医療用医薬品 詳細表示

モメタゾン点鼻液50μg「MYL」56噴霧用/モメタゾン点鼻液50μg「MYL」112噴霧用

処方せん医薬品

添付文書番号
企業コード
作成又は改訂年月
日本標準商品分類番号
薬効分類名
承認等
一般的名称
2.禁忌(次の患者には投与しないこと)
3.組成・性状
3.1組成
3.2製剤の性状
4.効能又は効果
6.用法及び用量
8.重要な基本的注意
9.特定の背景を有する患者に関する注意
9.1合併症・既往歴等のある患者
9.5妊婦
9.6授乳婦
9.7小児等
9.8高齢者
11.副作用
11.1重大な副作用
11.2その他の副作用
14.適用上の注意
16.薬物動態
16.1血中濃度
17.臨床成績
17.3その他
18.薬効薬理
18.1作用機序
19.有効成分に関する理化学的知見
22.包装
23.主要文献
24.文献請求先及び問い合わせ先
26.製造販売業者等

モメタゾン点鼻液50μg「MYL」56噴霧用/モメタゾン点鼻液50μg「MYL」112噴霧用

添付文書番号

1329710Q3020_1_05

企業コード

480115

作成又は改訂年月

2024年7月改訂(第2版)
2024年3月改訂(第1版)

日本標準商品分類番号

871329

薬効分類名

定量噴霧式アレルギー性鼻炎治療剤

承認等

モメタゾン点鼻液50μg「MYL」56噴霧用

販売名コード

YJコード

1329710Q3020

販売名英語表記

MOMETASONE Nasal 50μg[MYL]56 sprays

承認番号等

承認番号

23100AMX00207

販売開始年月

2019年6月

貯法・有効期間

貯法

室温保存

有効期間

3年

モメタゾン点鼻液50μg「MYL」112噴霧用

販売名コード

YJコード

1329710Q4026

販売名英語表記

MOMETASONE Nasal 50μg[MYL]112 sprays

承認番号等

承認番号

23100AMX00206

販売開始年月

2019年6月

貯法・有効期間

貯法

室温保存

有効期間

3年

一般的名称

モメタゾンフランカルボン酸エステル水和物点鼻液

2. 禁忌(次の患者には投与しないこと)

  1. 2.1 有効な抗菌剤の存在しない感染症、全身性の真菌症の患者[症状を増悪させるおそれがある。]
  2. 2.2 本剤の成分に対して過敏症の既往歴のある患者

3. 組成・性状

3.1 組成

モメタゾン点鼻液50μg「MYL」56噴霧用

有効成分モメタゾンフランカルボン酸エステル水和物
分量1) 1g中   0.5mg
モメタゾンフランカルボン酸エステル水和物
分量1) 1回噴霧中   50μg
モメタゾンフランカルボン酸エステル水和物
1容器の噴霧回数   56回
添加剤ベンザルコニウム塩化物、ポリソルベート80、カルボキシビニルポリマー、濃グリセリン、L-アルギニン、塩化ナトリウム、エデト酸ナトリウム水和物、エタノール、pH調節剤

モメタゾン点鼻液50μg「MYL」112噴霧用

有効成分モメタゾンフランカルボン酸エステル水和物
分量1) 1g中   0.5mg
モメタゾンフランカルボン酸エステル水和物
分量1) 1回噴霧中   50μg
モメタゾンフランカルボン酸エステル水和物
1容器の噴霧回数   112回
添加剤ベンザルコニウム塩化物、ポリソルベート80、カルボキシビニルポリマー、濃グリセリン、L-アルギニン、塩化ナトリウム、エデト酸ナトリウム水和物、エタノール、pH調節剤

1) モメタゾンフランカルボン酸エステルとして

3.2 製剤の性状

モメタゾン点鼻液50μg「MYL」56噴霧用

剤形定量噴霧式の点鼻製剤
性状白色懸濁性の粘稠な液で、ほとんどにおいはない

モメタゾン点鼻液50μg「MYL」112噴霧用

剤形定量噴霧式の点鼻製剤
性状白色懸濁性の粘稠な液で、ほとんどにおいはない

4. 効能又は効果

アレルギー性鼻炎

6. 用法及び用量

  • 〈成人〉

    通常、成人には、各鼻腔に2噴霧ずつ1日1回投与する(モメタゾンフランカルボン酸エステルとして1日200μg)。

  • 〈小児〉

    通常、12歳未満の小児には、各鼻腔に1噴霧ずつ1日1回投与する(モメタゾンフランカルボン酸エステルとして1日100μg)。
    通常、12歳以上の小児には、各鼻腔に2噴霧ずつ1日1回投与する(モメタゾンフランカルボン酸エステルとして1日200μg)。

