医療用医薬品 詳細表示

クロベタゾールプロピオン酸エステル軟膏0.05%「ラクール」/クロベタゾールプロピオン酸エステルクリーム0.05%「ラクール」

処方せん医薬品以外の医薬品

添付文書番号
企業コード
作成又は改訂年月
日本標準商品分類番号
薬効分類名
承認等
一般的名称
2.禁忌(次の患者には投与しないこと)
3.組成・性状
3.1組成
3.2製剤の性状
4.効能又は効果
5.効能又は効果に関連する注意
6.用法及び用量
8.重要な基本的注意
9.特定の背景を有する患者に関する注意
9.5妊婦
9.7小児等
9.8高齢者
11.副作用
11.1重大な副作用
11.2その他の副作用
14.適用上の注意
15.その他の注意
15.1臨床使用に基づく情報
16.薬物動態
16.1血中濃度
16.2吸収
16.3分布
16.5排泄
17.臨床成績
17.1有効性及び安全性に関する試験
18.薬効薬理
18.1作用機序
18.2血管収縮作用
18.3肉芽腫抑制作用
18.4浮腫抑制作用
18.5皮膚局所への影響
18.6全身への影響
19.有効成分に関する理化学的知見
22.包装
23.主要文献
24.文献請求先及び問い合わせ先
26.製造販売業者等

クロベタゾールプロピオン酸エステル軟膏0.05%「ラクール」/クロベタゾールプロピオン酸エステルクリーム0.05%「ラクール」

添付文書番号

2646713M1233_1_03

企業コード

480114

作成又は改訂年月

2023年6月改訂(第1版)

日本標準商品分類番号

872646

薬効分類名

外用合成副腎皮質ホルモン剤

承認等

クロベタゾールプロピオン酸エステル軟膏0.05%「ラクール」

販売名コード

YJコード

2646713M1233

販売名英語表記

CLOBETASOL PROPIONATE OINTMENT

販売名ひらがな

くろべたぞーるぷろぴおんさんえすてるなんこう

承認番号等

承認番号

30100AMX00303000

販売開始年月

1988年7月

貯法・有効期間

貯法

室温保存

有効期間

チューブ5年
ポリ容器3年

規制区分

劇薬

クロベタゾールプロピオン酸エステルクリーム0.05%「ラクール」

販売名コード

YJコード

2646713N1204

販売名英語表記

CLOBETASOL PROPIONATE CREAM

販売名ひらがな

くろべたぞーるぷろぴおんさんえすてるくりーむ

承認番号等

承認番号

30100AMX00304000

販売開始年月

1988年7月

貯法・有効期間

貯法

室温保存

有効期間

3年

規制区分

劇薬

一般的名称

クロベタゾールプロピオン酸エステル軟膏・クリーム

2. 禁忌(次の患者には投与しないこと)

  1. 2.1 細菌・真菌・スピロヘータ・ウイルス皮膚感染症及び動物性皮膚疾患(疥癬・けじらみ等)[感染を悪化させるおそれがある。]
  2. 2.2 本剤の成分に対して過敏症の既往歴のある患者
  3. 2.3 鼓膜に穿孔のある湿疹性外耳道炎[穿孔部位の治癒が遅れるおそれがある。また、感染のおそれがある。]
  4. 2.4 潰瘍(ベーチェット病は除く)、第2度深在性以上の熱傷・凍傷[皮膚の再生が抑制され、治癒が著しく遅れるおそれがある。]

3. 組成・性状

3.1 組成

クロベタゾールプロピオン酸エステル軟膏0.05%「ラクール」

有効成分1g中 日局クロベタゾールプロピオン酸エステル   0.5mg
添加剤セタノール、フィトステロール、オクチルドデカノール、マイクロクリスタリンワックス、スクワラン、白色ワセリン

クロベタゾールプロピオン酸エステルクリーム0.05%「ラクール」

有効成分1g中 日局クロベタゾールプロピオン酸エステル   0.5mg
添加剤ポリオキシエチレンステアリルエーテル、ポリオキシエチレンセチルエーテル、エデト酸Na水和物、リン酸水素Na水和物、結晶リン酸二水素Na、パラベン、セタノール、白色ワセリン、ステアリン酸グリセリン、オクチルドデカノール、スクワラン、プロピレングリコール、D-ソルビトール

