医療用医薬品 詳細表示

ヒビソフト消毒液0.2%

処方せん医薬品以外の医薬品

添付文書番号
企業コード
作成又は改訂年月
日本標準商品分類番号
薬効分類名
承認等
一般的名称
2.禁忌(次の患者には投与しないこと)
3.組成・性状
3.1組成
3.2製剤の性状
4.効能又は効果
6.用法及び用量
8.重要な基本的注意
9.特定の背景を有する患者に関する注意
9.1合併症・既往歴等のある患者
11.副作用
11.1重大な副作用
11.2その他の副作用
14.適用上の注意
15.その他の注意
15.1臨床使用に基づく情報
16.薬物動態
16.2吸収
16.5排泄
17.臨床成績
17.1有効性及び安全性に関する試験
18.薬効薬理
18.1作用機序
18.2抗菌作用
19.有効成分に関する理化学的知見
20.取扱い上の注意
22.包装
23.主要文献
24.文献請求先及び問い合わせ先
25.保険給付上の注意
26.製造販売業者等

ヒビソフト消毒液0.2%

添付文書番号

261970BQ1132_1_10

企業コード

480050

作成又は改訂年月

2024年3月改訂(第1版)

日本標準商品分類番号

872619

薬効分類名

速乾性手指消毒剤

承認等

ヒビソフト消毒液0.2%

販売名コード

YJコード

261970BQ1132

販売名英語表記

Hibisoft Antiseptic Solution

承認番号等

承認番号

21900AMX01508

販売開始年月

1996年7月

貯法・有効期間

貯法

室温保存

有効期間

3年

一般的名称

クロルヘキシジングルコン酸塩

2. 禁忌(次の患者には投与しないこと)

  1. 2.1 クロルヘキシジン製剤に対し過敏症の既往歴のある者
  2. 2.2 腟、膀胱、口腔等の粘膜面には使用しないこと[クロルヘキシジン製剤の左記部位への使用により、ショック、アナフィラキシーの症状の発現が報告されている。]
  3. 2.3 損傷皮膚及び粘膜には使用しないこと[刺激作用を有する。]

3. 組成・性状

3.1 組成

ヒビソフト消毒液0.2%

有効成分100mL中、日局クロルヘキシジングルコン酸塩液1mL(クロルヘキシジングルコン酸塩として0.2g)含有  
添加剤N-ココイル-L-アルギニンエチルエステルDL-ピロリドンカルボン酸塩、濃グリセリン、トリイソオクタン酸グリセリン、メチルポリシロキサン、乳酸、エタノール

3.2 製剤の性状

ヒビソフト消毒液0.2%

におい特異なにおいがある
色・剤形無色澄明な液

4. 効能又は効果

  • 手指の消毒

6. 用法及び用量

本剤をそのまま用いる。

8. 重要な基本的注意

ショック、アナフィラキシー等の反応を予測するため、使用に際してはクロルヘキシジン製剤に対する過敏症の既往歴、薬物過敏体質の有無について十分な問診を行うこと。,,

9. 特定の背景を有する患者に関する注意

9.1 合併症・既往歴等のある患者

  1. 9.1.1 薬物過敏症の既往歴のある者(クロルヘキシジン製剤に対し過敏症の既往歴のある者を除く)

  2. 9.1.2 喘息等のアレルギー疾患の既往歴、家族歴のある者

11. 副作用

次の副作用があらわれることがあるので、観察を十分に行い、異常が認められた場合には使用を中止するなど適切な処置を行うこと。

11.1 重大な副作用

  1. 11.1.1 ショック(0.1%未満)、アナフィラキシー(頻度不明)

    血圧低下、じん麻疹、呼吸困難等があらわれた場合は、直ちに使用を中止し、適切な処置を行うこと。

11.2 その他の副作用

 0.1%未満

頻度不明

過敏症

発疹、じん麻疹

皮 膚

刺激症状

14. 適用上の注意

14.1 薬剤使用前の注意

  1. 14.1.1 血清・膿汁等の有機性物質は殺菌作用を減弱させるので、これらが付着している場合は十分に洗い落としてから使用すること。
  2. 14.1.2 石鹸類は本剤の殺菌作用を弱めるので、予備洗浄に用いた石鹸分を十分に洗い落としてから使用すること。

14.2 薬剤使用時の注意

  1. 14.2.1 手指消毒以外の目的には使用しないこと。
  2. 14.2.2 本剤は希釈せず、原液のまま使用すること。
  3. 14.2.3 眼に入らないように注意すること。眼に入った場合は直ちによく水洗すること。
  4. 14.2.4 溶液の状態で長時間皮膚と接触させた場合に皮膚化学熱傷を起こしたとの報告があるので、注意すること。
  5. 14.2.5 反復使用した場合には、脱脂等による皮膚荒れを起こすことがあるので注意すること。
  6. 14.2.6 引火性があり、爆発の危険性もあるため、火気には十分注意すること。