8. 重要な基本的注意

  1. 8.1 鼻・咽喉頭真菌症が発現した場合、本剤の投与を中止し、適切な処置を行うこと。
  2. 8.2 全身性ステロイド剤と比較し可能性は低いが、点鼻ステロイド剤の投与により全身性の作用(クッシング症候群、クッシング様症状、副腎皮質機能抑制、小児の成長遅延、骨密度の低下、白内障、緑内障を含む)が発現する可能性がある。特に長期間、大量投与の場合には定期的に検査を行い、全身性の作用が認められた場合には適切な処置を行うこと。
  3. 8.3 通年性アレルギー性鼻炎の患者において長期に使用する場合、症状の改善状態が持続するようであれば、本剤の減量につとめること。
  4. 8.4 本剤の投与が数ヵ月以上にわたる場合は、鼻中隔潰瘍等の鼻所見に注意すること。
  5. 8.5 季節性の疾患に対しては、好発期を考えて、その直前から治療を開始し、抗原との接触がなくなるまで続けることが望ましい。

9. 特定の背景を有する患者に関する注意

9.1 合併症・既往歴等のある患者

  1. 9.1.1 結核性疾患、未治療の感染症(有効な抗菌剤の存在しない感染症、全身性の真菌症を除く)及び眼の単純ヘルペス患者

    症状を増悪させるおそれがある。

  2. 9.1.2 反復性鼻出血の患者

    出血を増悪させるおそれがある。

  3. 9.1.3 鼻中隔潰瘍のある患者、鼻の手術を受けた患者、あるいは鼻外傷のある患者

    患部が治癒するまで本剤を投与しないこと。ステロイド剤は創傷治癒を抑制する作用がある。

  4. 9.1.4 ステロイド剤の全身投与から局所投与に切り替えた患者

    副腎皮質機能不全又は離脱症状(関節あるいは筋肉の疼痛、倦怠感及びうつ等)の徴候、症状があらわれた場合には、適切な処置を行うこと。また、全身性ステロイド剤の減量中並びに離脱後も副腎皮質機能検査を行い、外傷、手術、重症感染症等の侵襲には十分に注意を払うこと。

9.5 妊婦

妊婦又は妊娠している可能性のある女性には治療上の有益性が危険性を上回ると判断される場合にのみ投与すること。経皮又は経口投与による動物実験(ラット、ウサギ)で催奇形性作用が報告されている。1)

9.6 授乳婦

治療上の有益性及び母乳栄養の有益性を考慮し、授乳の継続又は中止を検討すること。

9.7 小児等

  1. 9.7.1 長期間投与する場合には、身長等の経過の観察を十分行うこと。また、使用にあたっては、使用法を正しく指導すること。全身性ステロイド剤と比較し可能性は低いが、点鼻ステロイド剤を特に長期間、大量に投与する場合に小児の成長遅延をきたすおそれがある。
  2. 9.7.2 国内において、3歳未満の幼児、乳児、新生児及び低出生体重児を対象とした臨床試験は実施していない。

9.8 高齢者

患者の状態を観察しながら慎重に投与すること。一般に生理機能が低下している。

11. 副作用

次の副作用があらわれることがあるので、観察を十分に行い、異常が認められた場合には投与を中止するなど適切な処置を行うこと。

11.1 重大な副作用

  1. 11.1.1 アナフィラキシー(頻度不明)

    アナフィラキシー(呼吸困難、全身潮紅、血管浮腫、じん麻疹等)があらわれることがある。

11.2 その他の副作用

1~5%未満

1%未満

頻度不明

過敏症

じん麻疹等の発疹

鼻腔

鼻症状(刺激感2)、そう痒感、乾燥感2)、疼痛、発赤、不快感2)等)、真菌検査陽性

鼻出血2)、鼻漏、鼻閉、くしゃみ、嗅覚障害

鼻中隔穿孔、鼻潰瘍、鼻症状(灼熱感)

口腔並びに呼吸器

咽喉頭症状(刺激感、疼痛、不快感、乾燥等)

咳嗽、上気道炎

肝臓

肝機能障害、ALT上昇2)、AST上昇2)、ビリルビン上昇、Al-P上昇、ウロビリン尿

血液

好中球増多、好酸球増多、単球増多、白血球減少、白血球増多、白血球分画異常、赤血球減少2)、ヘモグロビン減少2)、ヘマトクリット減少2)、リンパ球減少、血小板減少2)、カリウム上昇

精神神経系

頭痛、倦怠感

眼圧亢進、霧視、中心性漿液性網脈絡膜症

その他

コルチゾール減少2)

蛋白尿2)、尿糖、BUN上昇、コルチゾール上昇

味覚障害

2) 小児及び成人の臨床試験で認められた副作用;他の発現頻度のある副作用はすべて成人のみで認められた。

14. 適用上の注意

14.1 薬剤交付時の注意

患者には添付の携帯袋及び使用説明書を渡し、以下の使用方法を指導すること。

  • 鼻腔内噴霧用にのみ使用すること。
  • 初回使用時のみ予備噴霧(5回程度)を行うこと。
  • 噴霧口を針やピンなどで突かないこと。

16. 薬物動態

16.1 血中濃度

季節性アレルギー性鼻炎患者(成人)を対象に、本剤200μg(各鼻腔に2噴霧ずつ)を単回投与3)した際、投与1時間後の血漿中モメタゾンフランカルボン酸エステル濃度の平均値は8.85pg/mL、最大値は24.5pg/mLであった。