3.2 製剤の性状

クロベタゾールプロピオン酸エステル軟膏0.05%「ラクール」

剤形・性状ほとんどにおいのない無色半透明の軟膏
識別コード 218

クロベタゾールプロピオン酸エステルクリーム0.05%「ラクール」

剤形・性状ほとんどにおいのない白色のクリーム
識別コード 219

4. 効能又は効果

  • 湿疹・皮膚炎群(進行性指掌角皮症、ビダール苔癬、日光皮膚炎を含む)
  • 痒疹群(蕁麻疹様苔癬、ストロフルス、固定蕁麻疹を含む)
  • 掌蹠膿疱症
  • 乾癬
  • 虫さされ
  • 薬疹・中毒疹
  • ジベルばら色粃糠疹
  • 慢性円板状エリテマトーデス
  • 扁平紅色苔癬
  • 紅皮症
  • 肥厚性瘢痕・ケロイド
  • 肉芽腫症(サルコイドーシス、環状肉芽腫)
  • アミロイド苔癬
  • 天疱瘡群
  • 類天疱瘡(ジューリング疱疹状皮膚炎を含む)
  • 悪性リンパ腫(菌状息肉症を含む)
  • 円形脱毛症(悪性を含む)

5. 効能又は効果に関連する注意

皮膚感染を伴う湿疹・皮膚炎には使用しないことを原則とするが、やむを得ず使用する必要がある場合には、あらかじめ適切な抗菌剤(全身適用)、抗真菌剤による治療を行うか、又はこれらとの併用を考慮すること。

6. 用法及び用量

通常1日1~数回適量を塗布する。なお、症状により適宜増減する。

8. 重要な基本的注意

  1. 8.1 皮膚萎縮、ステロイド潮紅などの局所的副作用が発現しやすいので、特に顔面、頸、陰部、間擦部位の皮疹への使用には、適応症、症状の程度を十分考慮すること。
  2. 8.2 大量又は長期にわたる広範囲の使用(特に密封法(ODT))により、副腎皮質ステロイド剤を全身投与した場合と同様な症状があらわれることがあるので、特別な場合を除き長期大量使用や密封法(ODT)を極力避けること。,,,
  3. 8.3 本剤の使用により症状の改善がみられない場合又は症状の悪化をみる場合は使用を中止すること。
  4. 8.4 症状改善後は、速やかに他のより緩和な局所療法に転換すること。

9. 特定の背景を有する患者に関する注意

9.5 妊婦

妊婦又は妊娠している可能性のある女性には、治療上の有益性が危険性を上回ると判断される場合にのみ使用すること。使用する必要がある場合には、大量又は長期にわたる広範囲の使用を避けること。動物実験(ラット)で催奇形作用が報告されている1)

9.7 小児等

長期使用又は密封法(ODT)は避けること。発育障害を来すおそれがある。また、おむつは密封法(ODT)と同様の作用があるので注意すること。

9.8 高齢者

大量又は長期にわたる広範囲の密封法(ODT)等の使用に際しては特に注意すること。一般に、副作用があらわれやすい。

11. 副作用

次の副作用があらわれることがあるので、観察を十分に行い、異常が認められた場合には使用を中止するなど適切な処置を行うこと。

11.1 重大な副作用

  • 眼圧亢進、緑内障、白内障(いずれも頻度不明)

    眼瞼皮膚への使用に際し、あらわれることがある。大量又は長期にわたる広範囲の使用、密封法(ODT)により緑内障、白内障等の症状があらわれることがある。

11.2 その他の副作用

頻度不明

皮膚の感染症1)

真菌症(カンジダ症、白癬等)、細菌感染症(伝染性膿痂疹、毛のう炎等)、ウイルス感染症

過敏症2)

紅斑、発疹、蕁麻疹、そう痒、皮膚灼熱感、接触性皮膚炎

その他の皮膚症状

ステロイド皮膚3) (皮膚萎縮、毛細血管拡張、紫斑)、色素脱失3) 、酒さ様皮膚炎・口囲皮膚炎3) (ほほ、口囲等に潮紅、丘疹、膿疱、毛細血管拡張)、多毛3) 、ステロイドざ瘡、魚鱗癬様皮膚変化、一過性の刺激感、乾燥

