医療用医薬品 詳細表示

フルオシノニドゲル0.05%「日医工」/フルオシノニドクリーム0.05%「日医工」/フルオシノニド軟膏0.05%「日医工」

処方せん医薬品以外の医薬品

添付文書番号
企業コード
作成又は改訂年月
日本標準商品分類番号
薬効分類名
承認等
一般的名称
2.禁忌(次の患者には投与しないこと)
3.組成・性状
3.1組成
3.2製剤の性状
4.効能又は効果
5.効能又は効果に関連する注意
6.用法及び用量
8.重要な基本的注意
9.特定の背景を有する患者に関する注意
9.5妊婦
9.7小児等
9.8高齢者
11.副作用
11.1重大な副作用
11.2その他の副作用
14.適用上の注意
18.薬効薬理
18.1作用機序
19.有効成分に関する理化学的知見
22.包装
23.主要文献
24.文献請求先及び問い合わせ先
26.製造販売業者等

フルオシノニドゲル0.05%「日医工」/フルオシノニドクリーム0.05%「日医工」/フルオシノニド軟膏0.05%「日医工」

添付文書番号

2646708M1291_1_02

企業コード

480115

作成又は改訂年月

2024年3月改訂(第1版)

日本標準商品分類番号

872646

薬効分類名

外用合成副腎皮質ホルモン剤

承認等

フルオシノニドゲル0.05%「日医工」

販売名コード

YJコード

2646708N1335

販売名英語表記

Fluocinonide Gel

承認番号等

承認番号

30200AMX00753000

販売開始年月

1981年9月

貯法・有効期間

貯法

室温保存

有効期間

3年

規制区分

劇薬

フルオシノニドクリーム0.05%「日医工」

販売名コード

YJコード

2646708N1327

販売名英語表記

Fluocinonide Cream

承認番号等

承認番号

30200AMX00752000

販売開始年月

1981年9月

貯法・有効期間

貯法

室温保存

有効期間

3.5年

規制区分

劇薬

フルオシノニド軟膏0.05%「日医工」

販売名コード

YJコード

2646708M1291

販売名英語表記

Fluocinonide Ointment

承認番号等

承認番号

30200AMX00751000

販売開始年月

1981年9月

貯法・有効期間

貯法

室温保存

有効期間

3.5年

規制区分

劇薬

一般的名称

フルオシノニド製剤

2. 禁忌(次の患者には投与しないこと)

  1. 2.1 細菌・真菌・スピロヘータ・ウイルス皮膚感染症及び動物性皮膚疾患(疥癬、けじらみ等)[感染症を悪化させるおそれがある。]
  2. 2.2 本剤の成分に対し過敏症の既往歴のある患者
  3. 2.3 鼓膜に穿孔のある湿疹性外耳道炎[穿孔部位の治癒の遅延及び感染のおそれがある。]
  4. 2.4 潰瘍(ベーチェット病は除く)、第2度深在性以上の熱傷・凍傷[皮膚の再生が抑制され、治癒が遅延するおそれがある。]

3. 組成・性状

3.1 組成

フルオシノニドゲル0.05%「日医工」

有効成分1g中 日局 フルオシノニド   0.5mg
添加剤クロタミトン、エデト酸ナトリウム水和物、カルボキシビニルポリマー、1,3-ブチレングリコール、マクロゴール400、pH調節剤

フルオシノニドクリーム0.05%「日医工」

有効成分1g中 日局 フルオシノニド   0.5mg
添加剤クロタミトン、プロピレングリコール、ラウロマクロゴール、ミリスチン酸イソプロピル、カルボキシビニルポリマー、エデト酸ナトリウム水和物、pH調節剤

フルオシノニド軟膏0.05%「日医工」

有効成分1g中 日局 フルオシノニド   0.5mg
添加剤クロタミトン、白色ワセリン

3.2 製剤の性状

フルオシノニドゲル0.05%「日医工」

性状・剤形無色透明のゼリー状のゲル剤で、わずかに特異なにおいがある

フルオシノニドクリーム0.05%「日医工」

性状・剤形白色のクリーム剤で、わずかに特異なにおいがある

フルオシノニド軟膏0.05%「日医工」

性状・剤形微黄色の軟膏剤で、わずかに特異なにおいがある

4. 効能又は効果

  • 湿疹・皮膚炎群(進行性指掌角皮症、女子顔面黒皮症、ビダール苔癬、放射線皮膚炎、日光皮膚炎を含む)
  • 痒疹群(じん麻疹様苔癬、ストロフルス、固定じん麻疹を含む)
  • 乾癬
  • 掌蹠膿疱症
  • 円形脱毛症(悪性を含む)
  • 尋常性白斑

5. 効能又は効果に関連する注意

  1. 5.1 皮膚感染を伴う湿疹・皮膚炎には使用しないことを原則とするが、やむを得ず使用する必要がある場合には、あらかじめ適切な抗菌剤(全身適用)、抗真菌剤による治療を行うか、又はこれらとの併用を考慮すること。

6. 用法及び用量

1日1~3回、適量を患部に塗布する。

8. 重要な基本的注意

  1. 8.1 大量又は長期にわたる広範囲の密封法(ODT)等の使用により、副腎皮質ステロイド剤を全身的投与した場合と同様な症状があらわれることがある。,,,
  2. 8.2 本剤の使用により症状の改善がみられない場合又は症状の悪化がみられる場合は使用を中止すること。
  3. 8.3 症状改善後はできるだけ速やかに使用を中止すること。

