医療用医薬品 詳細表示

ロキシーン注2mg

処方せん医薬品

添付文書番号
企業コード
作成又は改訂年月
日本標準商品分類番号
薬効分類名
承認等
一般的名称
2.禁忌(次の患者には投与しないこと)
3.組成・性状
3.1組成
3.2製剤の性状
4.効能又は効果
6.用法及び用量
8.重要な基本的注意
9.特定の背景を有する患者に関する注意
9.1合併症・既往歴等のある患者
9.2腎機能障害患者
9.3肝機能障害患者
9.5妊婦
9.6授乳婦
9.7小児等
9.8高齢者
10.相互作用
10.2併用注意(併用に注意すること)
11.副作用
11.2その他の副作用
14.適用上の注意
17.臨床成績
17.1有効性及び安全性に関する試験
18.薬効薬理
18.1作用機序
18.2中枢神経系に対する作用
18.3末梢神経系に対する作用
19.有効成分に関する理化学的知見
22.包装
23.主要文献
24.文献請求先及び問い合わせ先
26.製造販売業者等

ロキシーン注2mg

添付文書番号

1229401A1089_1_07

企業コード

480143

作成又は改訂年月

2023年8月改訂(第1版)

日本標準商品分類番号

871229

薬効分類名

中枢・末梢性筋緊張緩解剤

承認等

ロキシーン注2mg

販売名コード

YJコード

1229401A1089

販売名英語表記

LOXEEN Injection

販売名ひらがな

ろきしーんちゅう2mg

承認番号等

承認番号

21900AMX01071000

販売開始年月

1968年1月

貯法・有効期間

貯法

室温保存

有効期間

3年

一般的名称

プリジノールメシル酸塩

2. 禁忌(次の患者には投与しないこと)

  1. 2.1 本剤の成分に対し過敏症の既往歴のある患者
  2. 2.2 閉塞隅角緑内障の患者[抗コリン作用により眼圧が上昇し、症状を悪化させることがある。]
  3. 2.3 前立腺肥大による排尿障害のある患者[抗コリン作用により排尿障害を悪化させるおそれがある。]
  4. 2.4 重篤な心疾患の患者[心疾患の症状を悪化させるおそれがある。]
  5. 2.5 麻痺性イレウスの患者[麻痺性イレウスの症状を悪化させるおそれがある。]

3. 組成・性状

3.1 組成

ロキシーン注2mg

有効成分1アンプル(1mL)中 プリジノールメシル酸塩   2mg
添加剤塩化ナトリウム、氷酢酸、水酸化ナトリウム

3.2 製剤の性状

ロキシーン注2mg

pH5.0~6.0
浸透圧比約1(生理食塩液に対する比)
性状無色澄明な注射液

4. 効能又は効果

運動器疾患に伴う有痛性痙縮(腰背痛症、頸肩腕症候群、肩関節周囲炎、変形性脊椎症など)。

6. 用法及び用量

プリジノールメシル酸塩として、通常、成人1回2mgを1日1回筋肉内または静脈内注射する。なお、年齢、症状により適宜増減する。

8. 重要な基本的注意

眠気、注意力・集中力・反射運動能力等の低下が起こることがあるので、本剤投与中の患者には、自動車の運転等危険を伴う機械の操作に従事させないように注意すること。

9. 特定の背景を有する患者に関する注意

9.1 合併症・既往歴等のある患者

  1. 9.1.1 開放隅角緑内障の患者

    抗コリン作用により眼圧が上昇し、症状を悪化させることがある。

9.2 腎機能障害患者

腎障害を悪化させるおそれがある。

9.3 肝機能障害患者

肝障害を悪化させるおそれがある。

9.5 妊婦

妊婦または妊娠している可能性のある女性には、治療上の有益性が危険性を上回ると判断される場合にのみ投与すること。

9.6 授乳婦

治療上の有益性及び母乳栄養の有益性を考慮し、授乳の継続又は中止を検討すること。

9.7 小児等

小児等を対象とした臨床試験は実施していない。

9.8 高齢者

減量するなど注意すること。一般に生理機能が低下している。

10. 相互作用

    10.2 併用注意(併用に注意すること)