その他

下垂体・副腎皮質系機能抑制4) 、中心性漿液性網脈絡膜症

1) 密封法(ODT)の場合に起こりやすい。このような症状があらわれた場合には、適切な抗真菌剤、抗菌剤等を併用し、症状が速やかに改善しない場合には、使用を中止すること。
2) これらの症状は原疾患の症状に類似している場合がある。
3) 長期連用によりあらわれることがある。このような症状があらわれた場合には徐々にその使用を差し控え、副腎皮質ステロイドを含有しない薬剤に切り替えること。
4) 大量又は長期にわたる広範囲の使用、密封法(ODT)によりあらわれることがある。また、このような場合において、使用中止により急性副腎皮質機能不全に陥る危険性があるため、使用を中止する際は患者の状態を観察しながら徐々に減量すること。

14. 適用上の注意

14.1 薬剤交付時の注意

患者に治療以外の目的(化粧下、ひげそり後など)には使用しないよう注意すること。

14.2 薬剤投与時の注意

眼科用として使用しないこと。

15. その他の注意

15.1 臨床使用に基づく情報

乾癬患者に長期大量使用した場合、治療中あるいは治療中止後、乾癬性紅皮症、膿疱性乾癬等がみられたとの報告がある2)

16. 薬物動態

16.1 血中濃度

ラットに3H-クロベタゾールプロピオン酸エステル0.15%含有軟膏、クリーム及び0.05%外用液を経皮投与した結果、いずれも血中濃度は投与後8時間まで上昇した後、その後96時間まではほぼ一定もしくは非常にゆるやかに減少した。

16.2 吸収

切除目的の腋臭症患者の腋窩皮膚に3H-クロベタゾールプロピオン酸エステル0.05%含有クリームを塗布(密封法(ODT))した後、オートラジオグラフィー法で表皮への取り込みを経時的に観察した結果、塗布後30分で既に表皮に取り込まれ、塗布後5時間で定常状態となり、この状態は塗布後24時間まで持続した。また外用剤除去24時間後も表皮内に貯留していた3)

16.3 分布

ラットに3H-クロベタゾールプロピオン酸エステル0.15%含有軟膏、クリーム及び0.05%外用液を経皮投与した結果、96時間後の体内残存量(塗布部を除く)はそれぞれ0.42%、0.96%及び2.85%であり、特定の組織への親和性は示さないものの脾臓中濃度において若干高い傾向が認められた。

16.5 排泄

ラットに3H-クロベタゾールプロピオン酸エステル0.15%含有軟膏、クリーム及び0.05%外用液を経皮投与した場合の主排泄経路は糞中排泄であり、投与後96時間までの糞中及び尿中排泄率の合計はそれぞれ1.22%、9.20%及び8.86%であった。

17. 臨床成績

17.1 有効性及び安全性に関する試験

〈湿疹・皮膚炎群(進行性指掌角皮症、ビダール苔癬、日光皮膚炎を含む)、痒疹群(蕁麻疹様苔癬、ストロフルス、固定蕁麻疹を含む)、掌蹠膿疱症、乾癬〉

  1. 17.1.1 国内第Ⅲ相試験

    二重盲検比較試験を含む臨床試験において、湿疹・皮膚炎群、痒疹群、掌蹠膿疱症又は乾癬を有する成人及び小児患者総症例1206例に本剤を1日1~ 数回患部に塗布した時の有効率は下表のとおりであった。なお、症例の約89%が単純塗布であった4),5),6),7),8),9),10)

    疾患名

    使用期間

    (日)

    有効率%(有効症例数/症例数)

    軟膏

    クリーム

    合計

    湿疹・皮膚炎群5)

    2~56

    95.4

    (377/395)

    96.7

    (321/332)

    96.0

    (698/727)

    痒疹群6)

    5~35

    81.3

    (26/32)

    80.5

    (33/41)

    80.8

    (59/73)

    掌蹠膿疱症

    5~56

    90.4

    (47/52)