14.3 薬剤使用後の注意

本剤の付着した白布を次亜塩素酸ナトリウム等の塩素系漂白剤で漂白すると、褐色のシミができることがある。漂白には過炭酸ナトリウム等の酸素系漂白剤が適当である。

15. その他の注意

15.1 臨床使用に基づく情報

クロルヘキシジングルコン酸塩製剤の使用によりショック症状を起こした患者のうち数例について、血清中にクロルヘキシジンに特異的なIgE抗体が検出されたとの報告がある1)

16. 薬物動態

16.2 吸収

  1. 16.2.1 5例の健康成人男性の上腕皮膚面50cm2に、5%又は4%の標識されたクロルヘキシジングルコン酸塩液(18μCiの14Cを含有)を塗布し3時間放置した。14C標識物質は塗布後6時間及び24時間後の血中から検出されなかった2) (外国人データ)。
  2. 16.2.2 15例の健康成人が4%注)のクロルヘキシジングルコン酸塩液10mLで手指と腕の消毒を3週間(1日5回、週5日)行ったが、消毒30分後の血中からクロルヘキシジン及びその誘導体は検出されなかった2) (外国人データ)。
    注)本剤の手指の消毒に対する承認された用法及び用量は「本剤をそのまま用いる。」である。

16.5 排泄

5例の健康成人男性の上腕皮膚面50cm2に、5%又は4%の標識されたクロルヘキシジングルコン酸塩液(18μCiの14Cを含有)を塗布し3時間放置した。塗布後10日間の糞尿中の14C標識物質の総量の測定では、尿中から検出されず、2例の糞便中から塗布量の0.009%以下の14C標識物質が検出された2) (外国人データ)。

17. 臨床成績

17.1 有効性及び安全性に関する試験

  1. 17.1.1 国内臨床試験
    本剤3mLずつ3回適用した場合の手指消毒効果を0.2w/v%クロルヘキシジングルコン酸塩・エタノール製剤とグローブジュース法により比較検討した結果、本剤の有用性が認められた。

18. 薬効薬理

18.1 作用機序

作用機序は十分には解明されていないが、比較的低濃度では細菌の細胞膜に障害を与え、細胞質成分の不可逆的漏出や酵素阻害を起こし、比較的高濃度では細胞内の蛋白質や核酸の沈着を起こすことが報告されている3)4)

18.2 抗菌作用

本剤はin vitroの試験において、表皮ブドウ球菌、黄色ブドウ球菌、大腸菌、緑膿菌、セパシアの全ての菌種を殺菌するのに要する最小時間は以下のとおりであった。

菌種

殺菌時間

表皮ブドウ球菌
Staphylococcus epidermidis IFO 3762

15秒以内

黄色ブドウ球菌
Staphylococcus aureus JCM2151=FDA 209P
Staphylococcus aureus JCM2413
Staphylococcus aureus JCM2874

15秒以内

15秒以内

15秒以内

大腸菌
Escherichia coli IFO3972=ATCC 8739

15秒以内

緑膿菌
Pseudomonas aeruginosa IFO13736=ATCC 15442

15秒以内

セパシア
Pseudomonas(Burkhorderia)cepacia IFO15124
Pseudomonas(Burkhorderia)cepacia JCM 5506

15秒以内

15秒以内

※各菌種を105~106cfu/mL接種し、10cfu/mL以下に減少させるのに要する時間

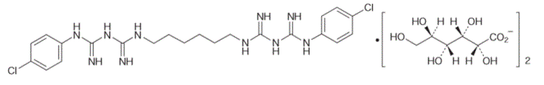
19. 有効成分に関する理化学的知見

一般的名称

クロルヘキシジングルコン酸塩液(Chlorhexidine Gluconate Solution)

化学名

1,1′-Hexamethylenebis[5-(4-chlorophenyl)biguanide],di-D-gluconate

分子式

C22H30Cl2N10・2C6H12O7

分子量

897.76

性状

クロルヘキシジングルコン酸塩液は、無色~微黄色の澄明な液で、においはなく、味は苦い。水又は酢酸(100)と混和する。クロルヘキシジングルコン酸塩液1mLはエタノール(99.5)5mL以下又はアセトン3mL以下と混和するが、溶媒の量を増加するとき白濁する。
光によって徐々に着色する。
比重d2020:1.06~1.07

化学構造式

20. 取扱い上の注意

火気を避けて保存すること。

22. 包装

250mL[1瓶×6]
1L [1瓶、ポンプ1個添付]

24. 文献請求先及び問い合わせ先

住友ファーマ株式会社

〒541-0045 大阪市中央区道修町2-6-8

くすり情報センター
TEL 0120-034-389

25. 保険給付上の注意

本剤は保険給付の対象とならない(薬価基準未収載)。

26. 製造販売業者等

26.1 製造販売元

エア・ウォーター・リアライズ株式会社

茨城県小美玉市三箇817-1

26.2 販売元

住友ファーマ株式会社

大阪市中央区道修町2-6-8

〒100-0013 東京都千代田区霞が関3-3-2 新霞が関ビル

画面を閉じる

Copyright © Pharmaceuticals and Medical Devices Agency, All Rights reserved.