1449ng/mL及び0.8589±0.4636ng/mL、タプコム配合点眼液で0.0880±0.1071ng/mL及び0.7223±0.3797ng/mLであった2)

16.3 分布

  • ・タフルプロスト・チモロールマレイン酸塩点眼液(タフルプロスト0.0015%、チモロール0.5%)をラットに単回点眼したときのタフルプロストカルボン酸体及びチモロールの房水中濃度は、0.5%チモロール点眼液と0.0015%タフルプロスト点眼液を5分間隔で併用(それぞれ単回点眼)したときと同様に推移した3)
    ・タフルプロストカルボン酸体500ng/mLで限外濾過法により測定したヒト血清アルブミンに対する結合率は99.2%であった4),5)
    ・チモロールの血漿タンパク結合率は約60%である6)

16.4 代謝

  • ・タフルプロストは、主として角膜に存在するカルボキシエステラーゼにより、活性代謝物であるタフルプロストカルボン酸体に速やかに加水分解される(in vitro7) 。チモロールは主としてCYP2D6によって代謝される8)
    ・ヒト肝細胞を用いた3H-タフルプロストのin vitro代謝試験では、タフルプロストカルボン酸体とそのグルクロン酸抱合体、dinorタフルプロストカルボン酸体とその水酸化体及びグルクロン酸抱合体、tetranorタフルプロストカルボン酸体とその水酸化体及びグルクロン酸抱合体が検出された7)
    14C-チモロール4mgを単回経口投与した後のヒト尿中には、ジメチルエチルアミノ基が脱離して生成されたカルボン酸代謝物、及びモルホリン環が開裂した代謝物が認められた(外国人データ)9),10)

16.8 その他

  • (ウサギを用いた眼組織中薬物濃度推移比較試験)

    タフチモ配合点眼液「NIT」及びタプコム配合点眼液を雄性ウサギ(日本白色種)に1日1回28日間反復点眼投与し、最終投与後5、20、40、60、120及び180分に採取した虹彩-毛様体中のタフルプロスト遊離酸及びチモロール濃度を測定してタフチモ配合点眼液「NIT」とタプコム配合点眼液の最高組織内濃度(Cmax)及び組織曝露量(AUC0→3hr)を比較した。その結果、タフチモ配合点眼液「NIT」とタプコム配合点眼液の各パラメータの平均比は、タフルプロスト遊離酸のCmax及びAUC0→3hrではそれぞれ-6.5%及び0.4%、チモロールのCmax及びAUC0→3hrはそれぞれ-16.2%及び-12.7%であり、全て類似性の基準内(平均比で±30%以内)にあった。また、虹彩-毛様体におけるタフチモ配合点眼液「NIT」とタプコム配合点眼液の最高組織内濃度到達時間(Tmax)は、タフルプロスト遊離酸でいずれも60分、チモロールではいずれも20分であり、差はみられなかった。最終点眼投与後180分におけるタフルプロスト遊離酸濃度及びチモロール濃度にタフチモ配合点眼液「NIT」とタプコム配合点眼液で統計学的に有意な差はみられなかった。以上の結果から、タフチモ配合点眼液「NIT」とタプコム配合点眼液の各有効成分について標的組織への移行性は大きく異ならず類似すると考えられた11)

17. 臨床成績

17.1 有効性及び安全性に関する試験

  1. 17.1.1 国内第Ⅲ相試験(タフルプロスト、及びタフルプロスト/チモロール併用 対照比較試験)

    原発開放隅角緑内障又は高眼圧症患者489例(有効性解析対象487例)を対象とした無作為化盲検比較試験において、導入期に0.0015%タフルプロスト点眼液を4週間1日1回点眼後、治療期(二重盲検期)にタフルプロスト・チモロールマレイン酸塩点眼液(タフルプロスト0.0015%、チモロール0.5%)(1日1回)[以下、タフルプロスト・チモロールマレイン酸塩群]又は各対照薬(0.0015%タフルプロスト点眼液1日1回[以下、タフルプロスト群]あるいは0.0015%タフルプロスト点眼液1日1回/0.5%チモロール点眼液1日2回の併用[以下、併用群])を4週間点眼した結果、タフルプロスト・チモロールマレイン酸塩群のタフルプロスト群に対する優越性(p<0.001)が示された(ベースラインを共変量とした共分散分析)。また併用群に劣らない眼圧下降作用が示された(表1、図1)。
    副作用は、タフルプロスト・チモロールマレイン酸塩群161例中17例(10.6%)に認められ、主な副作用は点状角膜炎3.7%(6/161例)であった12)

表1 治療期終了時(4週又は中止時)における平均日中眼圧値の比較(mmHg)

タフルプロス
ト・チモロールマレイン酸塩群
(n=161)

タフルプロスト群
(n=163)

併用群
(n=163)