    92.6

    (50/54)

    91.5

    (97/106)

    乾癬

    2~35

    98.7

    (147/149)

    95.4

    (144/151)

    97.0

    (291/300)

5) 進行性指掌角皮症、ビダール苔癬、日光皮膚炎を含む。
6) 蕁麻疹様苔癬、ストロフルス、固定蕁麻疹を含む。

〈虫さされ、薬疹・中毒疹、ジベルばら色粃糠疹、慢性円板状エリテマトーデス、扁平紅色苔癬、紅皮症、肥厚性瘢痕・ケロイド、肉芽腫症(サルコイドーシス、環状肉芽腫)、アミロイド苔癬、天疱瘡群、類天疱瘡(ジューリング疱疹状皮膚炎を含む)、悪性リンパ腫(菌状息肉症を含む)、円形脱毛症(悪性を含む)〉

  1. 17.1.2 国内第Ⅲ相試験

    難治性慢性皮膚疾患等のいずれかを有する患者557例に対する非盲検試験において、0.05%クロベタゾールプロピオン酸エステル軟膏及びクリームを1日1~数回患部に塗布した時の有効率は下表のとおりであった11)

    疾患名

    使用期間

    (日)

    有効率%(有効症例数/症例数)

    軟膏

    クリーム

    合計

    虫さされ

    2~24

    100.0

    (20/20)

    100.0

    (20/20)

    100.0

    (40/40)

    薬疹・中毒疹

    100.0

    (21/21)

    92.9

    (26/28)

    95.9

    (47/49)

    ジベルばら色粃糠疹

    100.0

    (20/20)

    95.5

    (21/22)

    97.6

    (41/42)

    慢性円板状エリテマトーデス

    14~56

    95.2

    (20/21)

    81.8

    (18/22)

    88.4

    (38/43)

    扁平紅色苔癬

    95.8

    (23/24)

    87.0

    (20/23)

    91.5

    (43/47)

    紅皮症

    96.7

    (29/30)

    90.0

    (18/20)

    94.0

    (47/50)

    肥厚性瘢痕・ケロイド

    65.3

    (32/49)

    61.9

    (26/42)

    63.7

    (58/91)

    肉芽腫症

    (サルコイドーシス、環状肉芽腫)

    81.3

    (13/16)

    84.2

    (16/19)

    82.9

    (29/35)

    アミロイド苔癬

    93.8

    (15/16)

    100.0

    (16/16)

    96.9

    (31/32)

    天疱瘡群

    100.0

    (14/14)

    80.0

    (8/10)

    91.7

    (22/24)

    類天疱瘡
    (ジューリング疱疹状皮膚炎を含む)

    92.3

    (12/13)

    100.0

    (8/8)

    95.2

    (20/21)

    悪性リンパ腫
    (菌状息肉症を含む)

    71.4

    (10/14)

    100.0

    (7/7)

    81.0

    (17/21)

    円形脱毛症

    (悪性を含む)

    21~63

    73.1

    (19/26)

    75.8

    (25/33)

    74.6

    (44/59)

    副作用発現頻度は、クリームで14.7%(40/273例)、軟膏で13.0%(37/284例)であった。主な副作用は、皮膚萎縮24件、毛細血管拡張24件、毛包炎・癤16件、痤瘡様疹16件であった。

18. 薬効薬理

18.1 作用機序

クロベタゾールプロピオン酸エステルは合成コルチコステロイドの一種であり、炎症性サイトカイン産生の抑制及びアラキドン酸代謝の阻害等のメカニズムを介して抗炎症作用を示すと考えられる。

18.2 血管収縮作用

  1. 18.2.1 血管収縮試験

    クロベタゾールプロピオン酸エステルはMcKenzieらの方法による健康成人皮膚における血管収縮試験(皮膚蒼白度を指標)においてフルオシノロンアセトニドの約18.7倍、ベタメタゾン吉草酸エステルの約5.2倍の血管収縮作用を示した12)

