医療用医薬品 詳細表示

ヘパアクト配合顆粒

添付文書番号

3253003D3038_2_04

企業コード

480018

作成又は改訂年月

2024年2月改訂(第1版)

日本標準商品分類番号

873253

薬効分類名

分岐鎖アミノ酸製剤

承認等

ヘパアクト配合顆粒

販売名コード

YJコード

3253003D3038

販売名英語表記

Hepaact Combination Granules

承認番号等

承認番号

22100AMX01398000

販売開始年月

2004年10月

貯法・有効期間

貯法

室温保存

有効期間

3年

基準名

日本薬局方

イソロイシン・ロイシン・バリン顆粒

一般的名称

イソロイシン・ロイシン・バリン顆粒

2. 禁忌(次の患者には投与しないこと)

先天性分岐鎖アミノ酸代謝異常のある患者[メープルシロップ尿症においては痙攣、呼吸障害等があらわれるおそれがある。]

3. 組成・性状

3.1 組成

ヘパアクト配合顆粒

有効成分4,500mg中
(日局) L-イソロイシン 952mg
(日局) L-ロイシン 1,904mg
(日局) L-バリン 1,144mg  
添加剤アスパルテーム(L-フェニルアラニン化合物)、D-マンニトール、ヒドロキシプロピルセルロース、香料

3.2 製剤の性状

ヘパアクト配合顆粒

性状ヘパアクト配合顆粒の内容物は白色の粒で、特異な芳香があり、味はわずかに甘いが、後に苦い。
本品は分包された顆粒剤である。

4. 効能又は効果

食事摂取量が十分にもかかわらず低アルブミン血症を呈する非代償性肝硬変患者の低アルブミン血症の改善

5. 効能又は効果に関連する注意

  1. 5.1 本剤の適用対象となる患者は、血清アルブミン値が3.5g/dL以下の低アルブミン血症を呈し、腹水・浮腫又は肝性脳症を現有するかその既往のある非代償性肝硬変患者のうち、食事摂取量が十分にもかかわらず低アルブミン血症を呈する患者、又は、糖尿病や肝性脳症の合併等で総熱量や総蛋白(アミノ酸)量の制限が必要な患者である。糖尿病や肝性脳症の合併等がなく、かつ、十分な食事摂取が可能にもかかわらず食事摂取量が不足の場合には食事指導を行うこと。なお、肝性脳症の発現等が原因で食事摂取量不足の場合には熱量及び蛋白質(アミノ酸)を含む薬剤を投与すること。
  2. 5.2 以下の患者は肝硬変が高度に進行しているため本剤の効果が期待できないので投与しないこと。
    • 肝性脳症で昏睡度がⅢ度以上の患者
    • 総ビリルビン値が3mg/dL以上の患者
    • 肝臓での蛋白合成能が著しく低下した患者

6. 用法及び用量

通常、成人に1回1包(4.50g)を1日3回食後経口投与する。

7. 用法及び用量に関連する注意

  1. 7.1 本剤は分岐鎖アミノ酸のみからなる製剤で、本剤のみでは必要アミノ酸の全ては満たすことはできないので、本剤使用時には患者の状態に合わせた必要蛋白量(アミノ酸量)及び熱量(1日蛋白量40g以上、1日熱量1000kcal以上)を食事等により摂取すること。特に蛋白制限を行っている患者に用いる場合には、必要最小限の蛋白量及び熱量を確保しないと本剤の効果は期待できないだけでなく、本剤の長期投与により栄養状態の悪化を招くおそれがあるので注意すること。
  2. 7.2 本剤の投与によりBUN又は血中アンモニアの異常が認められる場合、本剤の過剰投与の可能性があるので注意すること。また、長期にわたる過剰投与は栄養状態の悪化のおそれもあるので注意すること。
  3. 7.3 本剤を2ヵ月以上投与しても低アルブミン血症の改善が認められない場合は、他の治療に切り替えるなど適切な処置を行うこと。