ベースライン(治療期開始時)の平均日中眼圧値

19.6±2.0

19.2±2.1

19.3±2.2

治療期終了時(4週後又は中止時)の平均日中眼圧値

17.0±2.4

18.3±2.8

17.1±2.5

眼圧変化量

-2.6±1.8

-0.9±1.7

-2.2±1.8

タフルプロスト・チモロールマレイン酸塩群との差
[95%信頼区間]

-1.7
[-2.1~-1.3]

-0.3
[-0.7~0.1]

(平均値±標準偏差)

図1 眼圧の推移(平均値±標準偏差)
  1. 17.1.2 国内第Ⅲ相試験(チモロール対照比較試験)

    原発開放隅角緑内障又は高眼圧症患者166例(有効性解析対象166例)を対象とした無作為化盲検比較試験において、導入期に0.5%チモロール点眼液を4週間1日2回点眼後、治療期(二重盲検期)にタフルプロスト・チモロールマレイン酸塩点眼液(タフルプロスト0.0015%、チモロール0.5%)(1日1回)又は0.5%チモロール点眼液(1日2回)を4週間点眼した結果、タフルプロスト・チモロールマレイン酸塩群のチモロール群に対する優越性(p<0.001)が示された(ベースラインを共変量とした共分散分析)(表2、図2)。
    副作用は、タフルプロスト・チモロールマレイン酸塩群82例中16例(19.5%)に認められ、主な副作用は眼充血7.3%(6/82例)及び結膜充血6.1%(5/82例)であった13)

表2 治療期終了時(4週又は中止時)における平均日中眼圧値の比較(mmHg)

タフルプロスト・チモロールマレイン酸塩群
(n=82)

チモロール群
(n=84)

ベースライン(治療期開始時)の平均日中眼圧値

20.8±2.1

20.7±2.1

治療期終了時(4週後又は中止時)の平均日中眼圧値

17.5±2.7

19.0±3.3

眼圧変化量

-3.2±2.1

-1.7±2.1

タフルプロスト・チモロールマレイン酸塩群との差
[95%信頼区間]

-1.5
[-2.2~-0.9]

(平均値±標準偏差)

図2 眼圧の推移(平均値±標準偏差)
  1. 17.1.3 生物学的同等性試験


    原発開放隅角緑内障(広義)又は高眼圧症患者において、導入期にタプロス点眼液0.0015%(1日1回)及びチモプトール点眼液0.5%(1日2回)を2~5週間点眼後、タフチモ配合点眼液「NIT」又はタプコム配合点眼液を、部分遮蔽、クロスオーバー法により、両眼に1日1回、1回1滴、1期あたり5週間反復点眼し、眼圧値を測定した。得られたパラメータ(治療期10時(点眼直前)におけるベースライン(タプロス点眼液0.0015%及びチモプトール点眼液0.5%を2~5週間点眼後の眼圧値)からの眼圧変化量)について95%信頼区間法にて統計解析を行った結果、同等の許容域±1.0mmHgの範囲内であり、両剤の生物学的同等性が確認された。
    副作用は、119例中9例(7.6%)に認められ、点状角膜炎(2.5%)、結膜充血(2.5%)、眼瞼紅斑(0.8%)、眼痛(0.8%)、角膜炎(0.8%)、眼そう痒症(0.8%)であった2)

眼圧値の比較(mmHg)

タフチモ配合点眼液「NIT」#

タプコム配合点眼液##

ベースライン10時###

15.46±2.53

治療期10時
(治療期4週及び5週の平均)

15.18±2.51

15.35±2.48

眼圧変化量

-0.22±1.38

-0.10±1.49

製剤間差
[95%信頼区間]

-0.13
[-0.33~0.07]

(平均値±標準偏差,#n=117,##n=118,###n=119)

18. 薬効薬理

18.1 作用機序

  • 本剤の配合成分であるタフルプロストの活性代謝物(タフルプロストカルボン酸体)は、プロスタノイドFP受容体作動薬である。一方の配合成分であるチモロールマレイン酸塩は、非選択的β-受容体遮断剤である。両剤は異なる作用機序により眼圧下降作用を示す。
    ・プロスタノイドFP受容体作動作用
    タフルプロストの活性代謝物であるタフルプロストカルボン酸体は、プロスタノイドFP受容体に対して高い親和性(Ki=0.40nM)を示した。サルを用いて、0.005%タフルプロスト点眼液3) を1日1回3~5日間反復点眼したときの房水動態をフルオロフォトメトリー法、Two-level constant pressure perfusion法及び125I-131I標識アルブミン灌流法により検討したところ、房水産生量に変化は認められず、ぶどう膜強膜流出量を有意に増大させた14)
    3) 本剤のタフルプロスト濃度は0.0015%である。
  • ・β-受容体遮断作用
    チモロールマレイン酸塩の眼圧下降の作用機序の詳細は明らかではないが、サル、健康成人でのフルオロフォトメトリー試験及び緑内障患者でのトノグラフィー試験において、主に房水産生の抑制によることが示唆されている 15)16)17)18)