  2. 18.2.2 生物学的同等性試験

    健康成人男子20名に血管収縮試験を行い、4時間塗布後の薬剤塗布部の蒼白現象を指標とし、クロベタゾールプロピオン酸エステル軟膏0.05%「ラクール」並びにクロベタゾールプロピオン酸エステルクリーム0.05%「ラクール」及び標準製剤としてデルモベート軟膏0.05%及びデルモベートクリーム0.05%について統計解析を行った結果、両製剤間に有意差は認められず、両製剤の生物学的同等性が確認された13)

    製剤除去後時間

    2時間

    4時間

    24時間

    クロベタソールプロピオン酸エステル軟膏0.05%「ラクール」

    0.68±0.05

    0.86±0.04

    0.26±0.04

    デルモベート軟膏0.05%

    0.89±0.03

    0.93±0.03

    0.20±0.04

    (平均指数±S.E., n=20)

    蒼白現象等のパラメータは、被験者の選択、血管収縮試験の測定回数・時間等の試験条件によって異なる可能性がある。

    製剤除去後時間

    2時間

    4時間

    24時間

    クロベタソールプロピオン酸エステルクリーム0.05%「ラクール」

    0.80±0.04

    0.90±0.03

    0.30±0.05

    デルモベートクリーム0.05%

    0.90±0.07

    0.93±0.03

    0.38±0.06

    (平均指数±S.E., n=20)

    蒼白現象等のパラメータは、被験者の選択、血管収縮試験の測定回数・時間等の試験条件によって異なる可能性がある。

18.3 肉芽腫抑制作用

クロベタゾールプロピオン酸エステルは副腎摘出ラットにおける綿球肉芽腫抑制試験においてヒドロコルチゾンの112.5倍、ベタメタゾン吉草酸エステルの約2.4倍の肉芽腫抑制作用を示した14)

18.4 浮腫抑制作用

クロベタゾールプロピオン酸エステルはラットにおけるホルマリン浮腫及びカラゲニン浮腫抑制試験においてヒドロコルチゾンの約36〜161倍、ベタメタゾン吉草酸エステルの約2〜4倍の浮腫抑制作用を示した14)

18.5 皮膚局所への影響

クロベタゾールプロピオン酸エステル0.05%含有軟膏及びクリームのラットにおける塗布部位の皮膚委縮に及ぼす影響は、0.025%フルオシノロンアセトニドより軽度であった15)

18.6 全身への影響

クロベタゾールプロピオン酸エステル0.05%含有軟膏及びクリームを成長期のラットの背部皮膚に塗布した結果、胸腺萎縮作用及び体重増加抑制に及ぼす影響は0.025%フルオシノロンアセトニドより軽度であった15)

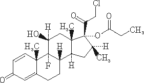
19. 有効成分に関する理化学的知見

一般的名称

クロベタゾールプロピオン酸エステル

(Clobetasol Propionate)

化学名

21-Chloro-9-fluoro-11β,17-dihydroxy-16β-methylpregna-1,4-diene-3,20-dione 17-propanoate

分子式

C25H32ClFO5

分子量

466.97

性状

白色~微黄白色の結晶性の粉末である。メタノール又はエタノール(99.5)にやや溶けやすく、水にほとんど溶けない。

化学構造式

融点

約196℃(分解)

分配係数

(log P):3.8 (pH7.1、1-オクタノール/水系)

22. 包装

〈クロベタゾールプロピオン酸エステル軟膏0.05%「ラクール」〉
10g [1チューブ]×10、30g [1チューブ]×10、500g [1ボトル]×1

〈クロベタゾールプロピオン酸エステルクリーム0.05%「ラクール」〉
10g [1チューブ]×10、30g [1チューブ]×10、500g [1ボトル]×1

24. 文献請求先及び問い合わせ先

ラクール薬品販売株式会社 DI室

東京都足立区鹿浜1丁目9番14号

TEL:03-3899-8881  FAX:03-3853-9641

26. 製造販売業者等

26.1 製造販売元

東光薬品工業株式会社

東京都足立区新田2丁目16番23号

26.2 発売元

ラクール薬品販売株式会社

東京都足立区鹿浜1丁目9番14号

〒100-0013 東京都千代田区霞が関3-3-2 新霞が関ビル

画面を閉じる

Copyright © Pharmaceuticals and Medical Devices Agency, All Rights reserved.