9. 特定の背景を有する患者に関する注意

9.5 妊婦

妊婦又は妊娠している可能性のある女性には治療上の有益性が危険性を上回ると判断される場合にのみ投与すること。

9.6 授乳婦

治療上の有益性及び母乳栄養の有益性を考慮し、授乳の継続又は中止を検討すること。

9.7 小児等

小児等を対象とした臨床試験は実施していない。

9.8 高齢者

一般に生理機能が低下していることが多く、本剤の投与により血中のアンモニアの上昇等の代謝障害があらわれやすい。

11. 副作用

次の副作用があらわれることがあるので、観察を十分に行い、異常が認められた場合には投与を中止するなど適切な処置を行うこと。

11.2 その他の副作用

0.1~5%未満

頻度不明

消化器

腹部膨満感、下痢、腹部不快感、食欲不振、口渇

嘔気、便秘、腹痛、嘔吐、おくび、胸やけ等

腎臓

BUN上昇、血中クレアチニン上昇等

代謝

血中アンモニア値の上昇等

肝臓

AST上昇、ALT上昇、T-Bilの上昇等

皮膚

発疹、そう痒等

その他

倦怠感、浮腫(顔、下肢等)、発赤、ほてり

16. 薬物動態

16.1 血中濃度

  • 16.1.1 生物学的同等性試験
  • ヘパアクト配合顆粒及びリーバクト配合顆粒をクロスオーバー法によりそれぞれ1包〔分岐鎖アミノ酸として4g(L-イソロイシン952mg、L-ロイシン1904mg及びL-バリン1144mg)〕を健康成人男子に絶食単回経口投与して3成分の血漿中濃度を測定し、得られた薬物動態パラメータ(AUC、Cmax)について統計解析を行った結果、両剤の生物学的同等性が確認された1)

        

成分名

AUC0-7

(㎍・hr/mL)

Cmax

(㎍/mL)

Tmax

(hr)

T1/2

(hr)

ヘパアクト

配合顆粒

L-イソロイシン

32.4± 7.6

27.6± 8.6

0.61±0.24

0.67±0.47

L-ロイシン

90.8±18.1

55.3±16.9

0.61±0.24

1.53±0.53

L-バリン

84.3±19.0

42.4±11.1

0.65±0.24

1.85±0.68

リーバクト

配合顆粒

L-イソロイシン

34.5± 8.3

30.0±6.9

0.61±0.24

0.70±0.31

L-ロイシン

90.2±19.1

59.2±14.9

0.61±0.24

1.37±0.42

L-バリン

85.3±21.8

42.8± 8.1

0.63±0.22

1.76±0.69

注)経口投与前からの濃度変化量より算出した。                          (mean±S.D., n=20)

血漿中濃度並びにAUC、Cmax等のパラメータは、被験者の選択、体液の採取回数・時間等の試験条件によって異なる可能性がある。

18. 薬効薬理

18.1 作用機序

非代償性肝硬変患者の血中アミノ酸インバランスの是正を介して、アルブミン合成促進をもたらすものと考えられる2)

19. 有効成分に関する理化学的知見

19.1 L-イソロイシン

一般的名称

L-イソロイシン(L-Isoleucine)

化学名

(2S,3S)-2-Amino-3-methylpentanoic acid

分子式

C6H13NO2

分子量

131.17

性状

白色の結晶又は結晶性の粉末で、においはないか、又はわずかに特異なにおいがあり、味はわずかに苦い。

ギ酸に溶けやすく、水にやや溶けにくく、エタノール(95)にほとんど溶けない。

希塩酸に溶ける。

化学構造式

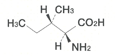
19.2 L-ロイシン

一般的名称

L-ロイシン(L-Leucine)

化学名

(2S)-2-Amino-4-methylpentanoic acid

分子式

C6H13NO2

分子量

131.17

性状

白色の結晶又は結晶性の粉末で、においはないか、又はわずかに特異なにおいがあり、味はわずかに苦い。

ギ酸に溶けやすく、水にやや溶けにくく、エタノール(95)にほとんど溶けない。

希塩酸に溶ける。

化学構造式

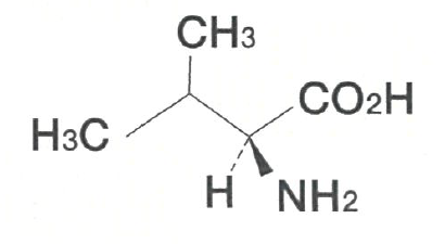
19.3 L-バリン

一般的名称

L-バリン(L-Valine)

化学名

(2S)-2-Amino-3-methylbutanoic acid

分子式

C5H11NO2

分子量

117.15

性状

白色の結晶又は結晶性の粉末で、においはないか、又はわずかに特異なにおいがあり、味はわずかに甘いが、後に苦い。

ギ酸に溶けやすく、水にやや溶けやすく、エタノール(95)にほとんど溶けない。

希塩酸に溶ける。

化学構造式

22. 包装

4.5g×84包

4.5g×210包

24. 文献請求先及び問い合わせ先

日本ケミファ株式会社 安全管理部

〒101-0032 東京都千代田区岩本町2丁目2-3

TEL 0120-47-9321 03-3863-1225
FAX 03-3861-9567

26. 製造販売業者等

26.1 製造販売元

東亜薬品株式会社

富山県富山市水橋開発277番10

26.2 販売元

日本ケミファ株式会社

東京都千代田区岩本町2丁目2-3

〒100-0013 東京都千代田区霞が関3-3-2 新霞が関ビル

画面を閉じる

Copyright © Pharmaceuticals and Medical Devices Agency, All Rights reserved.