    薬剤名等臨床症状・措置方法機序・危険因子

    中枢神経抑制剤

    • フェノチアジン系薬剤
    • バルビツール酸誘導体等

    モノアミン酸化酵素阻害剤
    アルコール

    眠気、注意力・集中力・反射運動能力等の低下を増強することがあるので、単独投与することが望ましいが、止むを得ず併用する場合には、減量するなど注意すること。

    相互に中枢神経抑制作用を増強することがある。

    11. 副作用

    次の副作用があらわれることがあるので、観察を十分に行い、異常が認められた場合には投与を中止するなど適切な処置を行うこと。

    11.2 その他の副作用

    0.1~5%未満

    0.1%未満

    頻度不明

    過敏症

    ショック様症状等

    発疹

    精神神経系

    眠気、めまい、ふらつき、脱力感、倦怠感等

    消化器

    悪心・嘔吐等

    口渇

    14. 適用上の注意

    14.1 薬剤投与時の注意

    1. 14.1.1 本剤の注射は経口投与が不適当な場合にのみ使用すること。
    2. 14.1.2 筋肉内注射にあたっては、組織・神経等への影響をさけるため、以下の点に注意すること。
      • 神経走行部位をさけるよう注意すること。
      • 繰り返し注射する場合には、例えば左右交互に注射するなど、注射部位を変えて行うこと。
      • 注射針を刺入したとき、激痛を訴えたり、血液の逆流をみた場合は、直ちに針を抜き、部位を変えて注射すること。
    3. 14.1.3 静脈内注射にあたっては、以下の点に注意すること。
      • 生理食塩液または5%ブドウ糖注射液に混じて行うことが望ましいが、止むを得ず単独で注射する場合には注射速度をできるだけ遅くすること。
      • 静脈内注射は、患者を横臥させて行うこと。

    17. 臨床成績

    17.1 有効性及び安全性に関する試験

    ロキシーン注2mgの臨床試験は、二重盲検比較試験を含め、国内18施設で計478例について実施した。その概要は次のとおりである1),2),3),4)

    • 〈腰背痛症〉

      腰背痛症に対しては、有効率71.4%(15/21)を示した。

    • 〈頸肩腕症候群〉

      頸肩腕症候群に対しては、有効率59.7%(37/62)を示し、また、二重盲検比較試験によって本剤の治療効果が認められている。

    • 〈肩関節周囲炎〉

      肩関節周囲炎に対しては、有効率53.1%(51/96)を示した。

    • 〈変形性脊椎症〉

      変形性脊椎症に対しては、有効率52.9%(18/34)を示した。

    • 〈上記以外の運動器疾患に伴う有痛性痙縮〉

      脊椎分離および辷り症、椎間板ヘルニア、変形性関節症、脊椎性疾患等に対しては、有効率52.1%(138/265)を示した。

    18. 薬効薬理

    18.1 作用機序

    プリジノールメシル酸塩の作用は、大脳皮質、脳幹網様体、延髄および脊髄等の中枢から、骨格筋に至る末梢神経系におよぶ。中枢および末梢神経に対してアトロピン類似の筋弛緩作用を示し、運動器疾患による有痛性委縮を緩解する。

    18.2 中枢神経系に対する作用

    1. 18.2.1 電撃痙攣(マウス、ラット)、ペンテトラゾール痙攣(マウス)、ストリキニーネ痙攣(マウス、トノサマガエル)、およびニコチン痙攣(マウス)を抑制する5)
    2. 18.2.2 電気刺激による交叉伸展反射を抑制する5)(ラット)。

    18.3 末梢神経系に対する作用

    1. 18.3.1 カエル腹筋のKCl痙攣を抑制する6)
    2. 18.3.2 ゴム張力法で筋弛緩作用を示す5)(マウス)。
    3. 18.3.3 Magnus法により抗アセチルコリン作用、抗ヒスタミン作用、抗塩化バリウム作用、抗オキシトシン作用および抗ブラジキニン作用を示す5),7)(モルモット腸管)。
    4. 18.3.4 生体内において、抗塩化バリウム作用(ウサギ腸管)および抗ヒスタミン作用(モルモット気管支)を示す5),6)

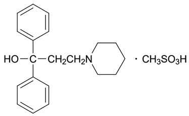
    19. 有効成分に関する理化学的知見

    一般的名称

    プリジノールメシル酸塩(Pridinol Mesilate)

    化学名

    1,1-Diphenyl-3-piperidino-1-propanol methanesulfonate

    分子式

    C20H25NO・CH3SO3H

    分子量

    391.52

    性状

    白色の微粉末で、わずかに特異なにおいがあり、味は苦い。クロロホルムに溶けやすく、水またはエタノール(95)にやや溶けにくく、アセトンに溶けにくく、ジエチルエーテルまたは石油エーテルにほとんど溶けない。
    水溶液(1→50)のpHは5.0~6.0である。

    化学構造式

    融点

    160~162℃

    22. 包装

    1mL×50アンプル
    1mL×200アンプル

    24. 文献請求先及び問い合わせ先

    日医工株式会社 お客様サポートセンター

    〒930-8583 富山市総曲輪1丁目6番21

    フリーダイヤル(0120)517-215
    Fax(076)442-8948

    26. 製造販売業者等

    26.1 製造販売元

    東菱薬品工業株式会社

    東京都新宿区西新宿6丁目3番1号

    26.2 販売元

    日医工株式会社

    富山市総曲輪1丁目6番21

    〒100-0013 東京都千代田区霞が関3-3-2 新霞が関ビル

    画面を閉じる

    Copyright © Pharmaceuticals and Medical Devices Agency, All Rights reserved.