9. 特定の背景を有する患者に関する注意

9.5 妊婦

妊婦又は妊娠している可能性のある女性に対しては、大量又は長期にわたる広範囲の使用を避けること。動物実験(ラット、マウス:連日皮下投与)で催奇形作用(外形異常)があらわれたとの報告がある。

9.7 小児等

長期・大量使用又は密封法(ODT)により発育障害を来すおそれがある。
また、おむつは密封法(ODT)と同様の作用があるので注意すること。

9.8 高齢者

大量又は長期にわたる広範囲の密封法(ODT)等の使用に際しては特に注意すること。一般に副作用があらわれやすい。

11. 副作用

次の副作用があらわれることがあるので、観察を十分に行い、異常が認められた場合には使用を中止するなど適切な処置を行うこと。

11.1 重大な副作用

  1. 11.1.1 眼圧亢進、緑内障(いずれも頻度不明)

    眼瞼皮膚へ使用した際に起こることがある。

  2. 11.1.2 後嚢白内障、緑内障(いずれも頻度不明)

    大量又は長期にわたる広範囲の使用、密封法(ODT)によりあらわれることがある。

11.2 その他の副作用

0.1~5%未満

頻度不明

皮膚の感染症1)

皮膚の真菌性(カンジダ症、白癬等)及び細菌性(伝染性膿痂疹、毛嚢炎等)感染症2)

その他の皮膚症状3)

魚鱗癬様皮膚変化、紫斑、多毛、色素脱失、刺激感、乾燥

ざ瘡疹、酒さ様皮膚炎・口囲皮膚炎(口囲、顔面全体に紅斑、丘疹、毛細血管拡張、痂皮、鱗屑を生じる)、ステロイド皮膚(皮膚萎縮、毛細血管拡張)

過敏症

紅斑、丘疹、腫脹

接触皮膚炎

下垂体・副腎皮質系機能

大量又は長期にわたる広範囲の使用又は密封法(ODT)による下垂体・副腎皮質系機能の抑制

1) 適切な抗真菌剤、抗菌剤等を併用し、症状が速やかに改善しない場合には、使用を中止すること。
2) 密封法(ODT)の場合起こり易い。
3) 徐々にその使用を差しひかえ、副腎皮質ステロイドを含有しない薬剤に切り換えること。
注)発現頻度は、製造販売後調査の結果を含む。

14. 適用上の注意

14.1 薬剤交付時の注意

化粧下やひげそり後等に使用しないよう、患者に指導すること。

14.2 薬剤使用時の注意

眼科用として使用しないこと。

18. 薬効薬理

18.1 作用機序

フルオシノニドゲル0.05%「日医工」は、ラットのカラゲニン足浮腫及びマウスの接触性過敏症の試験において、抗炎症作用が確認されている1)
フルオシノニド軟膏0.05%「日医工」及びフルオシノニドクリーム0.05%「日医工」は、マウスの接触性過敏症の試験において、抗炎症作用が確認されている2)

18.2 生物学的同等性試験

上記2試験においてフルオシノニド軟膏0.05%「日医工」と標準製剤(軟膏剤、0.05%)の効力比較を行った結果、両剤間に有意差は認められず、両剤の生物学的同等性が確認された。また、フルオシノニドクリーム0.05%「日医工」と標準製剤(クリーム剤、0.05%)の効力比較を行った結果、同様に両剤間に有意差は認められず、両剤の生物学的同等性が確認された2)

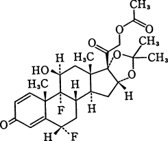
19. 有効成分に関する理化学的知見

一般的名称

フルオシノニド(Fluocinonide)

化学名

6α,9-Difluoro-11β,21-dihydroxy-16α,17-(1-methylethylidenedioxy)pregna-1,4-diene-3,20-dione21-acetate

分子式

C26H32F2O7

分子量

494.52

性状

白色の結晶又は結晶性の粉末である。クロロホルムにやや溶けにくく、アセトニトリル、メタノール、エタノール(95)又は酢酸エチルに溶けにくく、水にほとんど溶けない。結晶多形が認められる。

化学構造式

22. 包装

  • フルオシノニドゲル0.05%「日医工」

    10本[5g(チューブ)×10]
    10本[10g(チューブ)×10]

  • フルオシノニドクリーム0.05%「日医工」

    10本[5g(チューブ)×10]
    10本[10g(チューブ)×10]

  • フルオシノニド軟膏0.05%「日医工」

    10本[5g(チューブ)×10]
    10本[10g(チューブ)×10]

24. 文献請求先及び問い合わせ先

日医工株式会社 お客様サポートセンター

〒930-8583 富山市総曲輪1丁目6番21

TEL(0120)517-215

FAX(076)442-8948

26. 製造販売業者等

26.1 製造販売元

東興薬品工業株式会社

富山県中新川郡立山町辻20

26.2 販売元

日医工株式会社

富山市総曲輪1丁目6番21

〒100-0013 東京都千代田区霞が関3-3-2 新霞が関ビル

画面を閉じる

Copyright © Pharmaceuticals and Medical Devices Agency, All Rights reserved.