3) 本剤の成人の承認用法・用量は、「通常、成人には、各鼻腔に2噴霧ずつ1日1回投与する(モメタゾンフランカルボン酸エステルとして1日200μg)。」である。

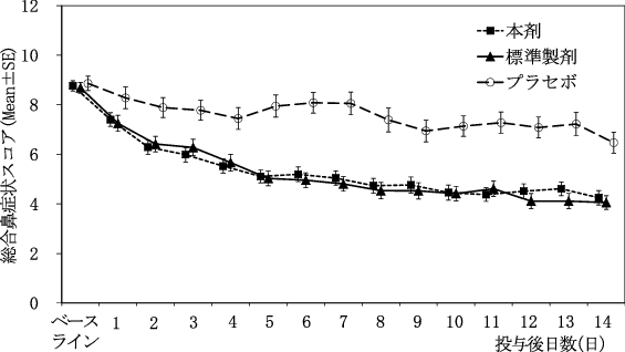
17. 臨床成績

17.3 その他

  • 生物学的同等性試験

    季節性アレルギー性鼻炎患者(成人)を対象とした治療学的同等性試験において、本剤、標準製剤又はプラセボを各鼻腔に2噴霧ずつ1日1回(モメタゾンフランカルボン酸エステルとして1日200μg)2週間投与した。
    主要評価項目である総合鼻症状スコア(くしゃみ発作、鼻汁、鼻閉、鼻内そう痒感)の期間平均変化量4)を同等性の指標とし、得られた値の平均値の差の95%信頼区間を算出した結果、治療学的同等限界(⊿=±1.13)の範囲内であり、両剤の治療学的同等性が確認された。2)

    季節性アレルギー性鼻炎患者を対象とした治療学的同等性試験成績

    投与群

    症例数

    ベースライン
    Mean
    (S.D.)

    変化量
    平均値の推定値5)
    (95%信頼区間)

    解析結果5)

    本剤

    72

    8.764
    (1.754)

    -4.297
    (-4.841~-3.753)

    平均値の差の推定値
    (本剤–標準製剤)
    :0.342
    95%信頼区間
    :-0.427~1.112

    標準製剤

    72

    8.685
    (1.869)

    -4.639
    (-5.184~-4.095)

    プラセボ

    36

    8.861
    (1.746)

    -1.859
    (-2.628~-1.089)

    4) ベースライン(投与前3日間の平均スコア)に対する投与Day12~14の計3日間の平均スコアの変化量
    5) 投与群を固定効果、ベースラインを共変量とした時の線形モデルでの解析結果

    総合鼻症状スコアの経時推移

18. 薬効薬理

18.1 作用機序

モメタゾンフランカルボン酸エステルは、グルココルチコイド受容体に対する親和性が高く、強い局所抗炎症作用及びアレルギー性鼻炎抑制作用を示す。

18.2 アレルギー性鼻炎抑制作用

アレルギー性鼻炎モデルラットへの局所投与により、抗原誘発鼻腔内色素漏出量(鼻汁分泌)の抑制3)、くしゃみ及び鼻掻き行動の抑制作用を示した。4)

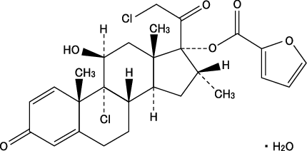
19. 有効成分に関する理化学的知見

一般的名称

モメタゾンフランカルボン酸エステル水和物
(Mometasone Furoate Hydrate)

化学名

(+)-9,21-Dichloro-11β,17α-dihydroxy-16α-methyl-1,4-pregnadiene-3,20-dione 17-(2-furoate)monohydrate

分子式

C27H30Cl2O6・H2O

分子量

539.44

性状

本品は白色の粉末である。メタノール及びエタノール(95)に溶けにくく、アセトニトリルに極めて溶けにくく、水にほとんど溶けない。

化学構造式

融点

214~226℃

22. 包装

  • 〈モメタゾン点鼻液50μg「MYL」56噴霧用〉

    5本[7g(瓶)×5]
    10本[7g(瓶)×10]

  • 〈モメタゾン点鼻液50μg「MYL」112噴霧用〉

    5本[13g(瓶)×5]
    10本[13g(瓶)×10]

24. 文献請求先及び問い合わせ先

*ヴィアトリス製薬合同会社 メディカルインフォメーション部

〒106-0041 東京都港区麻布台一丁目3番1号

フリーダイヤル 0120-419-043

26. 製造販売業者等

26.1 製造販売元

東興薬品工業株式会社

富山県中新川郡立山町辻20

26.2 *販売元

ヴィアトリス製薬合同会社

東京都港区麻布台一丁目3番1号

〒100-0013 東京都千代田区霞が関3-3-2 新霞が関ビル

画面を閉じる

Copyright © Pharmaceuticals and Medical Devices Agency, All Rights reserved.