18.2 眼圧下降作用

  • タフルプロスト・チモロールマレイン酸塩点眼液(タフルプロスト0.0015%、チモロール0.5%)をサルに単回点眼したとき、有意な眼圧下降作用が認められ、この作用は配合成分の各単剤(0.0015%タフルプロスト点眼液及び0.5%チモロール点眼液)の眼圧下降作用よりも有意に強い作用であった19)

18.3 眼血流への作用

  • ・健康成人に0.0015%タフルプロスト点眼液を単回点眼したとき、傍視神経乳頭網膜動脈の血流速度及び傍視神経乳頭網膜の組織血流量の有意な増加が認められた20)
    ・ウサギに0.0015%タフルプロスト点眼液を1日1回28日間反復点眼し、レーザースペックル法で測定したところ、視神経乳頭部組織血流量の有意な増加が認められた21)

19. 有効成分に関する理化学的知見

19.1 タフルプロスト

一般的名称

タフルプロスト(Tafluprost)

化学名

1-Methylethyl(5Z)-7-{(1R,2R,3R,5S)-2-[(1E)-3,3-difluoro-4-phenoxy-1-butenyl]-3,5-dihydroxycyclopentyl}-5-heptenoate

分子式

C25H34F2O5

分子量

452.53

性状

タフルプロストは無色~淡黄色の粘性液体である。

構造式

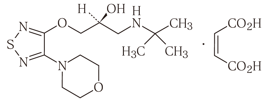
19.2 チモロールマレイン酸塩

一般的名称

チモロールマレイン酸塩(Timolol Maleate)

化学名

(2S)-1-[(1,1-Dimethylethyl)amino]-3-(4-morpholin-4-yl-1,2,5-thiadiazol-3-yloxy)propan-2-ol monomaleate

分子式

C13H24N4O3S・C4H4O4

分子量

432.49

性状

チモロールマレイン酸塩は白色~微黄白色の結晶性の粉末である。
酢酸(100)に溶けやすく、水又はエタノール(99.5)にやや溶けやすい。
0.1mol/L塩酸試液に溶ける。
融点:約197℃(分解)

構造式

20. 取扱い上の注意

  • 外箱開封後は、遮光して保存すること。

22. 包装

  • プラスチック点眼容器 2.5mL×5本

23. 主要文献

1) DE-111点眼液の健康成人男性を対象とした臨床薬理試験-第Ⅰ相- (タプコム配合点眼液:2013年9月20日承認、申請資料概要2.7.6.1)

2) 社内資料:タフチモ配合点眼液「NIT」の生物学的同等性試験

3) 上田健治ほか:あたらしい眼科. 2013;30(12):1761-1766

4) In vitro血清アルブミン結合率(タプロス点眼液0.0015%:2008年10月16日承認、申請資料概要2.6.4.4)

5) 臨床に関する資料(タプロス点眼液0.0015%:2008年10月16日承認、審査報告書)

6) 第十八改正日本薬局方解説書(廣川書店).2021;C-3266

7) Fukano Y. et al.:Drug Metab. Dispos. 2009;37(8):1622-1634

8) Lennard, M. S. et al.:Br. J. Clin. Pharmacol. 1989;27:429-434

9) Wasson, B. K. et al. :J.Med. Chem.1980;23(11):1178-1184

10) Tocco, D. J. et al.:Drug Metab. Dispos. 1975;3(5):361-370

11) 社内資料:ウサギを用いた眼組織中薬物濃度推移比較試験

12) 桑山泰明ほか:あたらしい眼科.2013;30(8):1185-1194

13) 桑山泰明ほか:あたらしい眼科.2013;30(12):1773-1781

14) Takagi Y. et al.:Exp. Eye Res. 2004;78:767-776

15) Miichi H. et al.:Invest. Ophthalmol. Vis. Sci. 1983;24:1269-1275

16) 新家真ほか:日本眼科学会雑誌. 1980;84(10):1436-1446

17) 藤永豊ほか:眼科臨床医報. 1980;74(4):409-414

18) 玉田康房ほか:日本眼科紀要.1980;31(10):1667-1673

19) Akaishi T. et al.:J. Ocul. Pharmacol. Ther. 2015;31(9):518-524

20) 0.0015%DE-085(タフルプロスト)点眼液の健康成人男性を対象とした臨床薬理試験-眼血流動態を指標とした検討-(タプロス点眼液0.0015%:2008年10月16日承認、申請資料概要2.7.6.13)

21) Akaishi T. et al.:J. Ocul. Pharmacol. Ther. 2010;26(2):181-186

24. 文献請求先及び問い合わせ先

日東メディック株式会社 おくすり相談窓口

〒104-0031 東京都中央区京橋1-10-7

電話:03-3523-0345
FAX:03-6264-4086

26. 製造販売業者等

26.1 製造販売元

東亜薬品株式会社

富山県富山市水橋開発277番10

26.2 発売元

日東メディック株式会社

富山県富山市八尾町保内1-14-1

〒100-0013 東京都千代田区霞が関3-3-2 新霞が関ビル

画面を閉じる

Copyright © Pharmaceuticals and Medical Devices Agency, All Rights reserved.